Hydrothermal Carbon as Reactive Fillers to Produce Sustainable Biocomposites with Aromatic Bio-Based Epoxy Resins
Abstract
1. Introduction
2. Experimental Section
2.1. Materials
Hydrothermal Carbonization and Characterization of HC
2.2. Composites Preparation
2.3. Experimental Techniques
2.3.1. Differential Scanning Calorimetry (DSC)
2.3.2. Fourier Transform Infrared Spectroscopy (FT-IR)
2.3.3. Thermogravimetric Analysis (TGA)
2.3.4. Dynamic Mechanical Analysis (DMA)
2.3.5. Tensile Testing
2.3.6. Shore Hardness Tests
2.3.7. Scanning Electron Microscopy (SEM)
2.3.8. Density
2.3.9. Water Absorption
2.3.10. Solvent Stability
3. Results and Discussion
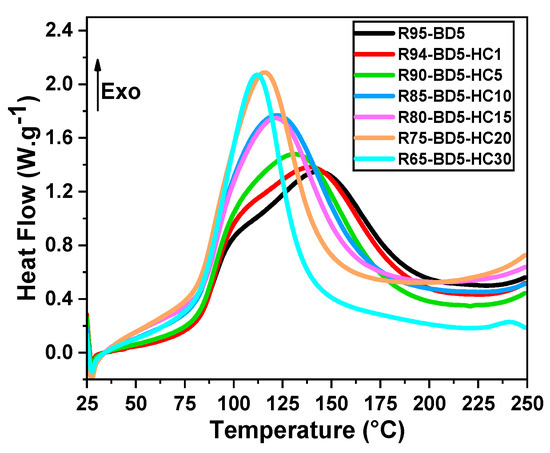
3.1. Reactivity Study of Crosslinking in the Presence of HC
DSC Investigation
3.2. Fourier Transform Infrared Spectroscopy (FT-IR)
3.2.1. FT-IR Analysis of HC
3.2.2. Reactivity Study by FT-IR
3.3. Physico-Chemical and Mechanical Characterization of HC Biocomposites
3.3.1. Thermogravimetric Analysis
3.3.2. Dynamic Mechanical Analysis
3.3.3. Tensile Testing
3.3.4. Morphology of the Bio-Based Polymeric Composites
3.3.5. Water Absorption
3.3.6. Solvent Stability
4. Conclusions
Supplementary Materials
Author Contributions
Funding
Institutional Review Board Statement
Informed Consent Statement
Data Availability Statement
Conflicts of Interest
References
- Lynam, J.G.; Reza, M.T.; Yan, W.; Vásquez, V.R.; Coronella, C.J. Hydrothermal carbonization of various lignocellulosic biomass. Biomass Convers Biorefinery 2015, 5, 173–181. [Google Scholar] [CrossRef]
- European Union. DIRECTIVE 2002/95/EC of the European Parliament and of the Council on the Restriction of the Use of Certain Hazardous Substances in Electrical and Electronic Equipment. Off. J. Eur. Union 2003, L37, 19–23. Available online: https://eur-lex.europa.eu/legal-content/EN/TXT/PDF/?uri=CELEX:32002L0095&from=EN (accessed on 2 June 2020).
- European Union. DIRECTIVE 2002/96/EC of the European Parliament and of the Council on Waste Electrical and Electronic Equipment (WEEE). Off. J. Eur. Union 2003, L37, 24–39. Available online: https://eur-lex.europa.eu/resource.html?uri=cellar:ac89e64f-a4a5-4c13-8d96-1fd1d6bcaa49.0004.02/DOC_1&format=PDF (accessed on 2 June 2020).
- European Union. DIRECTIVE 2000/53/EC of the European Parliament and of the Council On End-of Life Vehicles. Off. J. Eur. Union 2000, L269, 34–43. Available online: https://eur-lex.europa.eu/resource.html?uri=cellar:02fa83cf-bf28-4afc-8f9f-eb201bd61813.0005.02/DOC_1&format=PDF (accessed on 2 June 2020).
- European Union. DIRECTIVE 2000/60/EC of the European Parliament and of the Council Establishing a Framework for Community Action in the Field of Water Policy. Off. J. Eur. Union 2000, L327, 1–73. Available online: https://eur-lex.europa.eu/resource.html?uri=cellar:5c835afb-2ec6-4577-bdf8-756d3d694eeb.0004.02/DOC_1&format=PDF (accessed on 2 June 2020).
