Development and Characterization of a 3D Printed Cocoa Bean Shell Filled Recycled Polypropylene for Sustainable Composites
Abstract
:1. Introduction
2. Materials and Methods
2.1. Materials
2.2. Processing of Composite Filaments
2.3. Row and Feedstock Material Thermal Characterization
2.3.1. Thermogravimetric Analysis (TGA)
2.3.2. Differential Scanning Calorimetry (DSC)
2.4. Feedstock Material Density
2.5. Row and Feedstock Material Water Absorption and Diameter Swelling
2.6. 3D Printing
2.7. Mechanical Characterization
2.8. Microcospy Analysis
2.9. Statistical Analysis
3. Results
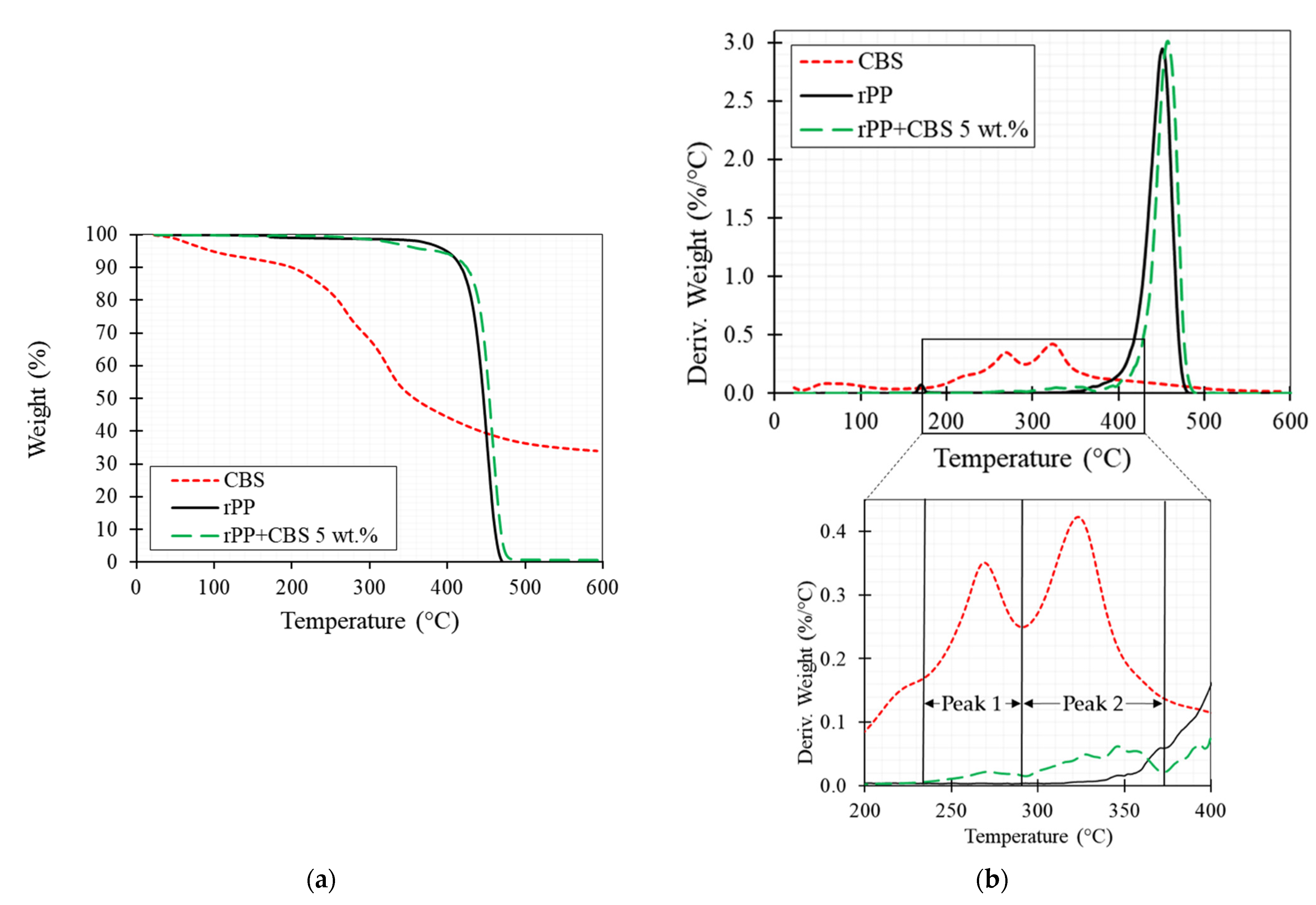
3.1. Row and Feedstock Material Thermal Characterization
3.2. Row and Feedstock Material Physical Properties
3.3. Warping Analysis
3.4. Mechanical Characterization
3.5. Tensile Test Fractured Specimens Morphology
4. Conclusions
Author Contributions
Funding
Institutional Review Board Statement
Informed Consent Statement
Data Availability Statement
Acknowledgments
Conflicts of Interest
References
- Faruk, O.; Bledzki, A.K.; Fink, H.P.; Sain, M. Biocomposites Reinforced with Natural Fibers: 2000–2010. Prog. Polym. Sci. 2012, 37, 1552–1596. [Google Scholar] [CrossRef]
- Hong, H.; Xiao, R.; Guo, Q.; Liu, H.; Zhang, H. Quantitively Characterizing the Chemical Composition of Tailored Bagasse Fiber and Its Effect on the Thermal and Mechanical Properties of Polylactic Acid-Based Composites. Polymers 2019, 11, 1567. [Google Scholar] [CrossRef] [PubMed] [Green Version]
- Kain, S.; Ecker, J.V.; Haider, A.; Musso, M.; Petutschnigg, A. Effects of the Infill Pattern on Mechanical Properties of Fused Layer Modeling (FLM) 3D Printed Wood/Polylactic Acid (PLA) Composites. Eur. J. Wood Wood Prod. 2020, 78, 65–74. [Google Scholar] [CrossRef]
- Fitzgerald, A.; Proud, W.; Kandemir, A.; Murphy, R.J.; Jesson, D.A.; Trask, R.S.; Hamerton, I.; Longana, M.L. A Life Cycle Engineering Perspective on Biocomposites as a Solution for a Sustainable Recovery. Sustainability 2021, 13, 1160. [Google Scholar] [CrossRef]
