Properties of Degradable Polyhydroxyalkanoates (PHAs) Synthesized by a New Strain, Cupriavidus necator IBP/SFU-1, from Various Carbon Sources
Abstract
:1. Introduction
2. Materials and Methods
2.1. Isolation of the Strain
2.2. Identification of the Bacterial Strain
2.3. Cultivation of Cupriavidus Necator IBP/SFU-1 Cells
2.4. Analytical Procedures
2.5. PHA Properties
2.6. Preparation and Investigation of Polymer Films
2.7. Statistics
3. Results and Discussion
3.1. Characterization of the Strain Cupriavidus Necator IBP/SFU-1
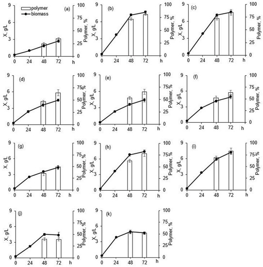
3.2. Cupriavidus Necator IBP/SFU-1 Growth and PHA Synthesis on Various Carbon Sources
3.3. Properties of PHAs Synthesized by Cupriavidus Necator IBP/SFU-1 from Various Carbon Sources
4. Conclusions
Author Contributions
Funding
Institutional Review Board Statement
Informed Consent Statement
Data Availability Statement
Acknowledgments
Conflicts of Interest
References
- Lebreton, L.; Andrady, A. Future scenarios of global plastic waste generation and disposal. Palgrave Commun. 2019, 5, 6. [Google Scholar] [CrossRef] [Green Version]
- Quecholac-Piña, X.; Hernández-Berriel, M.; Mañón-Salas, M.; Espinosa-Valdemar, R.M.; Vázquez-Morillas, A. Degradation of plastics under anaerobic conditions: A short review. Polymers 2020, 12, 109. [Google Scholar] [CrossRef] [Green Version]
- Sohn, Y.J.; Kim, H.T.; Baritugo, K.A.; Jo, S.Y.; Song, N.M.; Park, S.Y.; Park, S.K.; Pyo, J.; Cha, H.G.; Kim, H.; et al. Recent advances in sustainable plastic upcycling and biopolymers. Biotechnol. J. 2020, 15, 1900489. [Google Scholar] [CrossRef]
- Geyer, R.; Jambeck, J.R.; Law, K.L. Production, use, and fate of all plastics ever made. Law Sci. Adv. 2017, 3, 170–782. [Google Scholar] [CrossRef] [PubMed] [Green Version]
- Katyal, D.; Kong, E.; Villanueva, J. Microplastics in the environment: Impact on human health and future mitigation strategies. Environ. Health Rev. 2020, 63, 27–31. [Google Scholar] [CrossRef] [Green Version]
- Urbanek, A.K.; Rymowicz, W.; Mirończuk, A.M. Degradation of plastics and plastic-degrading bacteria in cold marine habitats. Appl. Microbiol. Biotechnol. 2018, 102, 7669–7678. [Google Scholar] [CrossRef] [Green Version]
- Mannina, G.; Presti, D.; Montiel-Jarillo, G.; Suárez-Ojeda, M.E. Bioplastic recovery from wastewater: A new protocol for polyhydroxyalkanoates (PHA) extraction from mixed microbial cultures. Bioresour. Technol. 2019, 282, 361–369. [Google Scholar] [CrossRef]
- Huang, L.; Chen, Z.; Wen, Q.; Ji, Y.; Wu, Z.; Lee, D.J. Toward flexible regulation of polyhydroxyalkanoate composition based on substrate feeding strategy: Insights into microbial community and metabolic features. Bioresour. Technol. 2020, 296, 122369. [Google Scholar] [CrossRef] [PubMed]
- Volova, T.G.; Shishatskaya, E.I.; Sinskey, A.J. Degradable Polymers: Production, Properties, Applications; Nova Science Pub Inc.: Hauppauge, NY, USA, 2013; 380p. [Google Scholar]
- Laycock, B.; Halley, P.; Pratt, S.; Werker, A.; Lant, P. The chemomechanical properties of microbial polyhydroxyalkanoate. Prog. Polym. Sci. 2013, 38, 536–583. [Google Scholar] [CrossRef]
