Thermal, Rheological, Mechanical, and Electrical Properties of Polypropylene/Multi-Walled Carbon Nanotube Nanocomposites
Abstract
1. Introduction
2. Materials and Methods
2.1. Materials
2.2. Injection Molding
2.3. Characterization
2.3.1. Bulk Density
2.3.2. Differential Scanning Calorimetry (DSC)
2.3.3. Melt Flow Index (MFI)
2.3.4. Rheological Properties
2.3.5. Thermal Conductivity (TC)
2.3.6. Specific Volume
2.3.7. Mechanical Properties
2.3.8. Electrical Conductivity
2.4. Statistical Analysis
3. Results and Discussion
3.1. Thermal Properties of the PP/MWCNT Nanocomposites
3.2. Melt Flow Index
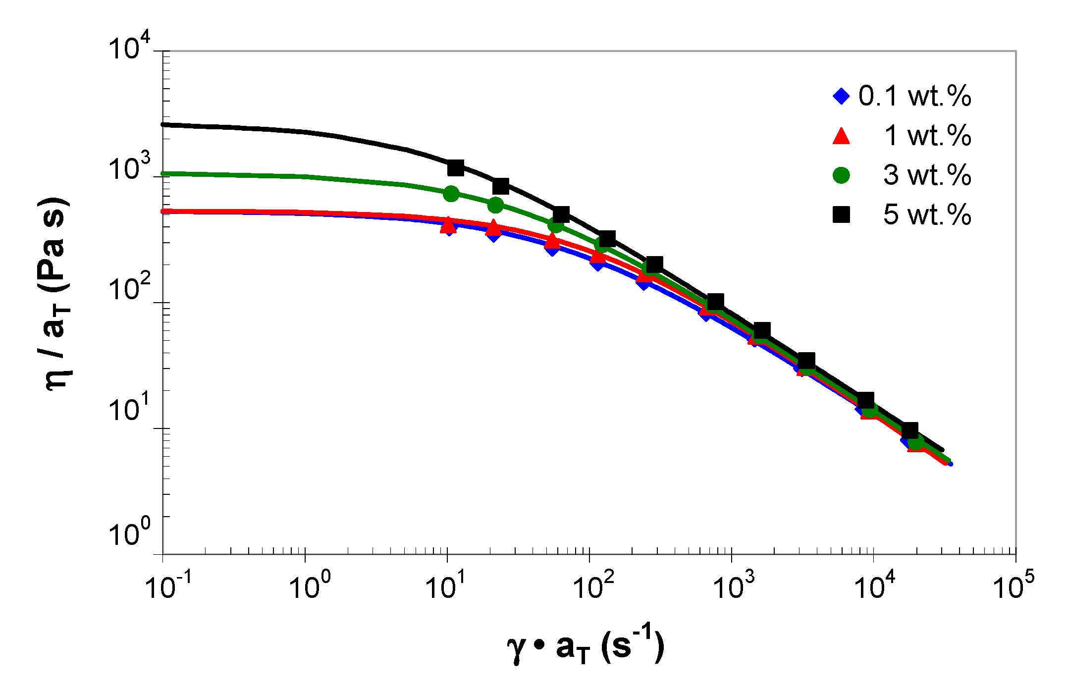
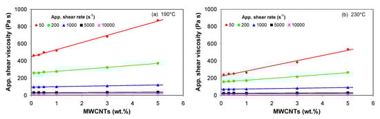
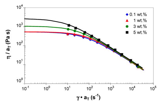
3.3. Rheological Behavior of PP/MWCNT Nanocomposites
3.4. Modeling of Melt Shear Viscosity
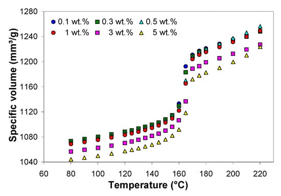
3.5. Specific Volume of PP/MWCNT Nanocomposites
3.6. Density of PP/MWCNT Nanocomposites
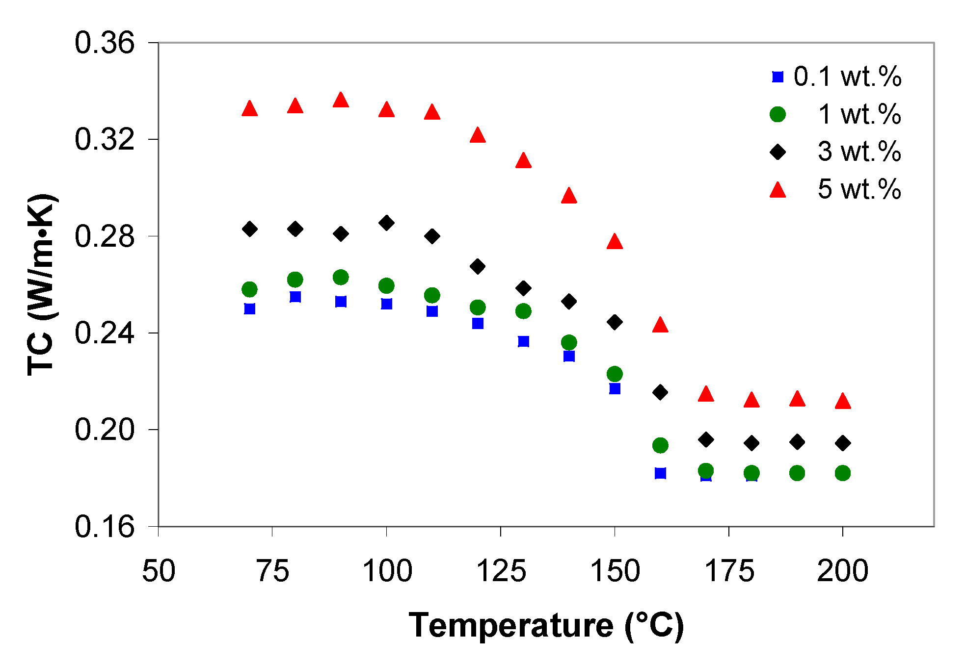
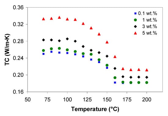
3.7. Thermal Conductivity of PP/MWCNT Nanocomposites
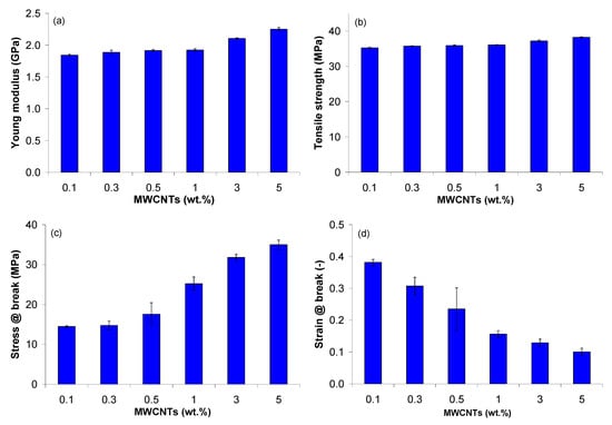
3.8. Stress–Strain Behavior of PP/MWCNT Nanocomposites
3.9. Electrical Properties of PP/MWCNT Nanocomposite
4. Conclusions
- The melting and crystallization temperatures and degree of crystallinity of the PP/MWCNT nanocomposites are not significantly affected by the presence of the MWCNTs.