- Cao, C. Sustainability and life assessment of high strength natural fibre composites in construction. In Advanced High Strength Natural Fibre Composites in Construction; Elsevier: Amsterdam, The Netherlands, 2017; pp. 529–544. ISBN 978-0-08-100411-1. [Google Scholar]
- The Circular Economy in Detail. Available online: https://www.ellenmacarthurfoundation.org/explore/the-circular-economy-in-detail (accessed on 18 May 2021).
- Cruz Sanchez, F.A.; Boudaoud, H.; Hoppe, S.; Camargo, M. Polymer Recycling in an Open-Source Additive Manufacturing Context: Mechanical Issues. Addit. Manuf. 2017, 17, 87–105. [Google Scholar] [CrossRef]
- Phanisankar, B.S.S.; Vasudeva Rao, N.; Manikanta, J.E. Conversion of Waste Plastic to Fuel Products. Mater. Today Proc. 2020, 33, 5190–5195. [Google Scholar] [CrossRef]
- 100+ Plastic in the Ocean Statistics & Facts (2020–2021). Available online: https://www.condorferries.co.uk/plastic-in-the-ocean-statistics (accessed on 18 May 2021).
- Presence of Microplastics and Nanoplastics in Food, with Particular Focus on Seafood. EFSA J. 2016, 14, e04501. [CrossRef] [Green Version]
- Singh, N.; Hui, D.; Singh, R.; Ahuja, I.P.S.; Feo, L.; Fraternali, F. Recycling of Plastic Solid Waste: A State of Art Review and Future Applications. Compos. Part B Eng. 2017, 115, 409–422. [Google Scholar] [CrossRef]
- Sadh, P.K.; Duhan, S.; Duhan, J.S. Agro-Industrial Wastes and Their Utilization Using Solid State Fermentation: A Review. Bioresour. Bioprocess. 2018, 5, 1. [Google Scholar] [CrossRef] [Green Version]
- En Tiempos de Pandemia, Producción de Cacao Alcanzó Cifra Record—Fondo Nacional Del Cacao. Available online: http://www.fedecacao.com.co/portal/index.php/es/2015-04-23-20-00-33/1381-en-tiempos-de-pandemia-produccion-de-cacao-alcanzo-cifra-record (accessed on 14 September 2021).
