A Novel One-Pot Synthesis and Characterization of Silk Fibroin/α-Calcium Sulfate Hemihydrate for Bone Regeneration
Abstract
1. Introduction
2. Materials and Methods
2.1. Synthesis of SF/CS Composites by a One-Pot Process
2.2. Characterization of the SF/CS Composites
2.3. Data Analysis
3. Results and Discussions
3.1. The Crystalline Phase Analysis of SF/CS by X-ray Diffraction
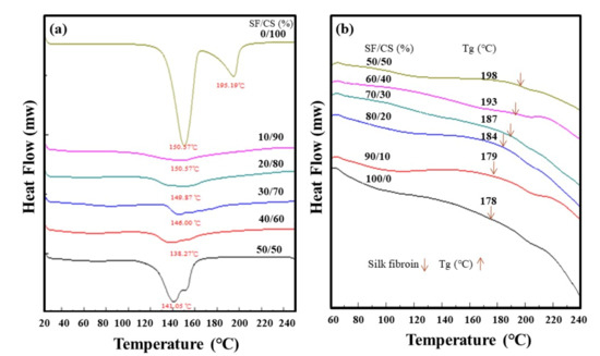
3.2. DSC Thermal Analysis of SF/CS Composites
3.3. FT-IR Analysis of SF/CS Composites
3.4. Microstructural Properties Examined by SEM
3.5. Compressive Strength of the SF/CS Composites
4. Conclusions
Author Contributions
Funding
Institutional Review Board Statement
Informed Consent Statement
Data Availability Statement
Conflicts of Interest
References
- Ghanbari, H.; Vakili-Ghartavol, R. Bone Regeneration: Current Status and Future Prospects. In Advanced Techniques in Bone Regeneration; IntechOpen: London, UK, 2016; pp. 3–25. [Google Scholar]
- Titsinides, S.; Agrogiannis, G.; Karatzas, T. Bone grafting materials in dentoalveolar reconstruction: A comprehensive review. Jpn. Dent. Sci. Rev. 2019, 55, 26–32. [Google Scholar] [CrossRef]
- Aichelmann-Reidy, M.E.; Yukna, R. Bone replacement grafts. The bone substitutes. Dent. Clin. N. Am. 1998, 42, 491–503. [Google Scholar] [PubMed]
- Jain, A.; Chaturvedi, R.; Pahuja, B. Comparative evaluation of the efficacy of calcium sulfate bone grafts in crystalline and nano-crystalline forms in fresh extraction socket sites: A radiographic and histological pilot study. Int. J. Oral Implantol. Clin. Res. 2012, 3, 58–61. [Google Scholar] [CrossRef]
- Ruga, E.; Gallesio, C.; Chiusa, L.; Boffano, P. Clinical and histologic outcomes of calcium sulfate in the treatment of postextraction sockets. J. Craniofac. Surg. 2011, 22, 494–498. [Google Scholar] [CrossRef] [PubMed]
- Jung, H.-M.; Song, G.-A.; Lee, Y.-K.; Baek, J.-H.; Ryoo, H.-M.; Kim, G.-S.; Choung, P.-H.; Woo, K.M. Modulation of the resorption and osteoconductivity of α-calcium sulfate by histone deacetylase inhibitors. Biomaterials 2010, 31, 29–37. [Google Scholar] [CrossRef]
- Bari, S.; Chatterjee, A.; Mishra, S. Ultrasonication assisted and surfactant mediated synergistic approach for synthesis of calcium sulfate nano-dendrites. Ultrason. Sonochem. 2016, 31, 39–50. [Google Scholar] [CrossRef]
- Wang, Y.-W.; Meldrum, F.C. Additives stabilize calcium sulfate hemihydrate (bassanite) in solution. J. Mater. Chem. 2012, 22, 22055–22062. [Google Scholar] [CrossRef]
- Song, X.; Sun, S.; Fan, W.; Yu, H. Preparation of different morphologies of calcium sulfate in organic media. J. Mater. Chem. 2003, 13, 1817–1821. [Google Scholar] [CrossRef]
- Christensen, A.N.; Jensen, T.R.; Nonat, A. A new calcium sulfate hemi-hydrate. Dalton Trans. 2010, 39, 2044–2048. [Google Scholar] [CrossRef]
- Thomas, M.V.; Puleo, D.A. Calcium sulfate: Properties and clinical applications. J. Biomed. Mater. Res. Part B Appl. Biomater. 2009, 88, 597–610. [Google Scholar] [CrossRef]