- With the addition of up to 5 wt.% of MWCNTs, the PP/MWCNT nanocomposite still remains as a non-Newtonian fluid and its shear thinning behavior at high shear rates render the nanocomposites processable by extrusion and injection molding.
- The specific volume of the PP/MWCNT nanocomposites decreases with increasing MWCNT loading, especially in the range of 1–5 wt.%, leading to better dimensional stability after melt processing.
- The thermal conductivity of the PP/MWCNT nanocomposite decreases with increasing temperature and increases with increasing MWCNT loading. In the melt state, the thermal conductivity increases with increasing pressure and the effect is statistically significant. The highest value of thermal conductivity (0.35 W/m K) was achieved in the solid state at 5 wt.% of MWCNTs.
- The tensile modulus, tensile strength and stress at break progressively increase with increasing MWCNT loading and the effect of reinforcement is more significant above 1 wt.% of MWCNTs. Furthermore, the elongation at break significantly decreases with increasing MWCNT loading.
- The PP/MWCNT nanocomposite is not electrically conductive up to 3 wt.%, whereas at MWCNT loading higher than 3 wt.%, due to the formation of a fully conductive network, the nanocomposite is semiconductive, having a conductivity of approx. 10−1 S/m.
- The Cross and the modified 2-domain Tait models successfully predicted the melt shear viscosity and specific volume as a function of MWCNTs, respectively.