- Volova, T.G.; Zhila, N.O.; Shishatskaya, E.I.; Mironov, P.V.; Vasil’ev, A.D.; Sukovatyi, A.G.; Sinskey, A.J. The physicochemical properties of polyhydroxyalkanoates with different chemical structures. Polym. Sci. Ser. A 2013, 55, 427–437. [Google Scholar] [CrossRef]
- Zheng, J.; Sue, S. Strategies to reduce the global carbon foot print of plastics. Nat. Clim. Chang. 2019, 9, 374–378. [Google Scholar] [CrossRef]
- Chen, G.Q.; Jiang, X.R.; Guo, Y. Synthetic biology of microbes synthesizing polyhydroxyalkanoates (PHA). Synth. Syst. Biotechnol. 2016, 1, 236–242. [Google Scholar] [CrossRef] [PubMed] [Green Version]
- Koller, M.; Mukherjee, A. Polyhydroxyalkanoates—Linking properties, applications, and end-of-life options. Chem. Biochem. Eng. Q. 2020, 34, 115–129. [Google Scholar] [CrossRef]
- Tarrahi, R.; Fathi, Z.; Özgür, M.; Seydibeyoğlu, K.; Doustkhah, E.; Khataee, A. Polyhydroxyalkanoates (PHA): From production to nanoarchitecture. Int. J. Biol. Macromol. 2020, 146, 596–619. [Google Scholar] [CrossRef]
- Chen, G.-Q. Plastics completely synthesized by bacteria: Polyhydroxyalkanoates. In Plastics from Bacteria: Natural Functions and Applications; Chen, G.-Q., Ed.; Springer: Berlin/Heidelberg, Germany, 2010; pp. 17–37. [Google Scholar]
- Sudesh, K.; Abe, H. Practical Guide to Microbial Polyhydroxyalkanoates; A Smithers Group Company: Shropshire, UK, 2010; 158p. [Google Scholar]
- Volova, T.G.; Vinnik, Y.S.; Shishatskaya, E.I.; Markelova, N.M.; Zaikov, G.E. Natural-Based Polymers for Biomedical Applications; Apple Academic Press: New York, NY, USA, 2017; 460p. [Google Scholar]
- Volova, T.G.; Shishatskaya, E.I.; Prudnikova, S.V.; Zhila, N.O.; Boyandin, A.N. New Generation Formulations of Agrochemicals: Current Trends and Future Priorities; Apple Academic Press: Boca Raton, FL, USA, 2020; 286p. [Google Scholar]
- Ansari, S.; Sami, N.; Yasin, D.; Ahmad, N.; Fatma, T. Biomedical applications of environmental friendly poly-hydroxyalkanoates. Int. J. Biol. Macromol. 2021, 183, 549–563. [Google Scholar] [CrossRef]
- Hinchliffe, J.D.; Madappura, A.P.; Mohamed, S.M.D.S.; Roy, I. Review: Biomedical applications of bacteria-derived polymers. Polymers. 2021, 13, 1081. [Google Scholar] [CrossRef]
- Koller, M. The Handbook of Polyhydroxyalkanoates: Postsynthetic Treatment, Processing and Application; CRC Press: Boca Raton, FL, USA, 2020; Volume 3. [Google Scholar]
- Vandamme, P.; Coenye, T. Taxonomy of the genus Cupriavidus: A tale of lost and found. Int. J. Syst. Evol. Microbiol. 2004, 54, 2285–2289. [Google Scholar] [CrossRef] [Green Version]
- Schlegel, H.G.; Kaltwasser, H.; Gottschalk, G. Ein Submersverfahren zur kultur wasserstoffoxydierender bakterien: Wachstumphysiologische untersuchungen. Arch. Mikrobiol. 1961, 38, 209–222. [Google Scholar] [CrossRef]
- Zavarzin, G.A. Vodorodnyye Bakterii i Karboksidobakterii (Hydrogen Bacteria and Carboxydobacteria); Nauka: Moscow, Russia, 1978; 203p. [Google Scholar]
- Tanaka, K.; Ishizaki, A.; Kanamaru, T.; Kawano, T. Production of poly(D-3-hydroxybutyrate) from CO2, H2 and O2 by high cell density autotrophic cultivation of Alcaligenes eutrophus. Biotechnol. Bioeng. 1995, 45, 268–275. [Google Scholar] [CrossRef] [PubMed]
