High-Temperature-Induced Shape Memory Copolyimide
Abstract
:1. Introduction
2. Materials and Work Method
2.1. Materials
2.2. Preparation of Copolymer PI Film
2.3. Characterizations
2.4. Shape Memory Performance Test
3. Results and Discussion
3.1. Chemical Spectrum Studies
3.2. Thermomechanical Properties of PI Films
3.3. Shape Memory Studies
3.3.1. Shape Memory Performance of PI Films of Different Systems
3.3.2. Cyclic Test of Shape Memory Properties of Copolymer PI Films
3.3.3. Shape Fixation and Folding—Recovery Properties of Copolymerized PI Films
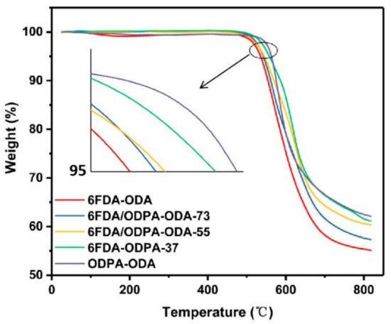
3.4. Thermal Stability and Mechanical Properties of PI Films
4. Conclusions
Supplementary Materials
Author Contributions
Funding
Institutional Review Board Statement
Informed Consent Statement
Data Availability Statement
Conflicts of Interest
References
- Liu, Y.; Du, H.; Liu, L.; Leng, J. Shape Memory Polymers and Their Composites in Aerospace Applications: A Review. Smart Mater. Struct. 2014, 23, 023001. [Google Scholar] [CrossRef]
- Liaw, D.J.; Wang, K.L.; Huang, Y.C.; Lee, K.R.; Lai, J.Y.; Ha, C.S. Advanced Polyimide Materials: Syntheses, Physical Properties and Applications. Prog. Polym. Sci. 2012, 37, 907–974. [Google Scholar] [CrossRef]
- Han, Z.; Qi, S.; Liu, W.; Han, E.; Wu, Z.; Wu, D. Surface-Modified Polyimide Fiber-Filled Ethylenepropylenediene Monomer Insulations for a Solid Rocket Motor: Processing, Morphology, and Properties. Ind. Eng. Chem. Res. 2013, 52, 1284–1290. [Google Scholar] [CrossRef]
- Wang, D.H.; Tan, L.S. Origami-Inspired Fabrication: Self-Folding or Self-Unfolding of Cross-Linked-Polyimide Objects in Extremely Hot Ambience. ACS Macro Lett. 2019, 546–552. [Google Scholar] [CrossRef]
- Gouzman, I.; Grossman, E.; Verker, R.; Atar, N.; Bolker, A.; Eliaz, N. Advances in Polyimide-Based Materials for Space Applications. Adv. Mater. 2019, 31, 1807738. [Google Scholar] [CrossRef]
- Yoonessi, M.; Shi, Y.; Scheiman, D.A.; Lebron-Colon, M.; Tigelaar, D.M.; Weiss, R.A.; Meador, M.A. Graphene Polyimide Nanocomposites; Thermal, Mechanical, and High-Temperature Shape Memory Effects. ACS Nano 2012, 6, 7644–7655. [Google Scholar] [CrossRef]
- Koerner, H.; Strong, R.J.; Smith, M.L.; Wang, D.H.; Vaia, R.A. Polymer Design for High Temperature Shape Memory: Low Crosslink Density Polyimides. Polymer 2013, 54, 391–402. [Google Scholar] [CrossRef]
- Luo, Y.; Guo, Y.; Xiang, G.; Li, B.C.; Tao, X. A General Approach Towards Thermoplastic Multishape-Memory Polymers via Sequence Structure Design. Adv. Mater. 2013, 25, 743–748. [Google Scholar] [CrossRef]
- Zhao, Q.; Qi, H.J.; Xie, T. Recent Progress in Shape Memory Polymer: New Behavior, Enabling Materials, and Mechanistic Understanding. Prog. Polym. Sci. 2015, 49–50, 79–120. [Google Scholar] [CrossRef] [Green Version]
- Shi, Y.; Yoonessi, M.; Weiss, R.A. High Temperature Shape Memory Polymers. Macromolecules 2013, 46, 4160–4167. [Google Scholar] [CrossRef]