- Grillo, G.; Boffa, L.; Binello, A.; Mantegna, S.; Cravotto, G.; Chemat, F.; Dizhbite, T.; Lauberte, L.; Telysheva, G. Cocoa Bean Shell Waste Valorisation; Extraction from Lab to Pilot-Scale Cavitational Reactors. Food Res. Int. 2019, 115, 200–208. [Google Scholar] [CrossRef] [PubMed]
- Barišić, V.; Jozinović, A.; Flanjak, I.; Šubarić, D.; Babić, J.; Miličević, B.; Doko, K.; Ačkar, Đ. Difficulties with Use of Cocoa Bean Shell in Food Production and High Voltage Electrical Discharge as a Possible Solution. Sustainability 2020, 12, 3981. [Google Scholar] [CrossRef]
- Figueroa, K.H.N.; García, N.V.M.; Vega, R.C. Cocoa By-products. In Food Wastes and By-Products; Campos-Vega, R., Oomah, B.D., Vergara-Castañeda, H.A., Eds.; Wiley: Hoboken, NJ, USA, 2020; pp. 373–411. ISBN 978-1-119-53410-5. [Google Scholar]
- Handojo, L.; Triharyogi, H.; Indarto, A. Cocoa Bean Shell Waste as Potential Raw Material for Dietary Fiber Powder. Int. J. Recycl. Org. Waste Agric. 2019, 8, 485–491. [Google Scholar] [CrossRef] [Green Version]
- Okiyama, D.C.G.; Navarro, S.L.B.; Rodrigues, C.E.C. Cocoa Shell and Its Compounds: Applications in the Food Industry. Trends Food Sci. Technol. 2017, 63, 103–112. [Google Scholar] [CrossRef]
- Long, H.; Wu, Z.; Dong, Q.; Shen, Y.; Zhou, W.; Luo, Y.; Zhang, C.; Dong, X. Mechanical and Thermal Properties of Bamboo Fiber Reinforced Polypropylene/Polylactic Acid Composites for 3D Printing. Polym. Eng. Sci. 2019, 59, E247–E260. [Google Scholar] [CrossRef]
- Sanivada, U.K.; Mármol, G.; Brito, F.P.; Fangueiro, R. PLA Composites Reinforced with Flax and Jute Fibers—A Review of Recent Trends, Processing Parameters and Mechanical Properties. Polymers 2020, 12, 2373. [Google Scholar] [CrossRef]
- Zaaba, N.F.; Ismail, H. Thermoplastic/Natural Filler Composites: A Short Review. J. Phys. Sci. 2019, 30, 81–99. [Google Scholar] [CrossRef] [Green Version]
- Mazzanti, V.; Mollica, F.; El Kissi, N. Rheological and Mechanical Characterization of Polypropylene-Based Wood Plastic Composites. Polym. Compos. 2016, 37, 3460–3473. [Google Scholar] [CrossRef]
- Cavus, V. Selected Properties of Mahogany Wood Flour Filled Polypropylene Composites: The Effect of Maleic Anhydride-Grafted Polypropylene (MAPP). BioResources 2020, 15, 2227–2236. [Google Scholar]
- Bocz, K.; Szolnoki, B.; Marosi, A.; Tábi, T.; Wladyka-Przybylak, M.; Marosi, G. Flax Fibre Reinforced PLA/TPS Biocomposites Flame Retarded with Multifunctional Additive System. Polym. Degrad. Stab. 2014, 106, 63–73. [Google Scholar] [CrossRef] [Green Version]
- Puglia, D.; Dominici, F.; Badalotti, M.; Santulli, C.; Kenny, J.M. Tensile, Thermal and Morphological Characterization of Cocoa Bean Shells (CBS)/Polycaprolactone-Based Composites. J. Renew. Mater. 2016, 4, 199–205. [Google Scholar] [CrossRef]
- Papadopoulou, E.L.; Paul, U.C.; Tran, T.N.; Suarato, G.; Ceseracciu, L.; Marras, S.; d’Arcy, R.; Athanassiou, A. Sustainable Active Food Packaging from Poly(Lactic Acid) and Cocoa Bean Shells. ACS Appl. Mater. Interfaces 2019, 11, 31317–31327. [Google Scholar] [CrossRef]
- Tran, T.N.; Bayer, I.S.; Heredia-Guerrero, J.A.; Frugone, M.; Lagomarsino, M.; Maggio, F.; Athanassiou, A. Cocoa Shell Waste Biofilaments for 3D Printing Applications. Macromol. Mater. Eng. 2017, 302, 1–10. [Google Scholar] [CrossRef]