Supplementary Materials
Author Contributions
Funding
Institutional Review Board Statement
Informed Consent Statement
Data Availability Statement
Conflicts of Interest
References
- Yang, D.J.; Zhang, Q.; Chen, G.; Yoon, S.F.; Ahn, J.; Wang, S.G.; Zhou, Q.; Wang, Q.; Li, J.Q. Thermal conductivity of multiwalled carbon nanotubes. Phys. Rev. B 2002, 66, 165440. [Google Scholar] [CrossRef]
- Xie, H.; Cai, A.; Wang, X. Thermal diffusivity and conductivity of multiwalled carbon nanotube arrays. Phys. Lett. A 2007, 369, 120–123. [Google Scholar] [CrossRef]
- Samani, M.K.; Khosravian, N.; Chen, G.C.K.; Shakerzadeh, M.; Baillargeat, D.; Tay, B.K. Thermal conductivity of individual multiwalled carbon nanotubes. Int. J. Therm. Sci. 2012, 62, 40–43. [Google Scholar] [CrossRef]
- Jouni, M.; Djurado, D.; Massardler, V.; Boiteux, G. A representative and comprehensive review of the electrical and thermal properties of polymer composites with carbon nanotube and other nanoparticle fillers. Polum. Int. 2007, 66, 1237–1251. [Google Scholar]
- Ebbesen, T.W.; Lezec, H.J.; Hiura, H.; Bennett, J.W.; Ghaemi, H.F.; Thio, T. Electrical conductivity of individual carbon nanotubes. Nature 1996, 382, 54–56. [Google Scholar] [CrossRef]
- Yu, M.F.; Lourie, O.; Dyer, M.J.; Moloni, K.; Kelly, T.F.; Ruoff, R.S. Strength and breaking mechanism of multiwalled carbon nanotubes under tensile load. Science 2000, 287, 637–640. [Google Scholar] [CrossRef]
- Coleman, J.N.; Khan, U.; Blau, W.J.; Gun’ko, Y.K. Small but strong: A review of the mechanical properties of carbon nanotube-polymer composites. Carbon 2006, 44, 1624–1652. [Google Scholar] [CrossRef]
- Bhattacharya, M. Polymer nanocomposites—A comparison between carbon nanotubes, graphene, and clay as nanofillers. Materials 2016, 9, 262. [Google Scholar] [CrossRef]
- Jiao, Z.; D’hooge, D.R.; Cardon, L.; Qiu, J. Elegant design of carbon nanotube foams with double continuous structure for metamaterials in a broad frequency range. J. Mater. Chem. C 2020, 8, 3226. [Google Scholar] [CrossRef]
- Jiao, Z.; D’hooge, D.R.; Cardon, L.; Qiu, J. Combining carbon nanotube foam with nanosilver/silicone resin or grapheme foam for advanced metamaterial design. J. Mater Sci. 2020, 55, 16211–16219. [Google Scholar] [CrossRef]
- Kausar, A.; Rafique, I.; Muhammad, B. Review of applications of polymer/carbon nanotubes and epoxy/CNT composites. Polym. Plast. Technol. Eng. 2016, 55, 1167–1191. [Google Scholar] [CrossRef]
- Chang, R.Y.; Yang, W.H. Numerical simulation of mold filling in injection molding using a three-dimensional finite volume approach. Int. J. Numer. Meth. Fluids 2001, 37, 125–148. [Google Scholar] [CrossRef]
- Zheng, R.; Tanner, R.I.; Fan, X.J. Injection Molding. In Integration of Theory and Modeling Methods; Springer: Berlin/Heidelberg, Germany, 2011. [Google Scholar]
- Zhou, H. Computer Modeling for Injection Molding; John Wiley & Sons: Honoken, NJ, USA, 2013. [Google Scholar]
- Moldflow Insight. Support & Learning. Available online: https://knowledge.autodesk.com/support/moldflow-insight (accessed on 20 October 2020).
- Moldex3D Support & Learning. Available online: https://www.moldex3d.com/en/support (accessed on 20 October 2020).