- Tanaka, K.; Miyawaki, K.; Yamaguchi, A.; Khosravi-Darani, K.; Matsusaki, H. Cell growth and P(3HB) accumulation from CO2 of a carbon monoxide-tolerant hydrogen-oxidizing bacterium, Ideonella sp. O-1. Appl. Microbiol. Biotechnol. 2011, 92, 1161–1169. [Google Scholar] [CrossRef] [PubMed]
- Volova, T.G. Hydrogen-Based Biosynthesis; Nova Science Pub Inc.: Hauppauge, NY, USA, 2009; 287p. [Google Scholar]
- Green, P.R.; Kemper, J.; Schechtman, L.; Guo, L.; Satkowski, M.; Fiedler, S.; Steinbüchel, A.; Rehm, B.H.A. Formation of short chain length/medium length polyhydroxyalkanoate copolymers by fatty acid b-oxidation inhibited Ralstonia eutropha. Biomacromolecules 2002, 3, 208–213. [Google Scholar] [CrossRef]
- Chanprateep, S.; Kulpreecha, S. Production and characterization of biodegradable terpolymer poly(3-hydroxybutyrate-co-3-hydroxyvalerate-co-4-hydroxybutyrate) by Alcaligenes sp. A-04. J. Biosci. Bioeng. 2006, 101, 51–56. [Google Scholar] [CrossRef] [PubMed] [Green Version]
- Cavalheiro, J.M.B.T.; Raposo, R.S.; de Almeida, M.C.M.D.; Cesario, M.T.; Sevrin, C.; Grandfils, C.; da Fonseca, M.M.R. Effect of cultivation parameters on the production of poly(3-hydroxybutyrate-co-4-hydroxybutyrate) and poly(3-hydroxybutyrate-4-hydroxybutyrate-3-hydroxyvalerate) by Cupriavidus necator using waste glycerol. Bioresour. Technol. 2012, 111, 391–397. [Google Scholar] [CrossRef]
- Chen, G.Q.; Chen, X.Y.; Wu, F.Q.; Chen, J.C. Polyhydroxyalkanoates (PHA) toward cost competitiveness and functionality. Adv. Ind. Eng. Polym. Res. 2020, 3, 1–7. [Google Scholar] [CrossRef]
- Nandakumar, A.; Chuah, J.A.; Sudesh, K. Bioplastics: A boon or bane? Renew. Sustain. Energy Rev. 2021, 147, 111237. [Google Scholar] [CrossRef]
- Sutton, D.; Fothergill, A.; Rinaldi, M. Guide to Pathogenic and Opportunistic Fungi; Trans. from English; Mir: Moscow, Russia, 2001; 486p. [Google Scholar]
- Vos, P.D.; Garrity, G.M.; Jones, D.; Krieg, N.R.; Ludwig, W.; Rainey, F.A.; Schleifer, K.H.; Whitman, W.B. Bergey’s Manual of Systematic Bacteriology, 2nd ed.; Volume 3: The Firmicutes; Springer: New York, NY, USA, 2009; 1450p. [Google Scholar]
- Saitou, N.; Nei, M. The neighbor-joining method: A new method for reconstructing phylogenetic trees. Mol. Biol. Evol. 1987, 4, 406–425. [Google Scholar] [CrossRef] [PubMed]
- Tamura, K.; Nei, M.; Kumar, S. Prospects for inferring very large phylogenies by using the neighbor-joining method. Proc. Natl. Acad. Sci. USA 2004, 101, 11030–11035. [Google Scholar] [CrossRef] [PubMed] [Green Version]
- Kumar, S.; Stecher, G.; Li, M.; Knyaz, C.; Tamura, K. MEGA X: Molecular evolutionary genetics analysis across computing platforms. Mol. Biol. Evol. 2018, 35, 1547–1549. [Google Scholar] [CrossRef]
- Volova, T.; Demidenko, A.; Kiselev, E.; Baranovskii, S.; Shishatskaya, E.; Zhila, N. Polyhydroxyalkanoate synthesis based on glycerol and implementation of the process under conditions of pilot production. Appl. Microbiol. Biotechnol. 2019, 103, 225–237. [Google Scholar] [CrossRef] [Green Version]