- Despeisse, M.; Baumers, M.; Brown, P.; Charnley, F.; Ford, S.J.; Garmulewicz, A.; Knowles, S.; Minshall, T.H.W.; Mortara, L.; Reed-Tsochas, F.P.; et al. Unlocking Value for a Circular Economy through 3D Printing: A Research Agenda. Technol. Forecast. Soc. Chang. 2017, 115, 75–84. [Google Scholar] [CrossRef] [Green Version]
- Taddese, G.; Durieux, S.; Duc, E. Sustainability Performance Indicators for Additive Manufacturing: A Literature Review Based on Product Life Cycle Studies. Int. J. Adv. Manuf. Technol. 2020, 107, 3109–3134. [Google Scholar] [CrossRef]
- Liu, Z.; Jiang, Q.; Zhang, Y.; Li, T.; Zhang, H.-C. Sustainability of 3D Printing: A Critical Review and Recommendations. Am. Soc. Mech. Eng. Digit. Collect. 2016. [Google Scholar] [CrossRef]
- Shanmugam, V.; Das, O.; Neisiany, R.E.; Babu, K.; Singh, S.; Hedenqvist, M.S.; Berto, F.; Ramakrishna, S. Polymer Recycling in Additive Manufacturing: An Opportunity for the Circular Economy. Mater. Circ. Econ. 2020, 2, 11. [Google Scholar] [CrossRef]
- Tao, Y.; Wang, H.; Li, Z.; Li, P.; Shi, S.Q. Development and Application Ofwood Flour-Filled Polylactic Acid Composite Filament for 3d Printing. Materials 2017, 10, 339. [Google Scholar] [CrossRef] [Green Version]
- Wickramasinghe, S.; Do, T.; Tran, P. FDM-Based 3D Printing of Polymer and Associated Composite: A Review on Mechanical Properties, Defects and Treatments. Polymers 2020, 12, 1529. [Google Scholar] [CrossRef]
- Le Duigou, A.; Correa, D.; Ueda, M.; Matsuzaki, R.; Castro, M. A Review of 3D and 4D Printing of Natural Fibre Biocomposites. Mater. Des. 2020, 194, 108911. [Google Scholar] [CrossRef]
- Velu, R.; Raspall, F.; Singamneni, S. 3D Printing Technologies and Composite Materials for Structural Applications; Elsevier Ltd.: Amsterdam, The Netherlands, 2018; ISBN 978-0-08-102177-4. [Google Scholar]
- Liu, J.; Sun, L.; Xu, W.; Wang, Q.; Yu, S.; Sun, J. Current Advances and Future Perspectives of 3D Printing Natural-Derived Biopolymers. Carbohydr. Polym. 2019, 207, 297–316. [Google Scholar] [CrossRef]
- Yang, T.-C.; Yeh, C.-H. Morphology and Mechanical Properties of 3D Printed Wood Fiber/Polylactic Acid Composite Parts Using Fused Deposition Modeling (FDM): The Effects of Printing Speed. Polymers 2020, 12, 1334. [Google Scholar] [CrossRef]
- ASTM International. F2792-12a—Standard Terminology for Additive Manufacturing Technologies. Rapid Manuf. Assoc. 2013, 10–12. [Google Scholar] [CrossRef]
- Mazzanti, V.; Malagutti, L.; Mollica, F. FDM 3D Printing of Polymers Containing Natural Fillers: A Review of Their Mechanical Properties. Polymers 2019, 11, 1094. [Google Scholar] [CrossRef] [Green Version]
- Stoof, D.; Pickering, K. Sustainable Composite Fused Deposition Modelling Filament Using Recycled Pre-Consumer Polypropylene. Compos. Part B Eng. 2018, 135, 110–118. [Google Scholar] [CrossRef]
- Ahmed, W.; Alnajjar, F.; Zaneldin, E.; Al-Marzouqi, A.H.; Gochoo, M.; Khalid, S. Implementing FDM 3D Printing Strategies Using Natural Fibers to Produce Biomass Composite. Materials 2020, 13, 4065. [Google Scholar] [CrossRef] [PubMed]
- Morales, M.A.; Porras, A.; Maranon, A.; Hernandez, C. Development and Characterization of a 3D Printed Cocoa Bean Shell and Recycled Polypropylene Sustainable Composite. In Proceedings of the ICNF2021—5th International Conference on Natural Fibers, Online, 17–19 May 2021. [Google Scholar]
- ASTM E11-17, Standard Specification for Woven Wire Test Sieve Cloth and Test Sieves; ASTM International: West Conshohocken, PA, USA, 2017.