- Chang, R.Y.; Chen, C.H.; Su, K.S. Modifying the Tait equation with cooling-rate effects to predict the pressure-volume-temperature behaviors of amorphous polymers: Modeling and experiments. Polym. Eng. Sci. 1996, 36, 1789–1795. [Google Scholar] [CrossRef]
- Wang, J. PVT Properties of polymers for injection molding. In Some Critical Issues for Injection Molding; Wanj., J., Ed.; InTechOpen: London, UK, 2012. [Google Scholar]
- Fischer, J.M. Handbook of Molded Part Shrinkage and Warpage, 2nd ed.; Elsevier Inc.: Amsterdam, The Netherlands, 2013. [Google Scholar]
- Sun, X.; Su, X.; Tibbenham, P.; Mao, J.; Tao, J. The application of modified PVT data on the warpage prediction of injection molded part. J. Polym. Res. 2016, 23, 86. [Google Scholar] [CrossRef]
- Mittal, G.; Dhand, V.; Rhee, K.Y.; Park, S.J.; Lee, W.R. A review on carbon nanotubes and grapheme as fillers in reinforced polymer nanocomposites. J. Ind. Eng. Chem. 2015, 21, 11–25. [Google Scholar] [CrossRef]
- Wieme, T.; Tang, D.; Delva, L.; D’hooge, D.R.; Cardon, L. The relevance of material and processing parameters on the thermal conductivity of thermoplastic composites. Polym. Eng. Sci. 2018, 58, 466–474. [Google Scholar] [CrossRef]
- Wieme, T.; Duan, L.; Mys, N.; Cardon, L.; D’hooge, D.R. Effect of matrix and graphite filler on thermal conductivity of industrially feasible injection molded thermoplastic composites. Polymers 2019, 11, 87. [Google Scholar] [CrossRef]
- Chen, J.; Gao, X. Directional dependence of electrical and thermal properties in graphene-nanoplatelet-based composite materials. Results Phys. 2019, 15, 102608. [Google Scholar] [CrossRef]
- Celzard, A.; Marêché, J.F.; Furdin, G.; Puricelli, S. Electrical conductivity of anisotropic expanded graphite-based monoliths. J. Phys. D Appl. Phys. 2000, 33, 3094–3101. [Google Scholar] [CrossRef]
- Stan, F.; Rosculet, R.T.; Fetecau, C. Direct current method with reversal polarity for electrical conductivity measurement of TPU/MWCNT composites. Measurement 2019, 136, 345–355. [Google Scholar] [CrossRef]
- Ersoy, M.S.; Onder, E. Mechanical and thermal behaviors of polypropylene—Multi walled carbon nanotube nanocomposite monofilaments. Fibres Text. East. Eur. 2013, 21, 22–27. [Google Scholar]
- Cheng, H.K.F.; Chong, M.F.; Liu, E.; Zhou, K.; Li, L. Thermal decomposition kinetics of multiwalled carbon nanotube/polypropylene nanocomposites. J. Therm. Anal. Calorim. 2014, 117, 63–71. [Google Scholar] [CrossRef]
- Liang, J.Z.; Chen, C.Y.; Zou, S.Y.; Tsui, C.P.; Tang, C.Y.; Zhang, S.D. Melt flow behavior of polypropylene composites filled with multi-walled carbon nanotubes during extrusion. Polym. Test. 2015, 45, 41–46. [Google Scholar] [CrossRef]
- Mertens, J.; Senthilvelan, S. Mechanical and tribological properties of carbon nanotube reinforced polypropylene composites. J. Mater. Des. Appl. 2018, 232, 669–680. [Google Scholar] [CrossRef]
- Wang, P.H.; Ghoshal, S.; Gulgunje, P.; Verghese, N.; Kumar, S. Polypropylene nanocomposites with polymer coated multiwall carbon nanotubes. Polymer 2016, 100, 244–258. [Google Scholar] [CrossRef]
- Yetgin, S.H. Effect of multi walled carbon nanotube on mechanical, thermal and rheological properties of polypropylene. J. Mater. Res. Technol. 2019, 8, 4725–4735. [Google Scholar] [CrossRef]
- Ansari, M.N.M.; Ismail, H.; Zein, S.H.S. Effect of multi-walled carbon nanotubes on mechanical properties of feldspar filled polypropylene composites. J. Reinf. Plast. Compos. 2009, 28, 2473–2485. [Google Scholar] [CrossRef]
- Stan, F.; Sandu, I.L.; Fetecau, C. Effect of processing parameters and strain rate on mechanical properties of carbon nanotube-filled polypropylene nanocomposites. Compos. B 2014, 59, 109–122. [Google Scholar] [CrossRef]
- Acierno, S.; Barretta, R.; Luciano, R.; de Sciarra, F.M.; Russo, P. Experimental evaluations and modeling aof the tensile behavior of polypropylene/single-walled carbon nanotubes fibers. Compos. Struct. 2017, 174, 12–18. [Google Scholar] [CrossRef]