- Braunegg, G.; Sonnleitner, B.; Lafferty, R.M. A rapid gas chromatographic method for the determination of poly-β-hydroxybutyric acid in microbial biomass. Eur. J. Appl. Microbiol. Biotechnol. 1978, 6, 29–37. [Google Scholar] [CrossRef]
- Kiselev, E.G.; Vasiliev, A.D.; Volova, T.G. Synthesis and characteristics of multicomponent PHA. J. Sib. Fed. Univ. Biol. 2021, 14, 97–113. [Google Scholar] [CrossRef]
- Volova, T.; Kiselev, E.; Nemtsev, I.; Lukyanenko, A.; Sukovatyi, A.; Kuzmin, A.; Ryltseva, G.; Shishatskaya, E. Properties of degradable PHAs with different monomer compositions. Int. J. Biol. Macromol. 2021, 182, 98–114. [Google Scholar] [CrossRef] [PubMed]
- Zhila, N.O.; Kalacheva, G.S.; Volova, T.G. Fatty acid composition and polyhydroxyalkanoates production by Cupriavidus eutrophus B-10646 cells grown on different carbon sources. Process Biochem. 2015, 50, 69–78. [Google Scholar] [CrossRef]
- Madison, L.L.; Huisman, G.W. Metabolic engineering of poly(3-hydroxyalkanoates): From DNA to plastic. Microbiol. Mol. Biol. Rev. 1999, 63, 21–53. [Google Scholar] [CrossRef] [Green Version]
- Volova, T.G.; Trusova, M.Y.; Kalacheva, G.S.; Kozhevnicov, I.V. Physiological–biochemical properties and the ability to synthesize polyhydroxyalkanoates of the glucose-utilizing strain of the hydrogen bacterium Ralstonia eutropha B8562. Appl. Microbiol. Biotechnol. 2006, 73, 429–433. [Google Scholar] [CrossRef]
- Holmes, P.A. Applications of PHB—A microbially produced biodegradable thermoplastic. Phys. Technol. 1985, 16, 32–36. [Google Scholar] [CrossRef]
- Kim, B.C.; Lee, S.Y.; Chang, Y.K.; Chang, Y.K.; Woo, S.I. Production of poly(3-hydroxybutyric-co-3-polyhydroxyvaleric acid) by fed-batch culture of Alcaligenes eutrophus with substrate control using on-line glucose analyze. Enzym. Microb. Technol. 1994, 16, 556–561. [Google Scholar] [CrossRef]
- Ryu, H.W.; Cho, K.S.; Kim, B.S.; Chang, H.N.; Shim, H.J. Mass production of poly(3-hydroxybutyrate) in fed-batch culture of Ralstonia eutropha with nitrogen and phosphate limitation. J. Microbiol. Biotechnol. 1999, 9, 751–756. [Google Scholar]
- Fernández-Dacosta, C.; Posada, J.A.; Kleerebezem, R.; Cuellar, M.C.; Ramirez, A. Microbial community-based polyhydroxyalkanoates (PHAs) production from wastewater: Techno-economic analysis and ex-ante environmental assessment. Bioresour. Technol. 2015, 185, 368–377. [Google Scholar] [CrossRef]
- Rodríguez-Contreras, A.; Koller, M.; de Sousa Dias, M.M.; Calafell-Monfort, M.; Braunegg, G.; Marqués-Calvo, M.S. Influence of glycerol on poly(3-hydroxybutyrate) production by Cupriavidus necator and Burkholderia sacchari. Biochem. Eng. J. 2015, 94, 50–57. [Google Scholar] [CrossRef]
- Campos, M.I.; Figueiredo, T.V.B.; Sousa, L.S.; Druzian, J.I. The influence of crude glycerin and nitrogen concentrations on the production of PHA by Cupriavidus necator using a response surface methodology and its characterizations. Ind. Crop. Prod. 2014, 52, 338–346. [Google Scholar] [CrossRef]
- Ashby, R.D.; Solaiman, D.K.Y.; Foglia, T.A. Synthesis of short-/medium-chain-length poly(hydroxyalkanoate) blends by mixed culture fermentation of glycerol. Biomacromolecules 2005, 6, 2106–2112. [Google Scholar] [CrossRef]
