Recent Advances in Thermoresponsive OEGylated Poly(amino acid)s
Abstract
1. Introduction
2. Synthetic Strategies of OEGylated Poly(amino acid)s
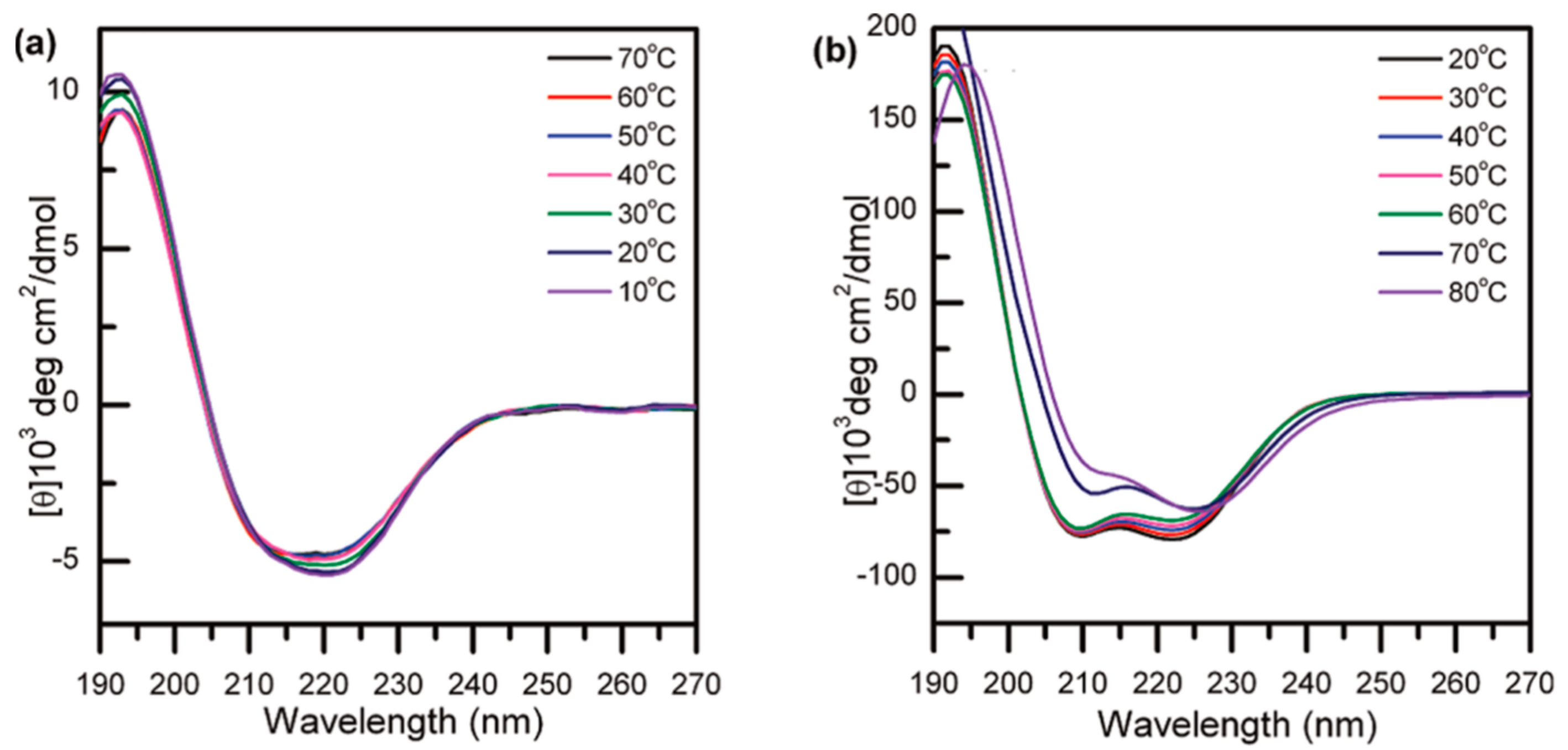
2.1. Thermoresponsive OEGylated Poly(amino acid)s from ROP of NCA Monomers
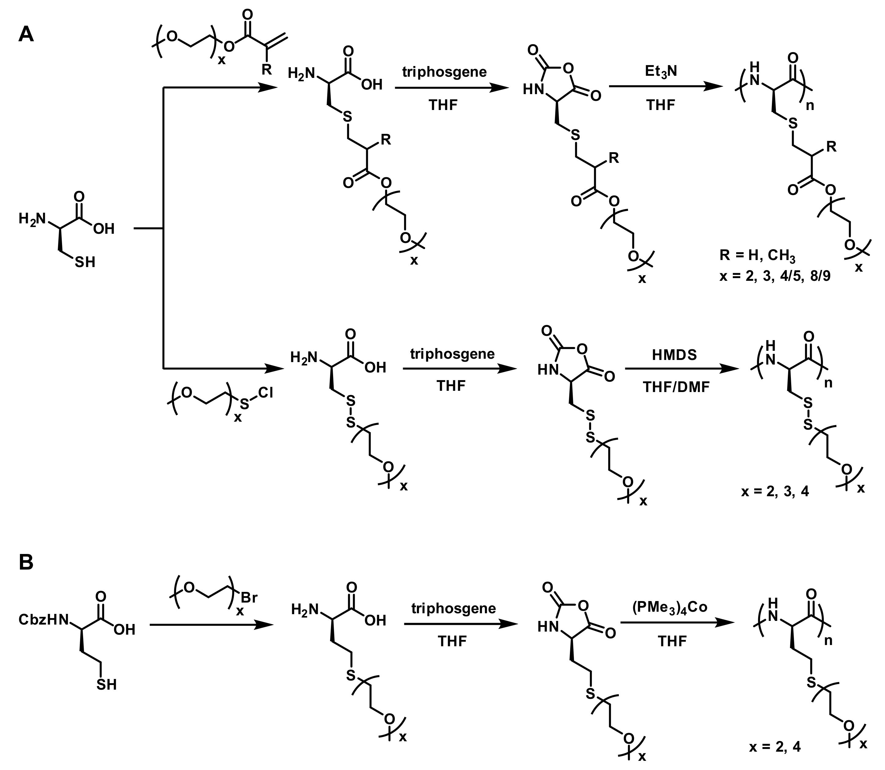
2.2. Thermoresponsive OEGylated Poly(amino acid)s from Post-Polymerization Modification
2.3. Thermoresponsive OEGylated Poly(amino acid)s from Ugi Multicomponent Polymerization
3. Applications
4. Conclusions and Outlook
Author Contributions
Funding
Institutional Review Board Statement
Informed Consent Statement
Data Availability Statement
Conflicts of Interest
References
- Mura, S.; Nicolas, J.; Couvreur, P. Stimuli-responsive nanocarriers for drug delivery. Nat. Mater. 2013, 12, 991–1003. [Google Scholar] [CrossRef] [PubMed]
- Stuart, M.A.C.; Huck, W.T.S.; Genzer, J.; Müller, M.; Ober, C.; Stamm, M.; Sukhorukov, G.B.; Szleifer, I.; Tsukruk, V.V.; Urban, M.; et al. Emerging applications of stimuli-responsive polymer materials. Nat. Mater. 2010, 9, 101–113. [Google Scholar] [CrossRef] [PubMed]
- Hoffman, A.S. Stimuli-responsive polymers: Biomedical applications and challenges for clinical translation. Adv. Drug Deliv. Rev. 2013, 65, 10–16. [Google Scholar] [CrossRef] [PubMed]
- Nath, N.; Chilkoti, A. Creating “Smart” Surfaces Using Stimuli Responsive Polymers. Adv. Mater. 2002, 14, 1243–1247. [Google Scholar] [CrossRef]
- Zhao, C.; Nie, S.; Tang, M.; Sun, S. Polymeric pH-sensitive membranes—A review. Prog. Polym. Sci. 2011, 36, 1499–1520. [Google Scholar] [CrossRef]
- Dong, J.; Wang, Y.; Zhang, J.; Zhan, X.; Zhu, S.; Yang, H.; Wang, G. Multiple stimuli-responsive polymeric micelles for controlled release. Soft Matter 2013, 9, 370–373. [Google Scholar] [CrossRef]