- Coppola, B.; Maio, L.D.; Incarnato, L.; Tulliani, J.M. Preparation and characterization of polypropylene/carbon nanotubes (PP/CNTs) nanocomposites as potential strain gauges for structural health monitoring. Nanomaterials 2020, 10, 814. [Google Scholar] [CrossRef]
- Haggenmueller, R.; Guthy, C.; Lukes, J.R.; Fischer, J.E.; Winey, K.I. Single wall carbon nanotube/polyethylene nanocomposites: Thermal and electrical conductivities. Macromolecules 2007, 40, 2417–2421. [Google Scholar] [CrossRef]
- Kalakonda, P.; Cabrera, Y.; Judith, R.; Georgiev, G.Y.; Cebe, P.; Iannacchione, G.S. Studies of electrical and thermal conductivities of sheared multi-walled carbon nanotube with isotactic polypropylene polymer composites. Nanomater. Nanotechnol. 2015, 5, 2. [Google Scholar] [CrossRef]
- Chafidz, A.; Kaavessina, M.; Al-Zahrani, S.; Ali, I. Multiwall carbon nanotubes filled polypropylene nanocomposites: Rheological and electrical properties. Polym. Eng. Sci. 2014, 54, 1134–1143. [Google Scholar] [CrossRef]
- Lee, S.H.; Kim, M.W.; Kim, S.H.; Youn, J.R. Rheological and electrical propertiesc of polypropylene/MWCNT composites prepared with MWCNT masterbatch chips. Eur. Polym. J. 2008, 44, 1620–1630. [Google Scholar] [CrossRef]
- Bikiaris, D. Microstructure and properties of polypropylene/carbon nanotube nanocomposites. Materials 2010, 3, 2884–2946. [Google Scholar] [CrossRef]
- Huegun, A.; Fernandez, M.; Munoz, M.E.; Santamaria, A. Rheological properties and electrical conductivity of irradiated MWCNT/PP nanocomposites. Compos. Sci. Technol. 2012, 72, 1602–1607. [Google Scholar] [CrossRef]
- Narimani, A.; Hemmati, M. Electrical and steady shear rheological behaviour of polypropylene composites reinforced with single-walled carbon nanotubes. Polym. Polym. Comp. 2014, 22, 533–540. [Google Scholar] [CrossRef]
- Cesano, F.; Zaccone, M.; Armentano, I.; Cravanzola, S.; Muscuso, L.; Torre, L.; Kenny, J.M.; Monti, M.; Scarano, D. Relantionship between morphology and electrical properties in PP/MWCNT composites: Processing-induced anisotropic percolation threshold. Mater. Chem. Phys. 2016, 180, 284–290. [Google Scholar] [CrossRef]
- Stan, F.; Sandu, I.L.; Fetecau, C.; Rosculet, R.T. Effect of reprocessing on the rheological, electrical and mechanical properties of polypropylene/carbon nanotube composites. In Proceedings of the ASME 2016 International Manufacturing Science and Engineering Conference, MSEC 2016, Blacksburg, WV, USA, June 27–July 1 2016. MSEC2016-8557. [Google Scholar]
- Wang, J.; Kasemi, Y.; Wang, S.; Hamidinejad, M.; Mahmud, M.B.; Potschke, P.; Park, C.B. Enhancing the electrical conductivity of PP/CNT nanocomposites through crystal-induced volume exclusion effect with a slow cooling rate. Compos. B 2020, 183, 107663. [Google Scholar] [CrossRef]
- Zaccone, M.; Armentano, I.; Cesano, F.; Scarano, D.; Frache, A.; Torre, L.; Monti, M. Effect of injection molding conditions on crystalline structure and electrical resistivity of PP/MWCNT nanocomposites. Polymers 2020, 12, 1685. [Google Scholar] [CrossRef]
- Prashantha, K.; Soulestin, J.; Lacrampe, M.F.; Lafranche, E.; Krawczak, P.; Dupin, G.; Claes, M. Taguchi analysis of shrinkage and warpage of injection-moulded polypropylene/multiwall carbon nanotubes nanocomposites. eXPRESS Polym. Lett. 2009, 3, 630–638. [Google Scholar] [CrossRef]
- Prashantha, K.; Soulestin, J.; Lacrampe, M.F.; Krawczak, P.; Dupin, G.; Claes, M. Masterbatch-based multi-walled carbon nanotube filled polypropylene nanocomposites: Assessment of rheological and mechanical properties. Compos. Sci. Technol. 2009, 69, 1756–1763. [Google Scholar] [CrossRef]
- Steinmann, W.; Vad, T.; Weise, B.; Wulfhorst, J.; Seide, G.; Gries, T.; Heidelmann, M.; Weirich, T. Extrusion of CNT-modified polymers with low viscosity—Influence of crystallization and CNT orientation on the electrical properties. Polym. Polym. Comp. 2013, 21, 473–482. [Google Scholar] [CrossRef]
- Stanciu, N.V.; Stan, F.; Fetecau, C. Melt shear rheology and pVT behavior of polypropylene/multi-walled carbon nanotube composites. Mater. Plast. 2018, 55, 482–487. [Google Scholar] [CrossRef]
- Technical Data Sheet: NC7000, Nanocyl SA. Available online: https://www.nanocyl.com/product/nc7000 (accessed on 20 October 2020).