- Kumar, P.; Jun, H.B.; Kim, B.S. Co-production of polyhydroxyalkanoates and carotenoids through bioconversion of glycerol by Paracoccus sp. strain. Int. J. Biol. Macromol. 2018, 107, 2552–2558. [Google Scholar] [CrossRef] [PubMed]
- Budde, C.F.; Riedel, S.L.; Hübner, F.; Risch, S.; Popović, M.K.; Rha, C.; Sinskey, A.J. Growth and polyhydroxybutyrate production by Ralstonia eutropha in emulsified plant oil medium. Appl. Microbiol. Biotechnol. 2011, 89, 1611–1619. [Google Scholar] [CrossRef] [PubMed]
- Budde, C.F.; Riedel, S.L.; Willis, L.B.; Rha, C.; Sinskey, A.J. Production of poly(3-hydroxybutyrate-co-3-hydroxyhexanoate) from plant oil by engineered Ralstonia eutropha strains. Appl. Environ. Microbiol. 2011, 77, 2847–2854. [Google Scholar] [CrossRef] [Green Version]
- Riedel, S.L.; Bader, J.; Brigham, C.J.; Budde, C.F.; Yusof, Z.A.M.; Rha, C.; Sinskey, A.J. Production of poly(3-hydroxybutyrate-co-3-hydroxyhexanoate) by Ralstonia eutropha in high cell density palm oil fermentations. Biotechnol. Bioeng. 2012, 109, 74–83. [Google Scholar] [CrossRef] [PubMed] [Green Version]
- Sato, S.; Maruyama, H.; Fujiki, T.; Matsumoto, K. Regulation of 3-hydroxyhexanoate composition in PHBH synthesized by recombinant Cupriavidus necator H16 from plant oil by using butyrate as co-substrate. J. Biosci. Bioeng. 2015, 120, 246–251. [Google Scholar] [CrossRef]
- Zainab-L, I.; Uyama, H.; Li, C.; Shen, Y.; Sudesh, K. Production of polyhydroxyalkanoates from underutilized plant oil by Cupriavidus necator. CLEAN–Soil Air Water 2018, 46, 1700542. [Google Scholar] [CrossRef]
- Pérez-Arauz, A.O.; Aguilar-Rabiela, A.E.; Vargas-Torres, A.; Rodríguez-Hernández, A.I.; Chavarría-Hernández, N.; Vergara-Porras, B.; López-Cuellar, M.R. Production and characterization of biodegradable films of a novel polyhydroxyalkanoate (PHA) synthesized from peanut oil. Food Packag. Shelf Life 2019, 20, 100297. [Google Scholar] [CrossRef]
- Zhila, N.O.; Kalacheva, G.S.; Kiselev, E.G.; Volova, T.G. Synthesis of polyhydroxyalkanoates from oleic acid by Cupriavidus necator B-10646. J. Sib. Fed. Univ. Biol. 2020, 13, 208–217. [Google Scholar] [CrossRef]
- Srivastava, S.K.; Tripathi, A.D. Effect of saturated and unsaturated fatty acid supplementation on bio-plastic production under submerged fermentation. 3 Biotech 2013, 3, 389–397. [Google Scholar] [CrossRef] [Green Version]
- Iqbal, N.M.; Amirul, A.A. Synthesis of P(3HB-co-4HB) copolymer with target-specific 4HB molar fractions using combinations of carbon substrates. J. Chem. Technol. Biotechnol. 2013, 89, 407–418. [Google Scholar] [CrossRef]
- Ramachandran, H.; Amirul, A.A. Yellow-pigmented Cupriavidus sp., a novel bacterium capable of utilizing glycerine pitch for the sustainable production of P(3HB-co-4HB). J. Chem. Technol. Biotechnol. 2013, 88, 1030–1038. [Google Scholar] [CrossRef]
- Volova, T.; Sapozhnikova, K.; Zhila, N. Cupriavidus necator B-10646 growth and polyhydroxyalkanoates production on different plant oils. Int. J. Biol. Macromol. 2020, 164, 121–130. [Google Scholar] [CrossRef] [PubMed]