- Xie, F.; Huang, L.; Liu, Y.; Leng, J. Synthesis and Characterization of High Temperature Cyanate-Based Shape Memory Polymers with Functional Polybutadiene/Acrylonitrile. Polymer 2014, 55, 5873–5879. [Google Scholar] [CrossRef]
- Kumar, K.S.; Nair, C.P. Hydrophobic Shape Memory Poly(Oxazolidone-Triazine) Cyclomatrix Networks with High Transition Temperatures. RSC Adv. 2013, 4, 2969–2973. [Google Scholar] [CrossRef]
- Hager, M.D.; Bode, S.; Weber, C.; Schubert, U.S. Shape Memory Polymers: Past, Present and Future Developments. Prog. Polym. Sci. 2015, 49–50, 3–33. [Google Scholar] [CrossRef]
- Gu, X.; Mather, P.T. Entanglement-Based Shape Memory Polyurethanes: Synthesis and Characterization. Polymer 2012, 53, 5924–5934. [Google Scholar] [CrossRef]
- Leng, J.; Lan, X.; Liu, Y.; Du, S. Shape-Memory Polymers and Their Composites: Stimulus Methods and Applications. Prog. Mater. Ence 2011, 56, 1077–1135. [Google Scholar] [CrossRef]
- Berg, G.J.; Mcbride, M.K.; Wang, C.; Bowman, C.N. New Directions in the Chemistry of Shape Memory Polymers. Polymer 2014, 55, 5849–5872. [Google Scholar] [CrossRef]
- Yang, Z.; Song, F.; Wang, Q.; Wang, T. Shape Memory Induced Structural Evolution of High Performance Copolyimides. J. Polym. Sci. Part A Polym. Chem. 2016, 54, 3858–3867. [Google Scholar] [CrossRef]
- Kong, D.; Xiao, X. High Cycle-Life Shape Memory Polymer at High Temperature. Sci. Rep. 2016, 6, 33610. [Google Scholar] [CrossRef]
- Xiao, X.; Kong, D.; Qiu, X.; Zhang, W.; Zhang, F.; Liu, L.; Liu, Y.; Zhang, S.; Hu, Y.; Leng, J. Shape-Memory Polymers with Adjustable High Glass Transition Temperatures. Macromolecules 2015, 48, 3582–3589. [Google Scholar] [CrossRef]
- Kim, B.K.; Sang, Y.L.; Mao, X. Polyurethane Having Shape Memory Effect. Polymer 1996, 37, 5781–5793. [Google Scholar] [CrossRef]
- Santiago, D.; Ferrando, F.; Silvia, D. Shape-memory Effect in Hyperbranched Poly(Ethyleneimine)-modified Epoxy Thermosets. J. Polym. Sci. Part B Polym. Phys. 2015, 53, 924–933. [Google Scholar] [CrossRef]
- Hu, J.; Yong, Z.; Huang, H.; Jing, L. Recent Advances in Shape–Memory Polymers: Structure, Mechanism, Functionality, Modeling and Applications. Prog. Polym. Sci. 2012, 37, 1720–1763. [Google Scholar] [CrossRef]
- Hollander, S.D.; Van Assche, G.; Van Mele, B.F. Du Prez Novel Synthetic Strategy toward Shape Memory Polyurethanes with a Well-Defined Switching Temperature. Polymer 2009, 50, 4447–4454. [Google Scholar] [CrossRef]
- Dao, L.; Ying, L.; Zi, J.; Sheng, Q. Structural Evolution of Macromolecular Chain During Pre-Imidization Process and Its Effects on Polyimide Film Properties. J. Phys. Chem. B 2020, 124, 7969–7978. [Google Scholar] [CrossRef]
- Pryde, C. IR Studies of Polyimides. I. Effects of Chemical and Physical Changes during Cure. J. Polym. Sci. Part A Polym. Chem. 1989, 27, 711–724. [Google Scholar] [CrossRef]