- Le, N.T.N.; Le, N.T.T.; Nguyen, Q.L.; Pham, T.L.-B.; Nguyen-Le, M.-T.; Nguyen, D.H. A Facile Synthesis Process and Evaluations of α-Calcium Sulfate Hemihydrate for Bone Substitute. Materials 2020, 13, 3099. [Google Scholar] [CrossRef]
- Ricci, J.L.; Weiner, M.J.; Mamidwar, S.; Alexander, H. Calcium sulfate. In Bioceramics and Their Clinical Applications; Kokubo, T., Ed.; Elsevier: Amsterdam, The Netherlands, 2008; pp. 302–325. [Google Scholar]
- Rey, C.; Combes, C.; Drouet, C.; Grossin, D. Bioactive Ceramics: Physical Chemistry. In Comprehensive Biomaterials; Ducheyne, P., Ed.; Elsevier: Oxford, UK, 2011; pp. 187–221. [Google Scholar] [CrossRef]
- Chiang, Y.-C.; Chang, H.-H.; Wong, C.-C.; Wang, Y.-P.; Wang, Y.-L.; Huang, W.-H.; Lin, C.-P. Nanocrystalline calcium sulfate/hydroxyapatite biphasic compound as a TGF-β1/VEGF reservoir for vital pulp therapy. Dent. Mater. 2016, 32, 1197–1208. [Google Scholar] [CrossRef] [PubMed]
- Huang, K.-H.; Wang, C.-Y.; Chen, C.-Y.; Hsu, T.-T.; Lin, C.-P. Incorporation of calcium sulfate dihydrate into a mesoporous calcium silicate/poly-ε-caprolactone scaffold to regulate the release of bone morphogenetic protein-2 and accelerate bone regeneration. Biomedicines 2021, 9, 128. [Google Scholar] [CrossRef]
- Xu, R.; Lian, X.; Shen, Y.; Zhang, Y.; Niu, B.; Zhang, S.; Guo, Q.; Zhang, Q.; Du, J.; Li, F. Calcium sulfate bone cements with nanoscaled silk fibroin as inducer. J. Biomed. Mater. Res. Part B Appl. Biomater. 2019, 107, 2611–2619. [Google Scholar] [CrossRef] [PubMed]
- Baldino, L.; Cardea, S.; Maffulli, N.; Reverchon, E. Regeneration techniques for bone-to-tendon and muscle-to-tendon interfaces reconstruction. Br. Med. Bull. 2016, 117, 25–37. [Google Scholar] [CrossRef]
- Liu, H.-Y.; Liu, X.; Zhang, L.-P.; Ai, H.-J.; Cui, F.-Z. Improvement on the performance of bone regeneration of calcium sulfate hemihydrate by adding mineralized collagen. Tissue Eng. Part A 2010, 16, 2075–2084. [Google Scholar] [CrossRef] [PubMed]
- Rockwood, D.N.; Preda, R.C.; Yucel, T.; Wang, X.; Lovett, M.L.; Kaplan, D.L. Materials fabrication from Bombyx mori silk fibroin. Nat. Protoc. 2011, 6, 1612–1631. [Google Scholar] [CrossRef]
- de Moraes, M.A.; Silva, M.F.; Weska, R.F.; Beppu, M.M. Silk fibroin and sodium alginate blend: Miscibility and physical characteristics. Mater. Sci. Eng. C 2014, 40, 85–91. [Google Scholar] [CrossRef] [PubMed]
- Sofia, S.; McCarthy, M.B.; Gronowicz, G.; Kaplan, D.L. Functionalized silk-based biomaterials for bone formation. J. Biomed. Mater. Res. A 2001, 54, 139–148. [Google Scholar] [CrossRef]
- Wang, Y.; Kim, H.J.; Vunjak-Novakovic, G.; Kaplan, D.L. Stem caell-based tissue engineering with silk biomaterials. Biomaterials 2006, 27, 6064–6082. [Google Scholar] [CrossRef]
- Altman, G.H.; Diaz, F.; Jakuba, C.; Calabro, T.; Horan, R.L.; Chen, J.; Lu, H.; Richmond, J.; Kaplan, D.L. Silk-based biomaterials. Biomaterials 2003, 24, 401–416. [Google Scholar] [CrossRef]