- Lee, W.H.; Loo, C.Y.; Nomura, C.T.; Sudesh, K. Biosynthesis of polyhydroxyalkanoate copolymers from mixtures of plant oils and 3-hydroxyvalerate precursors. Bioresour. Technol. 2008, 99, 6844–6851. [Google Scholar] [CrossRef] [PubMed]
- Obruca, S.; Marova, I.; Snajdar, O.; Mravcova, L.; Svoboda, Z. Production of poly(3-hydroxybutyrate-co-3-hydroxyvalerate) by Cupriavidus necator from waste rapeseed oil using propanol as a precursor of 3-hydroxyvalerate. Biotechnol. Lett. 2010, 32, 1925–1932. [Google Scholar] [CrossRef]
- Madden, L.A.; Anderson, A.J.; Shah, D.T.; Asrar, J. Chain termination in polyhydroxyalkanoate synthesis: Involvement of exogenous hydroxy-compounds as chain transfer agents. Int. J. Biol. Macromol. 1999, 25, 43–53. [Google Scholar] [CrossRef]
- Tomozawa, S.; Saito, Y.; Nakamura, Y.; Abe, H.; Tsuge, T. Chain transfer reaction catalyzed by various PHA synthases with poly(ethylene glycol) as an exogenous chain transfer agent. Appl. Microbiol. Biotechnol. 2010, 87, 1427–1435. [Google Scholar] [CrossRef]
- Ashby, R.D.; Solaiman, D.K.Y.; Strahan, G.D. Efficient utilization of crude glycerol as fermentation substrate in the synthesis of poly(3-hydroxybutyrate) biopolymers. J. Am. Oil Chem. Soc. 2011, 88, 949–959. [Google Scholar] [CrossRef]
- Mothes, G.; Schnorpfeil, C.; Ackermann, J.U. Production of PHB from crude glycerol. Eng. Life Sci. 2007, 7, 475–479. [Google Scholar] [CrossRef]
- Cavalheiro, J.M.B.T.; de Almeida, M.C.M.D.; Grandfils, C.; da Fonseca, M.M.R. Poly(3-hydroxybutyrate) production by Cupriavidus necator using waste glycerol. Process Biochem. 2009, 44, 509–515. [Google Scholar] [CrossRef]
- Sudesh, K.; Abe, H.; Doi, Y. Synthesis, structure and properties of polyhydroxyalkanoates: Biological polyesters. Prog. Polym. Sci. 2000, 25, 1503–1555. [Google Scholar] [CrossRef]
- Noda, I.; Green, P.R.; Satkowski, M.M.; Schechtman, L.A. Preparation and properties of novel class of polyhydroxyalkanoate copolymers. Biomacromolecules 2005, 6, 580–586. [Google Scholar] [CrossRef]
- Dai, Y.; Yuan, Z.; Jack, K.; Keller, J. Production of targeted poly(3-hydroxyalkanoates) copolymers by glycogen accumulating organisms using acetate as sole carbon source. J. Biotechnol. 2007, 129, 489–497. [Google Scholar] [CrossRef]
- Fukui, T.; Abe, H.; Doi, Y. Engineering of Ralstonia eutropha for production of poly(3-hydroxybutyrate-co-3-hydroxyhexanoate) from fructose and solid-state properties of the copolymer. Biomacromolecules 2002, 3, 618–624. [Google Scholar] [CrossRef] [PubMed]
- Shishatskaya, E.; Nemtsev, I.; Lukyanenko, A.; Vasiliev, A.; Kiselev, E.; Sukovatyi, A.; Volova, T. Polymer films of poly-3-hydroxybutyrate synthesized by Cupriavidus necator from different carbon sources. J. Polym. Environ. 2021, 29, 837–850. [Google Scholar] [CrossRef]
- Shishatskaya, E.I.; Menzyanova, N.G.; Shumilova, A.A. The effect of the chemical composition and structure of polymer films made from resorbable polyhydroxyalkanoates on blood cell response. Int. J. Biol. Macromol. 2019, 141, 765–774. [Google Scholar] [CrossRef] [Green Version]