- Alghyamah, A.A.; Yagoub Elnour, A.; Shaikh, H.; Haider, S.; Manjaly Poulose, A.; Al-Zahrani, S.M.; Almasry, W.A.; Young Park, S. Biochar/Polypropylene Composites: A Study on the Effect of Pyrolysis Temperature on Crystallization Kinetics, Crystalline Structure, and Thermal Stability. J. King Saud Univ.-Sci. 2021, 33, 101409. [Google Scholar] [CrossRef]
- Lanyi, F.J.; Wenzke, N.; Kaschta, J.; Schubert, D.W. On the Determination of the Enthalpy of Fusion of A-Crystalline Isotactic Polypropylene Using Differential Scanning Calorimetry, X-Ray Diffraction, and Fourier-Transform Infrared Spectroscopy: An Old Story Revisited. Adv. Eng. Mater. 2020, 22, 1900796. [Google Scholar] [CrossRef] [Green Version]
- Wu, W.; Ye, W.; Wu, Z.; Geng, P.; Wang, Y.; Zhao, J. Influence of Layer Thickness, Raster Angle, Deformation Temperature and Recovery Temperature on the Shape-Memory Effect of 3D-Printed Polylactic Acid Samples. Materials 2017, 10, 970. [Google Scholar] [CrossRef] [PubMed] [Green Version]
- ASTM E111-17, Standard Test Method for Young’s Modulus, Tangent Modulus, and Chord Modulus; ASTM International: West Conshohocken, PA, USA, 2017; Available online: www.astm.org (accessed on 14 September 2021).
- Montgomery, D.C. Design and Analysis of Experiments, 8th ed.; John Wiley: New York, NY, USA, 2012; ISBN 978-1-118-14692-7. [Google Scholar]
- Asim, M.; Paridah, M.T.; Chandrasekar, M.; Shahroze, R.M.; Jawaid, M.; Nasir, M.; Siakeng, R. Thermal Stability of Natural Fibers and Their Polymer Composites. Iran. Polym. J. 2020, 29, 625–648. [Google Scholar] [CrossRef]
- Majeed, K.; Ahmed, A.; Abu Bakar, M.S.; Indra Mahlia, T.M.; Saba, N.; Hassan, A.; Jawaid, M.; Hussain, M.; Iqbal, J.; Ali, Z. Mechanical and Thermal Properties of Montmorillonite-Reinforced Polypropylene/Rice Husk Hybrid Nanocomposites. Polymers 2019, 11, 1557. [Google Scholar] [CrossRef] [Green Version]
- Zanini, N.C.; Barbosa, R.F.; de Souza, A.G.; Rosa, D.S.; Mulinari, D.R. Revaluation of Australian Palm Residues in Polypropylene Composites: Statistical Influence of Fiber Treatment. J. Compos. Mater. 2021, 55, 813–826. [Google Scholar] [CrossRef]
- Hassan, T.; Jamshaid, H.; Mishra, R.; Khan, M.Q.; Petru, M.; Novak, J.; Choteborsky, R.; Hromasova, M. Acoustic, Mechanical and Thermal Properties of Green Composites Reinforced with Natural Fibers Waste. Polymers 2020, 12, 654. [Google Scholar] [CrossRef] [PubMed] [Green Version]
- Beltrán, A.; Valente, A.J.M.; Jiménez, A.; Garrigós, M.C. Characterization of Poly(ε-Caprolactone)-Based Nanocomposites Containing Hydroxytyrosol for Active Food Packaging. J. Agric. Food Chem. 2014, 62, 2244–2252. [Google Scholar] [CrossRef] [PubMed] [Green Version]
- Porras, A.; Maranon, A.; Ashcroft, I.A. Thermo-Mechanical Characterization of Manicaria Saccifera Natural Fabric Reinforced Poly-Lactic Acid Composite Lamina. Compos. Part Appl. Sci. Manuf. 2016, 81, 105–110. [Google Scholar] [CrossRef]
- Atiqah, A.; Jawaid, M.; Sapuan, S.M.; Ishak, M.R.; Alothman, O.Y. Thermal Properties of Sugar Palm/Glass Fiber Reinforced Thermoplastic Polyurethane Hybrid Composites. Compos. Struct. 2018, 202, 954–958. [Google Scholar] [CrossRef]
- Sh. Al-Otaibi, M.; Alothman, O.Y.; Alrashed, M.M.; Anis, A.; Naveen, J.; Jawaid, M. Characterization of Date Palm Fiber-Reinforced Different Polypropylene Matrices. Polymers 2020, 12, 597. [Google Scholar] [CrossRef] [PubMed] [Green Version]