- Wang, Q.; Bai, Y.; Yu, C.; Ju, J.; Fei, Z.; Wang, T. High Performance Shape Memory Polyimides Based on π–π Interactions. J. Mater. Chem. A 2014, 3, 352–359. [Google Scholar] [CrossRef]
- Brostow, W.; Chiu, R.; Kalogeras, I.M.; Vassilikou-Dova, A. Prediction of Glass Transition Temperatures: Binary Blends and Copolymers. Mater. Lett. 2008, 62, 3152–3155. [Google Scholar] [CrossRef]
- Zheng, N.; Fang, G.; Cao, Z.; Zhao, Q.; Xie, T. High Strain Epoxy Shape Memory Polymer. Polym. Chem. 2015, 6, 3046–3053. [Google Scholar] [CrossRef]
- Ji, F.L.; Hu, J.L.; Li, T.C.; Wong, Y.W. Morphology and Shape Memory Effect of Segmented Polyurethanes. Part I: With Crystalline Reversible Phase. Polymer 2007, 48, 5133–5145. [Google Scholar] [CrossRef]
- Margoy, D.; Gouzman, I.; Grossman, E.; Bolker, A.; Verker, R. Epoxy-Based Shape Memory Composite for Space Applications. Acta Astronaut. 2020, 178, 908–919. [Google Scholar] [CrossRef]











| Sample | Tg (°C) | E’ (MPa) at Tg + 20 °C | |
|---|---|---|---|
| DMA | Fox Equation | ||
| 6FDA-ODA | 326.72 | 326.72 | 5.44 |
| 6FDA/ODPA-ODA-73 | 312.85 | 316.37 | 7.43 |
| 6FDA/ODPA-ODA-55 | 307.25 | 309.83 | 7.19 |
| 6FDA/ODPA-ODA-37 | 301.66 | 303.55 | 7.59 |
| ODPA-ODA | 294.60 | 294.6 | 8.89 |
| Sample | Rf(%) | Rr(%) |
|---|---|---|
| 6FDA-ODA | 97.32 | 93.60 |
| 6FDA/ODPA-ODA-73 | 98.09 | 95.28 |
| 6FDA/ODPA-ODA-55 | 98.73 | 95.23 |
| 6FDA/ODPA-ODA-37 | 98.81 | 96.77 |
| ODPA-ODA | 96.16 | 98.33 |
| Sample | T5 (°C) | Tensile Strength (MPa) | Elongation at Break (%) | Modulus (GPa) |
|---|---|---|---|---|
| 6FDA-ODA | 535.31 | 125.17(7.29) | 15.11(0.19) | 1.98(0.043) |
| 6FDA/ODPA-ODA-73 | 542.13 | 133.96(3.79) | 18.34(4.18) | 2.03(0.089) |
| 6FDA/ODPA-ODA-55 | 544.51 | 131.86(4.03) | 20.65(1.06) | 2.06(0.021) |
| 6FDA/ODPA-ODA-37 | 557.83 | 133.13(2.47) | 39.44(6.66) | 2.02(0.037) |
| ODPA-ODA | 563.36 | 157.62(5.07) | 66.2(2.43) | 2.07(0.059) |
Publisher’s Note: MDPI stays neutral with regard to jurisdictional claims in published maps and institutional affiliations. |
© 2021 by the authors. Licensee MDPI, Basel, Switzerland. This article is an open access article distributed under the terms and conditions of the Creative Commons Attribution (CC BY) license (https://creativecommons.org/licenses/by/4.0/).
Share and Cite
Zi, Y.; Pei, D.; Wang, J.; Qi, S.; Tian, G.; Wu, D. High-Temperature-Induced Shape Memory Copolyimide. Polymers 2021, 13, 3222. https://doi.org/10.3390/polym13193222
Zi Y, Pei D, Wang J, Qi S, Tian G, Wu D. High-Temperature-Induced Shape Memory Copolyimide. Polymers. 2021; 13(19):3222. https://doi.org/10.3390/polym13193222
Chicago/Turabian StyleZi, Yucheng, Dongxu Pei, Jianhua Wang, Shengli Qi, Guofeng Tian, and Dezhen Wu. 2021. "High-Temperature-Induced Shape Memory Copolyimide" Polymers 13, no. 19: 3222. https://doi.org/10.3390/polym13193222
APA StyleZi, Y., Pei, D., Wang, J., Qi, S., Tian, G., & Wu, D. (2021). High-Temperature-Induced Shape Memory Copolyimide. Polymers, 13(19), 3222. https://doi.org/10.3390/polym13193222