- Ratna, D. Handbook of Thermoset Resins; Smithers Rapra: Shawbury, UK, 2009; ISBN 978-1-84735-411-2. [Google Scholar]
- Karger-Kocsis, J.; Kéki, S. Review of Progress in Shape Memory Epoxies and Their Composites. Polymers 2017, 10, 34. [Google Scholar] [CrossRef]
- Malik, M.S.; Schlögl, S.; Wolfahrt, M.; Sangermano, M. Review on UV-Induced Cationic Frontal Polymerization of Epoxy Monomers. Polymers 2020, 12, 2146. [Google Scholar] [CrossRef]
- Jouyandeh, M.; Ganjali, M.R.; Aghazadeh, M.; Habibzadeh, S.; Formela, K.; Saeb, M.R. Bulk-Surface Modification of Nanoparticles for Developing Highly-Crosslinked Polymer Nanocomposites. Polymers 2020, 12, 1820. [Google Scholar] [CrossRef]
- Pascault, J.-P.; Williams, R.J.J. Epoxy Polymers—New Materials and Innovations; WILEY-VCH Verlag GmbH & Co. KGaA: Weinheim, Germany, 2010; ISBN 978-3-527-62871-1. [Google Scholar]
- Moreman, J.; Lee, O.; Trznadel, M.; David, A.; Kudoh, T.; Tyler, C.R. Acute Toxicity, Teratogenic, and Estrogenic Effects of Bisphenol A and Its Alternative Replacements Bisphenol S, Bisphenol F, and Bisphenol AF in Zebrafish Embryo-Larvae. Environ. Sci. Technol. 2017, 51, 12796–12805. [Google Scholar] [CrossRef]
- Vandenberg, L.N.; Hauser, R.; Marcus, M.; Olea, N.; Welshons, W.V. Human exposure to bisphenol A (BPA). Reprod. Toxicol. 2007, 24, 139–177. [Google Scholar] [CrossRef]
- Genua, A.; Montes, S.; Azcune, I.; Rekondo, A.; Malburet, S.; Daydé-Cazals, B.; Graillot, A. Build-To-Specification Vanillin and Phloroglucinol Derived Biobased Epoxy-Amine Vitrimers. Polymers 2020, 12, 2645. [Google Scholar] [CrossRef] [PubMed]
- Martone, A.; Formicola, C.; Piscitelli, F.; Lavorgna, M.; Zarrelli, M.; Antonucci, V.; Giordano, M. Thermo-mechanical characterization of epoxy nanocomposites with different carbon nanotube distributions obtained by solvent aided and direct mixing. Express Polym. Lett. 2012, 6, 520–531. [Google Scholar] [CrossRef]
- Zhang, J.; Zheng, Y.; Zhou, H.; Zhang, J.; Zou, J. The influence of hydroxylated carbon nanotubes on epoxy resin composites. Adv. Mater. Sci. Eng. 2012, 2012, 1–6. [Google Scholar] [CrossRef]
- Liu, J.; An, L. Synthesis and properties of graphene/carbon nanotube/epoxy resin composites. Chem. Eng. Trans. 2018, 71, 949–954. [Google Scholar] [CrossRef]
- Yoonessi, M.; Lebroín-Coloín, M.; Scheiman, D.; Meador, M.A. Carbon nanotube epoxy nanocomposites: The effects of interfacial modifications on the dynamic mechanical properties of the nanocomposites. ACS Appl. Mater. Interfaces 2014, 6, 16621–16630. [Google Scholar] [CrossRef]
- Glaskova-Kuzmina, T.; Aniskevich, A.; Papanicolaou, G.; Portan, D.; Zotti, A.; Borriello, A.; Zarrelli, M. Hydrothermal Aging of an Epoxy Resin Filled with Carbon Nanofillers. Polymers 2020, 12, 1153. [Google Scholar] [CrossRef]
- Dahal, R.K.; Acharya, B.; Saha, G.; Bissessur, R.; Dutta, A.; Farooque, A. Biochar as a filler in glassfiber reinforced composites: Experimental study of thermal and mechanical properties. Compos. Part B Eng. 2019, 175, 1–7. [Google Scholar] [CrossRef]
- Nizamuddin, S.; Jadhav, A.; Qureshi, S.S.; Baloch, H.A.; Siddiqui, M.T.H.; Mubarak, N.M.; Griffin, G.; Madapusi, S.; Tanksale, A.; Ahamed, M.I. Synthesis and characterization of polylactide/rice husk hydrochar composite. Sci. Rep. 2019, 9, 1–11. [Google Scholar] [CrossRef]
- Fang, J.; Zhan, L.; Ok, Y.S.; Gao, B. Minireview of potential applications of hydrochar derived from hydrothermal carbonization of biomass. J. Ind. Eng. Chem. 2018, 57, 15–21. [Google Scholar] [CrossRef]