- Pereira, A.L.; Banea, M.D.; Neto, J.S.S.; Cavalcanti, D.K.K. Mechanical and Thermal Characterization of Natural Intralaminar Hybrid Composites Based on Sisal. Polymers 2020, 12, 866. [Google Scholar] [CrossRef] [Green Version]
- Mustafa, W.A.; Saidi, S.A.; Zainal, M.; Santiagoo, R. Experimental Study of Composites Material Based on Thermal Analysis. J. Adv. Res. Fluid Mech. Therm. Sci. 2018, 43, 37–44. [Google Scholar]
- Atagur, M.; Seki, Y.; Pasaoglu, Y.; Sever, K.; Seki, Y.; Sarikanat, M.; Altay, L. Mechanical and Thermal Properties of Carpinas Betulus Fiber Filled Polypropylene Composites. Polym. Compos. 2020, 41, 1925–1935. [Google Scholar] [CrossRef]
- Hidalgo-Salazar, M.A.; Muñoz, M.F.; Mina, J.H. Influence of Incorporation of Natural Fibers on the Physical, Mechanical, and Thermal Properties of Composites LDPE-Al Reinforced with Fique Fibers. Int. J. Polym. Sci. 2015, 2015, 1–8. [Google Scholar] [CrossRef] [Green Version]
- Xia, L.; Zhang, C.; Wang, A.; Wang, Y.; Xu, W. Morphologies and Properties of Juncus Effusus Fiber after Alkali Treatment. Cellulose 2020, 27, 1909–1920. [Google Scholar] [CrossRef]
- Torres-Canas, F.; Bentaleb, A.; Föllmer, M.; Roman, J.; Neri, W.; Ly, I.; Derré, A.; Poulin, P. Improved Structure and Highly Conductive Lignin-Carbon Fibers through Graphene Oxide Liquid Crystal. Carbon 2020, 163, 120–127. [Google Scholar] [CrossRef]
- Chatterjee, A.; Kumar, S.; Singh, H. Tensile Strength and Thermal Behavior of Jute Fibre Reinforced Polypropylene Laminate Composite. Compos. Commun. 2020, 22, 100483. [Google Scholar] [CrossRef]
- Tarrés, Q.; Melbø, J.K.; Delgado-Aguilar, M.; Espinach, F.X.; Mutjé, P.; Chinga-Carrasco, G. Bio-Polyethylene Reinforced with Thermomechanical Pulp Fibers: Mechanical and Micromechanical Characterization and Its Application in 3D-Printing by Fused Deposition Modelling. Compos. Part B Eng. 2018, 153, 70–77. [Google Scholar] [CrossRef]
- Siengchin, S. Potential Use of “green” Composites in Automotive Applications. Express Polym. Lett. 2017, 11, 600. [Google Scholar] [CrossRef]
- Rachini, A.; Mougin, G.; Delalande, S.; Charmeau, J.-Y.; Barrès, C.; Fleury, E. Hemp Fibers/Polypropylene Composites by Reactive Compounding: Improvement of Physical Properties Promoted by Selective Coupling Chemistry. Polym. Degrad. Stab. 2012, 97, 1988–1995. [Google Scholar] [CrossRef]
- Khalili, P.; Liu, X.; Zhao, Z.; Blinzler, B. Fully Biodegradable Composites: Thermal, Flammability, Moisture Absorption and Mechanical Properties of Natural Fibre-Reinforced Composites with Nano-Hydroxyapatite. Materials 2019, 12, 1145. [Google Scholar] [CrossRef] [Green Version]
- Thakur, V.K.; Singha, A.S.; Thakur, M.K. Green Composites from Natural Fibers: Mechanical and Chemical Aging Properties. Int. J. Polym. Anal. Charact. 2012, 17, 401–407. [Google Scholar] [CrossRef]
- Thakur, V.K.; Singha, A.S. Physicochemical and Mechanical Behavior of Cellulosic Pine Needle-Based Biocomposites. Int. J. Polym. Anal. Charact. 2011, 16, 390–398. [Google Scholar] [CrossRef]
- Vaes, D.; Van Puyvelde, P. Semi-Crystalline Feedstock for Filament-Based 3D Printing of Polymers. Prog. Polym. Sci. 2021, 101411. [Google Scholar] [CrossRef]
- Chong, S.; Pan, G.-T.; Khalid, M.; Yang, T.C.-K.; Hung, S.-T.; Huang, C.-M. Physical Characterization and Pre-Assessment of Recycled High-Density Polyethylene as 3D Printing Material. J. Polym. Environ. 2017, 25, 136–145. [Google Scholar] [CrossRef]