- Technical Data Sheet: Plasticyl PP2001, Nanocyl SA. Available online: https://www.nanocyl.com/product/plasticyl-pp2001 (accessed on 20 October 2020).
- Technical Data Sheet: Moplen HP400R, LyondellBasell Industries Holdings, B.V. Available online: https://www.lyondellbasell.com/en/polymers/p/Moplen-HP400R/b8c2b2d7-cbc5-46e4-8506-8031418ef728 (accessed on 20 October 2020).
- Bao, S.P.; Tjong, S.C. Mechanical behaviors of polypropylene/carbon nanotube nanocomposites: The effects of loading rate and temperature. Mater. Sci. Eng. A 2008, 485, 508–516. [Google Scholar] [CrossRef]
- Soitong, T.; Pumchusak, J. The relationship of crystallization behavior, mechanical properties, and morphology of polypropylene nanocomposite fibers. J. Mater. Sci. 2011, 46, 1697–1704. [Google Scholar] [CrossRef]
- Stan, F.; Stanciu, N.V.; Fetecau, C. Melt rheological properties of ethylene-vinyl acetate/multi-walled carbon nanotube composites. Compos. B 2017, 110, 20–31. [Google Scholar] [CrossRef]
- Stanciu, N.V.; Stan, F.; Fetecau, C. Experimental investigation of the melt shear viscosity, specific volume and thermal conductivity of low-density polyethylene/multi-walled carbon nanotube composites using capillary flow. Polymers 2020, 12, 1230. [Google Scholar] [CrossRef]
- Stanciu, N.V.; Stan, F.; Sandu, I.L.; Susac, F.; Fetecau, C.; Rosculet, R.T. Mechanical, electrical and rheological behavior of ethylene-vinyl acetate/multi-walled carbon nanotube composites. Polymers 2019, 11, 1300. [Google Scholar] [CrossRef]
- Assouline, E.; Lustiger, A.; Harber, A.H.; Cooper, C.A.; Klein, E.; Wachtel, E.; Wagner, H.D. Nucleation ability of multiwall carbon nanotubes in polypropylene composites. J. Polym. Sci. B 2003, 41, 520–527. [Google Scholar] [CrossRef]
- Ganß, M.; Stapathy, B.K.; Thunga, M.; Weidisch, R.; Potschke, P.; Jehnichen, D. Structural interpretations of deformation and fracture behavior of polypropylene/multi-walled carbon nanotube composites. Acta Mater. 2008, 56, 2247–2261. [Google Scholar] [CrossRef]
- Thiébaud, F.; Gelin, J.C. Characterization of rheological behaviors of polypropylene/carbone nanotubes composites and modeling their flow in a twin screw mixer. Compos. Sci. Technol. 2010, 70, 647. [Google Scholar] [CrossRef]
- Marcincin, A.; Hricova, M.; Ujhelyiova, A. Spinning, structure and properties of PP/CNTs and PP/carbon black composite fibers. IOP Conf. Ser. Mater. Sci. Eng. 2014, 64, 012004. [Google Scholar] [CrossRef]
- Zadhoush, A.; Reyhani, R.; Naeimirad, M. Evaluation of surface modification impact on PP/MWCNT nanocomposites by rheological and mechanical characterization, assisted with morphological image processing. Polym. Compos. 2018, 40, E501–E510. [Google Scholar] [CrossRef]
- Xu, H.; Lele, A.; Rastogi, S. The influence of carbon-based nanofillers on the melt flow singularity of linear polyethylene. Polymer 2011, 52, 3163–3174. [Google Scholar] [CrossRef]