- Huang, C.-S.; Hsieh, S.-C.; Teng, N.-C.; Lee, W.-F.; Negi, P.; Belem, W.F.; Wu, H.-C.; Yang, J.-C. A silk fibroin based hydration accelerator for root canal filling materials. Polymers 2020, 12, 994. [Google Scholar] [CrossRef] [PubMed]
- Lv, Q.; Feng, Q. Preparation of 3-D regenerated fibroin scaffolds with freeze drying method and freeze drying/foaming technique. J. Mater. Sci. Mater. Med. 2006, 17, 1349–1356. [Google Scholar] [CrossRef] [PubMed]
- Baldino, L.; Cardea, S.; Reverchon, E. Loaded silk fibroin aerogel production by supercritical gel drying process for nanomedicine applications. Chem. Eng. Trans. 2016, 49, 343–348. [Google Scholar]
- Mieszawska, A.J.; Fourligas, N.; Georgakoudi, I.; Ouhib, N.M.; Belton, D.J.; Perry, C.C.; Kaplan, D.L. Osteoinductive silk-silica composite biomaterials for bone regeneration. Biomaterials 2010, 31, 8902–8910. [Google Scholar] [CrossRef] [PubMed]
- Baldino, L.; Naddeo, F.; Cardea, S.; Naddeo, A.; Reverchon, E. FEM modeling of the reinforcement mechanism of hydroxyapatite in PLLA scaffolds produced by supercritical drying, for tissue engineering applications. J. Mech. Behav. Biomed. Mater. 2015, 51, 225–236. [Google Scholar] [CrossRef]
- Baldino, L.; Concilio, S.; Cardea, S.; De Marco, I.; Reverchon, E. Complete glutaraldehyde elimination during chitosan hydrogel drying by SC-CO2 processing. J. Supercrit. Fluids J. 2015, 103, 70–76. [Google Scholar] [CrossRef]
- Li, Z.-H.; Ji, S.-C.; Wang, Y.-Z.; Shen, X.-C.; Liang, H. Silk fibroin-based scaffolds for tissue engineering. Front. Mater. Sci. 2013, 7, 237–247. [Google Scholar] [CrossRef]
- Zhang, F.; Zhu, H.; Wang, G.; Xie, J.; Tao, Y.; Xia, W.; Yang, H. Preparation and characterization of a silk fibroin/calcium sulfate bone cement. J. Biomed. Mater. Res. Part B Appl. Biomater. 2018, 106, 512–519. [Google Scholar] [CrossRef]
- Yang, Y.; Ding, X.; Zou, T.; Peng, G.; Liu, H.; Fan, Y. Preparation and characterization of electrospun graphene/silk fibroin conductive fibrous scaffolds. RSC Adv. 2017, 7, 7954–7963. [Google Scholar] [CrossRef]
- Yang, J.-C.; Wu, H.-D.; Teng, N.-C.; Ji, D.-Y.; Lee, S.-Y. Novel attempts for the synthesis of calcium sulfate hydrates in calcium chloride solutions under atmospheric conditions. Ceram. Int. 2012, 38, 381–387. [Google Scholar] [CrossRef]
- Rohl, A.; Gay, D.; Davey, R.; Catlow, C. Interactions at the organic/inorganic interface: Molecular modeling of the interaction between diphosphonates and the surfaces of barite crystals. J. Am. Chem. Soc. 1996, 118, 642–648. [Google Scholar] [CrossRef]
- Kong, B.; Guan, B.; Yates, M.Z.; Wu, Z. Control of α-calcium sulfate hemihydrate morphology using reverse microemulsions. Langmuir 2012, 28, 14137–14142. [Google Scholar] [CrossRef]
- Kundu, B.; Rajkhowa, R.; Kundu, S.C.; Wang, X. Silk fibroin biomaterials for tissue regenerations. Adv. Drug Deliv. Rev. 2013, 65, 457–470. [Google Scholar] [CrossRef]