- Irorere, V.U.; Bagheriasl, S.; Blevins, M.; Kwiecien, I.; Stamboulis, A.; Radecka, I. Electrospun fibres of polyhydroxybutyrate synthesized by Ralstonia eutropha from different carbon sources. Int. J. Polym. Sci. 2014, 2014, 705359. [Google Scholar] [CrossRef] [Green Version]







| No. | Carbon Source | Monomer Composition of PHA, mol.% | Mn, kDa | Mw, kDa | Ð | Cx, % | Tmelt, °C | Tdegr, °C | ||
|---|---|---|---|---|---|---|---|---|---|---|
| 3HB | 3HV | 3HHx | ||||||||
| 1 | CO2 | 100.0 | - | - | 290 ± 15 | 850 ± 25 | 2.9 ± 0.2 | 67 | 174.2 | 280.1 |
| 2 | Fructose | 100.0 | - | - | 136 ± 9 | 499 ± 20 | 3.7 ± 0.4 | 65 | 172.4 | 284.7 |
| 3 | Glucose | 100.0 | - | - | 137 ± 1 | 557 ± 24 | 4.1 ± 0.2 | 64 | 171.6 | 279.9 |
| 4 | Glycerol | 100.0 | - | - | 108 ± 4 | 409 ± 11 | 3.9 ± 0.3 | 69 | 172.8 | 274.9 |
| 5 | Lauric acid | 100.0 | - | - | 162 ± 11 | 510 ± 10 | 3.2 ± 0.2 | 63 | 161.0 170.6 | 279.0 |
| 6 | Myristic acid | 100.0 | - | - | 144 ± 10 | 648 ± 12 | 4.5 ± 0.3 | 65 | 162.1 170.8 | 275.8 |
| 7 | Palmitic acid | 100.0 | - | - | 174 ± 8 | 673 ± 4 | 3.9 ± 0.2 | 72 | 162.9 171.2 | 283.4 |
| 8 | Oleic acid | 99.70 | 0.3 | - | 118 ± 4 | 526 ± 2 | 4.5 ± 0.2 | 66 | 162.7 170.3 | 285.9 |
| 9 | Palm oil | 99.80 | 0.07 | 0.13 | 165 ± 6 | 682 ± 9 | 4.1 ± 0.2 | 66 | 162.5 171.1 | 277.6 |
| 10 | Sunflower seed oil | 99.77 | 0.21 | 0.02 | 124 ± 2 | 479 ± 4 | 3.9 ± 0.1 | 70 | 160.7 169.6 | 267.6 |
| 11 | Siberian oilseed oil | 99.71 | 0.25 | 0.04 | 149 ± 9 | 511 ± 21 | 3.4 ± 0.2 | 65 | 160.5 169.8 | 285.3 |
Publisher’s Note: MDPI stays neutral with regard to jurisdictional claims in published maps and institutional affiliations. |
© 2021 by the authors. Licensee MDPI, Basel, Switzerland. This article is an open access article distributed under the terms and conditions of the Creative Commons Attribution (CC BY) license (https://creativecommons.org/licenses/by/4.0/).
Share and Cite
Zhila, N.O.; Sapozhnikova, K.Y.; Kiselev, E.G.; Vasiliev, A.D.; Nemtsev, I.V.; Shishatskaya, E.I.; Volova, T.G. Properties of Degradable Polyhydroxyalkanoates (PHAs) Synthesized by a New Strain, Cupriavidus necator IBP/SFU-1, from Various Carbon Sources. Polymers 2021, 13, 3142. https://doi.org/10.3390/polym13183142
Zhila NO, Sapozhnikova KY, Kiselev EG, Vasiliev AD, Nemtsev IV, Shishatskaya EI, Volova TG. Properties of Degradable Polyhydroxyalkanoates (PHAs) Synthesized by a New Strain, Cupriavidus necator IBP/SFU-1, from Various Carbon Sources. Polymers. 2021; 13(18):3142. https://doi.org/10.3390/polym13183142
Chicago/Turabian StyleZhila, Natalia O., Kristina Yu. Sapozhnikova, Evgeniy G. Kiselev, Alexander D. Vasiliev, Ivan V. Nemtsev, Ekaterina I. Shishatskaya, and Tatiana G. Volova. 2021. "Properties of Degradable Polyhydroxyalkanoates (PHAs) Synthesized by a New Strain, Cupriavidus necator IBP/SFU-1, from Various Carbon Sources" Polymers 13, no. 18: 3142. https://doi.org/10.3390/polym13183142
APA StyleZhila, N. O., Sapozhnikova, K. Y., Kiselev, E. G., Vasiliev, A. D., Nemtsev, I. V., Shishatskaya, E. I., & Volova, T. G. (2021). Properties of Degradable Polyhydroxyalkanoates (PHAs) Synthesized by a New Strain, Cupriavidus necator IBP/SFU-1, from Various Carbon Sources. Polymers, 13(18), 3142. https://doi.org/10.3390/polym13183142