- Spoerk, M.; Sapkota, J.; Weingrill, G.; Fischinger, T.; Arbeiter, F.; Holzer, C. Shrinkage and Warpage Optimization of Expanded-Perlite-Filled Polypropylene Composites in Extrusion-Based Additive Manufacturing. Macromol. Mater. Eng. 2017, 302, 1700143. [Google Scholar] [CrossRef]
- Penumakala, P.K.; Santo, J.; Thomas, A. A Critical Review on the Fused Deposition Modeling of Thermoplastic Polymer Composites. Compos. Part B Eng. 2020, 201, 108336. [Google Scholar] [CrossRef]
- Pickering, K.; Stoof, D. Sustainable Composite Fused Deposition Modelling Filament Using Post-Consumer Recycled Polypropylene. J. Compos. Sci. 2017, 1, 17. [Google Scholar] [CrossRef] [Green Version]
- Le Duigou, A.; Chabaud, G.; Matsuzaki, R.; Castro, M. Tailoring the Mechanical Properties of 3D-Printed Continuous Flax/PLA Biocomposites by Controlling the Slicing Parameters. Compos. Part B Eng. 2020, 203, 108474. [Google Scholar] [CrossRef]
- Thomason, J.L. Why Are Natural Fibres Failing to Deliver On Composite Performance? In Proceedings of the International Conference on Composite Materials (ICCM), Esinburgh, UK, 27–31 July 2009. [Google Scholar]
- Rajendran Royan, N.R.; Leong, J.S.; Chan, W.N.; Tan, J.R.; Shamsuddin, Z.S.B. Current State and Challenges of Natural Fibre-Reinforced Polymer Composites as Feeder in FDM-Based 3D Printing. Polymers 2021, 13, 2289. [Google Scholar] [CrossRef]
- Song, X.; He, W.; Han, X.; Qin, H. Fused Deposition Modeling of Poly (Lactic Acid)/Nutshells Composite Filaments: Effect of Alkali Treatment. J. Polym. Environ. 2020, 28, 3139–3152. [Google Scholar] [CrossRef]
- Morales, M.A.; Atencio Martinez, C.L.; Maranon, A.; Hernandez, C.; Michaud, V.; Porras, A. Development and Characterization of Rice Husk and Recycled Polypropylene Composite Filaments for 3D Printing. Polymers 2021, 13, 1067. [Google Scholar] [CrossRef]
- Tsou, C.H.; Yao, W.H.; Wu, C.S.; Tsou, C.Y.; Hung, W.S.; Chen, J.C.; Guo, J.; Yuan, S.; Wen, E.; Wang, R.Y.; et al. Preparation and Characterization of Renewable Composites from Polylactide and Rice Husk for 3D Printing Applications. J. Polym. Res. 2019, 26, 227. [Google Scholar] [CrossRef]
- Gholampour, A.; Ozbakkaloglu, T. A Review of Natural Fiber Composites: Properties, Modification and Processing Techniques, Characterization, Applications. J. Mater. Sci. 2020, 55, 829–892. [Google Scholar] [CrossRef]
- Elanchezhian, C.; VijayaRamnath, B. Review on Mechanical Properties of Natural Fiber Composites. Mater. Today Proc. 2018, 5, 1785–1790. [Google Scholar] [CrossRef]
- Deb, D.; Jafferson, J.M. Natural Fibers Reinforced FDM 3D Printing Filaments. Mater. Today Proc. 2021, S2214785321015170. [Google Scholar] [CrossRef]
- Fuentes, C.A.; Brughmans, G.; Tran, L.Q.N.; Dupont-Gillain, C.; Verpoest, I.; Van Vuure, A.W. Mechanical Behaviour and Practical Adhesion at a Bamboo Composite Interface: Physical Adhesion and Mechanical Interlocking. Compos. Sci. Technol. 2015, 109, 40–47. [Google Scholar] [CrossRef] [Green Version]
- van Hooy, T.; Srinivas, V.; Auhl, D.; Harings, J. Molecular Structure and Design of Thermoplastic Polymers for 3D Printing. Available online: https://www.zuyd.nl/binaries/content/assets/zuyd/onderzoek/interviews--artikelen/material-sciences_research-paper_3d-fab-print.pdf (accessed on 14 September 2021).