- Whittaker, J.L.; Choudhury, N.R.; Dutta, N.K.; Zannettino, A. Facile and rapid ruthenium mediated photo-crosslinking of Bombyx mori silk fibroin. J. Mater. Chem. B 2014, 2, 6259–6270. [Google Scholar] [CrossRef] [PubMed]
- Xiao, W.; Liu, W.; Sun, J.; Dan, X.; Wei, D.; Fan, H. Ultrasonication and genipin cross-linking to prepare novel silk fibroin–gelatin composite hydrogel. J. Bioact. Compat. Polym. 2012, 27, 327–341. [Google Scholar] [CrossRef]
- Johari, N.; Moroni, L.; Samadikuchaksaraei, A. Tuning the conformation and mechanical properties of silk fibroin hydrogels. Eur. Polym. J. 2020, 109842. [Google Scholar] [CrossRef]
- Pan, Z.; Lou, Y.; Yang, G.; Ni, X.; Chen, M.; Xu, H.; Miao, X.; Liu, J.; Hu, C.; Huang, Q. Preparation of calcium sulfate dihydrate and calcium sulfate hemihydrate with controllable crystal morphology by using ethanol additive. Ceram. Int. 2013, 39, 5495–5502. [Google Scholar] [CrossRef]
- Hughes, E.; Yanni, T.; Jamshidi, P.; Grover, L. Inorganic cements for biomedical application: Calcium phosphate, calcium sulphate and calcium silicate. Adv. Appl. Ceram. 2015, 114, 65–76. [Google Scholar] [CrossRef]
- Mukherji, A.; Rath, S.K. Calcium sulfate in periodontics: A time tested versatile alloplast. J. Sci. Soc. 2016, 43, 18–23. [Google Scholar] [CrossRef]
- Liu, J.; Zhou, L.; Zhang, L.; Mao, K.; Xu, J.; Shi, T.; Su, X.; Wang, X.; Cui, F.; Liu, Z. Bone morphogenetic Protein-2 derived peptide loaded calcium sulfate hemihydrate scaffold for enhanced bone tissue regeneration. J. Biomater. Tissue Eng. 2015, 5, 864–871. [Google Scholar] [CrossRef]
- Zheng, Y.; Xiong, C.; Zhang, D.; Zhang, L. In vitro bioactivity evaluation of α-calcium sulphate hemihydrate and bioactive glass composites for their potential use in bone regeneration. Bull. Mater. Sci. 2018, 41, 1–8. [Google Scholar] [CrossRef]
- Singh, N.; Middendorf, B. Calcium sulphate hemihydrate hydration leading to gypsum crystallization. Cryst. Growth Charact. 2007, 53, 57–77. [Google Scholar] [CrossRef]
- Zhang, M.; Xie, R.J.; Huang, Y.Y. Effect of calcium sulfate hemihydrate on structure and properties of silk fibroin/calcium phosphate composites. In Advanced Materials Research; Trans Tech Publications Ltd.: Bäch, Switzerland, 2012; Volume 550, pp. 1139–1143. [Google Scholar]
- Cao, C.; Li, H.; Li, J.; Liu, C.; Yang, H.; Li, B. Mechanical reinforcement of injectable calcium phosphate cement/silk fibroin (SF) composite by mineralized SF. Ceram. Int. 2014, 40, 13987–13993. [Google Scholar] [CrossRef]
- Wang, P.; Pi, B.; Wang, J.-N.; Zhu, X.-S.; Yang, H.-L. Preparation and properties of calcium sulfate bone cement incorporated with silk fibroin and Sema3A-loaded chitosan microspheres. Front. Mater. Sci. 2015, 9, 51–65. [Google Scholar] [CrossRef]
- Su, D.; Yao, M.; Liu, J.; Zhong, Y.; Chen, X.; Shao, Z. Enhancing mechanical properties of silk fibroin hydrogel through restricting the growth of β-sheet domains. ACS Appl. Mater. Interfaces 2017, 9, 17489–17498. [Google Scholar] [CrossRef]