- Funke, A.; Ziegler, F. Hydrothermal carbonization of biomass: A summary and discussion of chemical mechanisms for process engineering. Biofuels Bioprod. Biorefining 2010, 4, 160–177. [Google Scholar] [CrossRef]
- Zhang, Z.; Zhu, Z.; Shen, B.; Liu, L. Insights into biochar and hydrochar production and applications: A review. Energy 2019, 171, 581–598. [Google Scholar] [CrossRef]
- Cai, J.; Li, B.; Chen, C.; Wang, J.; Zhao, M.; Zhang, K. Hydrothermal carbonization of tobacco stalk for fuel application. Bioresour. Technol. 2016, 220, 305–311. [Google Scholar] [CrossRef] [PubMed]
- Puccini, M.; Stefanelli, E.; Tasca, A.L.; Vitolo, S. Epoxy composites based on low-cost carbon filler derived from hydrothermal carbonization of waste. Chem. Eng. Trans. 2019, 74, 1153–1158. [Google Scholar] [CrossRef]
- Nizamuddin, S.; Baloch, H.A.; Griffin, G.J.; Mubarak, N.M.; Bhutto, A.W.; Abro, R.; Mazari, S.A.; Ali, B.S. An overview of effect of process parameters on hydrothermal carbonization of biomass. Renew. Sustain. Energy Rev. 2017, 73, 1289–1299. [Google Scholar] [CrossRef]
- Khan, A.; Savi, P.; Quaranta, S.; Rovere, M.; Giorcelli, M.; Tagliaferro, A.; Rosso, C.; Jia, C.Q. Low-cost carbon fillers to improve mechanical properties and conductivity of epoxy composites. Polymers 2017, 9, 642. [Google Scholar] [CrossRef] [PubMed]
- Giorcelli, M.; Khan, A.; Pugno, N.M.; Rosso, C.; Tagliaferro, A. Biochar as a cheap and environmental friendly filler able to improve polymer mechanical properties. Biomass Bioenergy 2019, 120, 219–223. [Google Scholar] [CrossRef]
- Bartoli, M.; Giorcelli, M.; Rosso, C.; Rovere, M.; Jagdale, P.; Tagliaferro, A. Influence of commercial biochar fillers on brittleness/ductility of epoxy resin composites. Appl. Sci. 2019, 9, 3109. [Google Scholar] [CrossRef]
- Kang, S.; Li, X.; Fan, J.; Chang, J. Characterization of hydrochars produced by hydrothermal carbonization of lignin, cellulose, d-xylose, and wood meal. Ind. Eng. Chem. Res. 2012, 51, 9023–9031. [Google Scholar] [CrossRef]
- Flory, P.J. Principles of Polymer Chemistry; Cornell University Press: Ithaca, NY, USA, 1953; ISBN 0801401348. [Google Scholar]
- Parshetti, G.K.; Kent Hoekman, S.; Balasubramanian, R. Chemical, structural and combustion characteristics of carbonaceous products obtained by hydrothermal carbonization of palm empty fruit bunches. Bioresour. Technol. 2013, 135, 683–689. [Google Scholar] [CrossRef]
- Wu, Q.; Yu, S.; Hao, N.; Wells, T.; Meng, X.; Li, M.; Pu, Y.; Liu, S.; Ragauskas, A.J. Characterization of products from hydrothermal carbonization of pine. Bioresour. Technol. 2017, 244, 78–83. [Google Scholar] [CrossRef]
- Gao, P.; Zhou, Y.; Meng, F.; Zhang, Y.; Liu, Z.; Zhang, W.; Xue, G. Preparation and characterization of hydrochar from waste eucalyptus bark by hydrothermal carbonization. Energy 2016, 97, 238–245. [Google Scholar] [CrossRef]
- Volf, I.; Bejenari, I.; Popa, V.I. Valuable biobased products through hydrothermal decomposition. In Pulp Production and Processing; De Gruyter: Berlin, Germany, 2020; Chapter 6; pp. 141–162. [Google Scholar]
- Das, O.; Sarmah, A.K.; Bhattacharyya, D. A sustainable and resilient approach through biochar addition in wood polymer composites. Sci. Total Environ. 2015, 512–513, 326–336. [Google Scholar] [CrossRef] [PubMed]
- Hafiezal, M.R.M.; Khalina, A.; Zurina, Z.A.; Azaman, M.D.M.; Hanafee, Z.M. Thermal and Flammability Characteristics of Blended Jatropha Bio-Epoxy as Matrix in Carbon Fiber–Reinforced Polymer. J. Compos. Sci. 2019, 3, 6. [Google Scholar] [CrossRef]