- Jiji, A.; Sharika, T.; Soney, C.G.; Sabu, T. Rheological percolation in thermoplastic polymer nanocomposites. Rheol Open Access 2017, 1, 102. [Google Scholar]
- Tang, D.; Marchesini, F.H.; Cardon, L.; D’hooge, D.R. State of the-art for extrudate swell of molten polymers: From fundamental understanding at molecular scale toward optimal die design at final product scale. Macromol. Mat. Eng. 2020, 305, 2000340. [Google Scholar] [CrossRef]
- Göttfert. WinRheo II Software Documentation; Göttfert: Buchen, Germany, 2018. [Google Scholar]
- Kumanek, B.; Janas, D. Thermal conductivity of carbon nanotube networks: A review. J. Mater. Sci. 2019, 54, 7397–7427. [Google Scholar] [CrossRef]
- Ren, Y.; Zhang, Y.; Fang, H.; Ding, T.; Li, J.; Bai, S.J. Simultaneous enhancement on thermal and mechanical properties of polypropylene composites filled with graphite platelets and graphene sheets. Compos. A 2018, 112, 57–63. [Google Scholar] [CrossRef]
- Stauffer, D.; Aharony, A. Introduction to Percolation Theory, 2nd ed.; Taylor & Francis: London, UK, 1992. [Google Scholar]
- Bauhofer, W.; Kovacs, J.Z. A review and analysis of electrical percolation in carbon nanotube polymer composites. Comp. Sci. Technol. 2009, 69, 1486–1498. [Google Scholar] [CrossRef]

















| MWCNTs (wt.%) | Cooling Scan | Second Heating Scan | |||
|---|---|---|---|---|---|
| (°C) Crystallization Temperature | (J/g) Crystallization Enthalpy | (°C) Ejection Temperature | (°C) Melting Temperature | (%) Crystallinity Degree | |
| 0.1 | 119.70 | 101.60 | 110.50 | 167.10 | 47.06 |
| 0.3 | 120.70 | 97.95 | 112.15 | 166.80 | 46.17 |
| 0.5 | 121.70 | 111.00 | 112.53 | 167.00 | 51.16 |
| 1 | 121.90 | 95.01 | 114.79 | 166.30 | 45.48 |
| 3 | 124.60 | 98.40 | 116.26 | 168.00 | 49.31 |
| 5 | 126.30 | 97.27 | 117.38 | 167.90 | 50.16 |
| MWCNTs (wt.%) | MFI (g/10 min) | |
|---|---|---|
| 190 (°C) | 230 (°C) | |
| 0.1 | 10.91 ± 0.25 | 23.74 ± 0.92 |
| 0.3 | 10.41 ± 0.16 | 23.65 ± 0.51 |
| 0.5 | 10.00 ± 0.23 | 21.86 ± 0.56 |
| 1 | 9.20 ± 0.13 | 19.54 ± 0.68 |
| 3 | 5.45 ± 0.11 | 12.00 ± 0.28 |
| 5 | 2.28 ± 0.06 | 5.48 ± 0.15 |
| MWCNTs (wt.%) | VI (Pa·s) | ||
|---|---|---|---|
| 190 (°C) | 210 (°C) | 230 (°C) | |
| 0.1 | 96.69 | 79.47 | 70.16 |
| 0.3 | 97.17 | 80.80 | 71.51 |
| 0.5 | 99.56 | 82.66 | 71.65 |
| 1 | 100.07 | 84.94 | 72.75 |
| 3 | 109.88 | 93.09 | 81.86 |
| 5 | 120.30 | 104.70 | 91.07 |
| Parameters | MWCNTs (wt.%) | ||||||
|---|---|---|---|---|---|---|---|
| 0.1 | 0.3 | 0.5 | 1 | 3 | 5 | ||
| (Pa·s) | 553.998 | 505.581 | 525.709 | 465.219 | 1104.245 | 2610.857 | |
| (Pa) | 35,297.113 | 47,283.629 | 48,039.684 | 60,265.852 | 34,150.770 | 24,314.338 | |
| 0.263 | 0.221 | 0.217 | 0.176 | 0.245 | 0.262 | ||
| R2 Cross | 0.995 | 0.999 | 0.998 | 0.998 | 0.997 | 0.999 | |
| 190 °C | 1.540 | 1.492 | 1.617 | 1.626 | 1.586 | 1.704 | |