- Fujishiro, T.; Bauer, T.W.; Kobayashi, N.; Kobayashi, H.; Sunwoo, M.H.; Seim III, H.B.; Turner, A.S. Histological evaluation of an impacted bone graft substitute composed of a combination of mineralized and demineralized allograft in a sheep vertebral bone defect. J. Biomed. Mater. Res. A 2007, 82, 538–544. [Google Scholar] [CrossRef] [PubMed]
- Robinson, D.; Alk, D.; Sandbank, J.; Farber, R.; Halperin, N. Inflammatory reactions associated with a calcium sulfate bone substitute. Ann. Transplant. 1999, 4, 91–97. [Google Scholar]
- Wang, G.; Yang, H.; Li, M.; Lu, S.; Chen, X.; Cai, X. The use of silk fibroin/hydroxyapatite composite co-cultured with rabbit bone-marrow stromal cells in the healing of a segmental bone defect. J. Bone Jt. Surg. 2010, 92, 320–325. [Google Scholar] [CrossRef]
- Bandyopadhyay, A.; Chowdhury, S.K.; Dey, S.; Moses, J.C.; Mandal, B.B. Silk: A promising biomaterial opening new vistas towards affordable healthcare solutions. J. Indian Inst. Sci. 2019, 99, 445–487. [Google Scholar] [CrossRef]





| SF/CaSO4 | 0/100 | 10/90 | 20/80 | 30/70 | 40/60 | 50/50 |
|---|---|---|---|---|---|---|
| Target SF conc. (%) | 0 | 4 | 9 | 14 | 10 | 10 |
| Na2SO4 (g) | 41 | 39 | 37 | 35 | 16 | 10 |
| CaSO4 (g) | 39 | 38 | 36 | 34 | 15 | 10 |
| SF/CS (%) | β-Crystal | Random Coil | Ratio of β-Crystal/Random Coil |
|---|---|---|---|
| 10/90 | 0.08 | 0.07 | 1.14 |
| 20/80 | 0.13 | 0.07 | 1.86 |
| 30/70 | 0.14 | 0.10 | 1.40 |
| 40/60 | 0.15 | 0.10 | 1.50 |
| 50/50 | 0.16 | 0.09 | 1.77 |
| 100/0 | 0.03 | 0.04 | 0.75 |
Publisher’s Note: MDPI stays neutral with regard to jurisdictional claims in published maps and institutional affiliations. |
© 2021 by the authors. Licensee MDPI, Basel, Switzerland. This article is an open access article distributed under the terms and conditions of the Creative Commons Attribution (CC BY) license (https://creativecommons.org/licenses/by/4.0/).
Share and Cite
Pandey, A.; Yang, T.-S.; Cheng, S.-L.; Huang, C.-S.; Brangule, A.; Kareiva, A.; Yang, J.-C. A Novel One-Pot Synthesis and Characterization of Silk Fibroin/α-Calcium Sulfate Hemihydrate for Bone Regeneration. Polymers 2021, 13, 1996. https://doi.org/10.3390/polym13121996
Pandey A, Yang T-S, Cheng S-L, Huang C-S, Brangule A, Kareiva A, Yang J-C. A Novel One-Pot Synthesis and Characterization of Silk Fibroin/α-Calcium Sulfate Hemihydrate for Bone Regeneration. Polymers. 2021; 13(12):1996. https://doi.org/10.3390/polym13121996
Chicago/Turabian StylePandey, Aditi, Tzu-Sen Yang, Shu-Lien Cheng, Ching-Shuan Huang, Agnese Brangule, Aivaras Kareiva, and Jen-Chang Yang. 2021. "A Novel One-Pot Synthesis and Characterization of Silk Fibroin/α-Calcium Sulfate Hemihydrate for Bone Regeneration" Polymers 13, no. 12: 1996. https://doi.org/10.3390/polym13121996
APA StylePandey, A., Yang, T.-S., Cheng, S.-L., Huang, C.-S., Brangule, A., Kareiva, A., & Yang, J.-C. (2021). A Novel One-Pot Synthesis and Characterization of Silk Fibroin/α-Calcium Sulfate Hemihydrate for Bone Regeneration. Polymers, 13(12), 1996. https://doi.org/10.3390/polym13121996