- Balakrishnan, P.; John, M.J.; Pothen, L.; Sreekala, M.S.; Thomas, S. 12—Natural fibre and polymer matrix composites and their applications in aerospace engineering. In Advanced Composite Materials for Aerospace Engineering; Rana, S., Fangueiro, R., Eds.; Woodhead Publishing: Sawston, UK, 2016; pp. 365–383. ISBN 978-0-08-100939-0. [Google Scholar]
- Thyavihalli Girijappa, Y.G.; Mavinkere Rangappa, S.; Parameswaranpillai, J.; Siengchin, S. Natural Fibers as Sustainable and Renewable Resource for Development of Eco-Friendly Composites: A Comprehensive Review. Front. Mater. 2019, 6, 226. [Google Scholar] [CrossRef]
- Bera, T.; Mohanta, N.; Prakash, V.; Pradhan, S.; Acharya, S.K. Moisture Absorption and Thickness Swelling Behaviour of Luffa Fibre/Epoxy Composite. J. Reinf. Plast. Compos. 2019, 38, 923–937. [Google Scholar] [CrossRef]
- Sullins, T.; Pillay, S.; Komus, A.; Ning, H. Hemp Fiber Reinforced Polypropylene Composites: The Effects of Material Treatments. Compos. Part B Eng. 2017, 114, 15–22. [Google Scholar] [CrossRef] [Green Version]
- Varghese, A.M.; Mittal, V. Surface modification of natural fibers. In Biodegradable and Biocompatible Polymer Composites; Elsevier: Amsterdam, The Netherlands, 2018; pp. 115–155. ISBN 978-0-08-100970-3. [Google Scholar]
- Bartos, A.; Utomo, B.P.; Kanyar, B.; Anggono, J.; Soetaredjo, F.E.; Móczó, J.; Pukánszky, B. Reinforcement of Polypropylene with Alkali-Treated Sugarcane Bagasse Fibers: Mechanism and Consequences. Compos. Sci. Technol. 2020, 200, 108428. [Google Scholar] [CrossRef]
- Alzebdeh, K.I.; Nassar, M.M.A.; Arunachalam, R. Effect of Fabrication Parameters on Strength of Natural Fiber Polypropylene Composites: Statistical Assessment. Measurement 2019, 146, 195–207. [Google Scholar] [CrossRef]









| Sample | Crystallization | Melting | Crystallinity (%) | ||
|---|---|---|---|---|---|
| Tc (°C) | ∆Hc (J/g) | Tm (°C) | ∆Hm (J/g) | ∆HPP0 | |
| rPP | 134 ± 1 | 91 ± 5 | 167 ± 1 | 94 ± 3 | 49 ± 7 |
| rPP/CBS 5 wt.% | 134 ± 4 | 95 ± 5 | 167 ± 1 | 85 ± 5 | 43 ± 3 |
| Sample | Density (g/cm3) | Water Absorption (%) | Swelling Diameter (%) |
|---|---|---|---|
| rPP [12] | 0.89 ± 0.01 | 0.29 ± 0.15 | 0.54 ± 0.13 |
| rPP/CBS 5 wt.% | 0.88 ± 0.01 | 0.93 ±0.11 | 0.68 ± 0.33 |
| Sample | Tensile Strength (MPa) | Fracture Strain (%) | Young’s Modulus (GPa) | |
|---|---|---|---|---|
| 0° | rPP | 26.02 ± 0.47 | 6.16 ± 0.19 | 1.34 ± 0.05 |
| rPP/CBS 5 wt.% | 15.23 ± 0.91 | 5.73 ± 0.63 | 0.95 ± 0.04 | |
| 90° | rPP | 4.33 ± 1.73 | 1.01 ± 0.35 | 0.74 ± 0.37 |
| rPP/CBS 5 wt.% | 7.93 ± 1.29 | 2.20 ± 0.60 | 0.78 ± 0.14 | |
Publisher’s Note: MDPI stays neutral with regard to jurisdictional claims in published maps and institutional affiliations. |
© 2021 by the authors. Licensee MDPI, Basel, Switzerland. This article is an open access article distributed under the terms and conditions of the Creative Commons Attribution (CC BY) license (https://creativecommons.org/licenses/by/4.0/).
Share and Cite
Morales, M.A.; Maranon, A.; Hernandez, C.; Porras, A. Development and Characterization of a 3D Printed Cocoa Bean Shell Filled Recycled Polypropylene for Sustainable Composites. Polymers 2021, 13, 3162. https://doi.org/10.3390/polym13183162
Morales MA, Maranon A, Hernandez C, Porras A. Development and Characterization of a 3D Printed Cocoa Bean Shell Filled Recycled Polypropylene for Sustainable Composites. Polymers. 2021; 13(18):3162. https://doi.org/10.3390/polym13183162
Chicago/Turabian StyleMorales, Maria A., Alejandro Maranon, Camilo Hernandez, and Alicia Porras. 2021. "Development and Characterization of a 3D Printed Cocoa Bean Shell Filled Recycled Polypropylene for Sustainable Composites" Polymers 13, no. 18: 3162. https://doi.org/10.3390/polym13183162
APA StyleMorales, M. A., Maranon, A., Hernandez, C., & Porras, A. (2021). Development and Characterization of a 3D Printed Cocoa Bean Shell Filled Recycled Polypropylene for Sustainable Composites. Polymers, 13(18), 3162. https://doi.org/10.3390/polym13183162