| 200 °C | 1.235 | 1.216 | 1.265 | 1.269 | 1.253 | 1.704 | |
| 210 °C | 1.000 | 1.000 | 1.000 | 1.000 | 1.000 | 1.000 | |
| 220 °C | 0.817 | 0.829 | 0.798 | 0.796 | 0.805 | 0.779 | |
| 230 °C | 0.672 | 0.692 | 0.642 | 0.639 | 0.654 | 0.612 | |
| Ea (J/mol) | 40,151.755 | 37,191.234 | 44,717.904 | 45,230.321 | 42,880.345 | 49,569.519 | |
| R2 Arrhenius | 0.979 | 0.994 | 0.990 | 0.994 | 0.993 | 0.996 | |
| MWCNTs (wt.%) | Melt Density (g/cm3) | Solid Density (g/cm3) | Bulk Density (g/cm3) |
|---|---|---|---|
| 0.1 | 0.756 ± 0.0053 | 0.915 ± 0.0032 | 0.884 ± 0.0024 |
| 0.3 | 0.757 ± 0.0053 | 0.916 ± 0.0031 | 0.883 ± 0.0026 |
| 0.5 | 0.756 ± 0.0053 | 0.918 ± 0.0032 | 0.877 ± 0.0035 |
| 1 | 0.759 ± 0.0054 | 0.921 ± 0.0032 | 0.861 ± 0.0028 |
| 3 | 0.772 ± 0.0054 | 0.931 ± 0.0033 | 0.888 ± 0.0018 |
| 5 | 0.778 ± 0.0061 | 0.940 ± 0.0031 | 0.883 ± 0.0035 |
| MWCNTs (wt.%) | Young Modulus (GPa) | Tensile Strength (MPa) | Stress at Break (MPa) | Strain at Break (-) |
|---|---|---|---|---|
| 0.1 | 1843.08 ± 16.06 | 35.23 ± 0.25 | 14.45 ± 0.24 | 0.38 ± 0.01 |
| 0.3 | 1887.44 ± 32.20 | 35.75 ± 0.11 | 14.74 ± 1.11 | 0.31 ± 0.03 |
| 0.5 | 1914.60 ± 16.54 | 35.90 ± 0.18 | 17.56 ± 2.84 | 0.23 ± 0.07 |
| 1 | 1922.14 ± 21.09 | 36.06 ± 0.10 | 25.21 ± 1.67 | 0.16 ± 0.01 |
| 3 | 2105.26 ± 9.40 | 37.18 ± 0.26 | 31.81 ± 0.76 | 0.13 ± 0.01 |
| 5 | 2251.56 ± 24.54 | 38.23 ± 0.13 | 34.97 ± 1.17 | 0.10 ± 0.01 |
Publisher’s Note: MDPI stays neutral with regard to jurisdictional claims in published maps and institutional affiliations. |
© 2021 by the authors. Licensee MDPI, Basel, Switzerland. This article is an open access article distributed under the terms and conditions of the Creative Commons Attribution (CC BY) license (http://creativecommons.org/licenses/by/4.0/).
Share and Cite
Stanciu, N.-V.; Stan, F.; Sandu, I.-L.; Fetecau, C.; Turcanu, A.-M. Thermal, Rheological, Mechanical, and Electrical Properties of Polypropylene/Multi-Walled Carbon Nanotube Nanocomposites. Polymers 2021, 13, 187. https://doi.org/10.3390/polym13020187
Stanciu N-V, Stan F, Sandu I-L, Fetecau C, Turcanu A-M. Thermal, Rheological, Mechanical, and Electrical Properties of Polypropylene/Multi-Walled Carbon Nanotube Nanocomposites. Polymers. 2021; 13(2):187. https://doi.org/10.3390/polym13020187
Chicago/Turabian StyleStanciu, Nicoleta-Violeta, Felicia Stan, Ionut-Laurentiu Sandu, Catalin Fetecau, and Adriana-Madalina Turcanu. 2021. "Thermal, Rheological, Mechanical, and Electrical Properties of Polypropylene/Multi-Walled Carbon Nanotube Nanocomposites" Polymers 13, no. 2: 187. https://doi.org/10.3390/polym13020187
APA StyleStanciu, N.-V., Stan, F., Sandu, I.-L., Fetecau, C., & Turcanu, A.-M. (2021). Thermal, Rheological, Mechanical, and Electrical Properties of Polypropylene/Multi-Walled Carbon Nanotube Nanocomposites. Polymers, 13(2), 187. https://doi.org/10.3390/polym13020187