- Aouf, C.; Nouailhas, H.; Fache, M.; Caillol, S.; Boutevin, B.; Fulcrand, H. Multi-functionalization of gallic acid. Synthesis of a novel bio-based epoxy resin. Eur. Polym. J. 2013, 49, 1185–1195. [Google Scholar] [CrossRef]
- Zhang, Q.; Lei, H.; Cai, H.; Han, X.; Lin, X.; Qian, M.; Zhao, Y.; Huo, E.; Villota, E.M.; Mateo, W. Improvement on the properties of microcrystalline cellulose/polylactic acid composites by using activated biochar. J. Clean. Prod. 2020, 252, 119898. [Google Scholar] [CrossRef]
- Derome, D.; Rafsanjani, A.; Patera, A.; Guyer, R.; Carmeliet, J. Hygromorphic behaviour of cellular material: Hysteretic swelling and shrinkage of wood probed by phase contrast X-ray tomography. Philos. Mag. 2012, 92, 3680–3698. [Google Scholar] [CrossRef]
- Berger, S.B.; Palialol, A.R.M.; Cavalli, V.; Giannini, M. Characterization of water sorption, solubility and filler particles of light-cured composite resins. Braz. Dent. J. 2009, 20, 314–318. [Google Scholar] [CrossRef][Green Version]
- Al–Nori, A. Water sorption of light–cured composites. Al-Rafidain Dent. J. 2004, 5, 1–5. [Google Scholar] [CrossRef]
- Capiel, G.; Uicich, J.; Fasce, D.; Montemartini, P.E. Diffusion and hydrolysis effects during water aging on an epoxy-anhydride system. Polym. Degrad. Stab. 2018, 153, 165–171. [Google Scholar] [CrossRef]
- Li, L.; Yu, Y.; Wu, Q.; Zhan, G.; Li, S. Effect of chemical structure on the water sorption of amine-cured epoxy resins. Corros. Sci. 2009, 51, 3000–3006. [Google Scholar] [CrossRef]





| Sample | T5% (°C) | Ts (°C) | Hardness Test (SD) | Glass Transition (°C) | υ (mmol∙cm−3) | Density, g/cm3 | |||
|---|---|---|---|---|---|---|---|---|---|
| Tg (DSC) | Tg-onset (DMA) | Tg-loss (DMA) | Tan δ | ||||||
| R95-BD5 | 337 | 190 | 82 | 101 | 82 | 93 | 99 | 8.23 | 0.9824 |
| R94-BD5-HC1 | 339 | 189 | 85 | 101 | 80 | 89 | 97 | 8.89 | 1.2446 |
| R90-BD5-HC5 | 347 | 192 | 89 | 100 | 81 | 90 | 98 | 14.55 | 1.2029 |
| R85-BD5-HC10 | 339 | 190 | 86 | 102 | 81 | 92 | 98 | 15.90 | 1.2364 |
| R80-BD5-HC15 | 344 | 194 | 92 | 96 | 76 | 84 | 95 | 14.29 | 1.1469 |
| R75-BD5-HC20 | 345 | 191 | 92 | 99 | 78 | 86 | 94 | 15.39 | 1.0980 |
| R65-BD5-HC30 | 340 | 191 | 89 | 98 | 73 | 84 | 89 | 20.50 | 1.0095 |
Publisher’s Note: MDPI stays neutral with regard to jurisdictional claims in published maps and institutional affiliations. |
© 2021 by the authors. Licensee MDPI, Basel, Switzerland. This article is an open access article distributed under the terms and conditions of the Creative Commons Attribution (CC BY) license (http://creativecommons.org/licenses/by/4.0/).
Share and Cite
Bejenari, I.; Dinu, R.; Montes, S.; Volf, I.; Mija, A. Hydrothermal Carbon as Reactive Fillers to Produce Sustainable Biocomposites with Aromatic Bio-Based Epoxy Resins. Polymers 2021, 13, 240. https://doi.org/10.3390/polym13020240
Bejenari I, Dinu R, Montes S, Volf I, Mija A. Hydrothermal Carbon as Reactive Fillers to Produce Sustainable Biocomposites with Aromatic Bio-Based Epoxy Resins. Polymers. 2021; 13(2):240. https://doi.org/10.3390/polym13020240
Chicago/Turabian StyleBejenari, Iuliana, Roxana Dinu, Sarah Montes, Irina Volf, and Alice Mija. 2021. "Hydrothermal Carbon as Reactive Fillers to Produce Sustainable Biocomposites with Aromatic Bio-Based Epoxy Resins" Polymers 13, no. 2: 240. https://doi.org/10.3390/polym13020240
APA StyleBejenari, I., Dinu, R., Montes, S., Volf, I., & Mija, A. (2021). Hydrothermal Carbon as Reactive Fillers to Produce Sustainable Biocomposites with Aromatic Bio-Based Epoxy Resins. Polymers, 13(2), 240. https://doi.org/10.3390/polym13020240