- Schmaljohann, D. Thermo-and pH-responsive polymers in drug delivery. Adv. Drug Deliv. Rev. 2006, 58, 1655–1670. [Google Scholar] [CrossRef]
- Bawa, P.; Pillay, V.; Choonara, Y.E.; Du Toit, L.C. Stimuli-responsive polymers and their applications in drug delivery. Biomed. Mater. 2009, 4, 022001. [Google Scholar] [CrossRef]
- Gil, E.S.; Hudson, S. Stimuli-reponsive polymers and their bioconjugates. Prog. Polym. Sci. 2004, 29, 1173–1222. [Google Scholar] [CrossRef]
- Wang, S.; Liu, Q.; Li, L.; Urban, M.W. Recent Advances in Stimuli-Responsive Commodity Polymers. Macromol. Rapid Commun. 2021, 2100054. [Google Scholar] [CrossRef]
- Wang, Y.; Weng, J.; Wen, X.; Hu, Y.; Ye, D. Recent advances in stimuli-responsive in situ self-assembly of small molecule probes for in vivo imaging of enzymatic activity. Biomater. Sci. 2021, 9, 406–421. [Google Scholar] [CrossRef]
- Li, L.; Yang, Z.; Chen, X. Recent Advances in Stimuli-Responsive Platforms for Cancer Immunotherapy. Accounts Chem. Res. 2020, 53, 2044–2054. [Google Scholar] [CrossRef]
- Pasparakis, G.; Tsitsilianis, C. LCST polymers: Thermoresponsive nanostructured assemblies towards bioapplications. Polymer 2020, 211, 123146. [Google Scholar] [CrossRef]
- Vanparijs, N.; Nuhn, L.; De Geest, B.G. Transiently thermoresponsive polymers and their applications in biomedicine. Chem. Soc. Rev. 2017, 46, 1193–1239. [Google Scholar] [CrossRef]
- Hogan, K.J.; Mikos, A.G. Biodegradable thermoresponsive polymers: Applications in drug delivery and tissue engineering. Polymer 2020, 211, 123063. [Google Scholar] [CrossRef]
- Zhu, Y.; Batchelor, R.; Lowe, A.B.; Roth, P.J. Design of Thermoresponsive Polymers with Aqueous LCST, UCST, or Both: Modification of a Reactive Poly(2-vinyl-4,4-dimethylazlactone) Scaffold. Macromolecules 2016, 49, 672–680. [Google Scholar] [CrossRef]
- Schild, H.G. Poly(N-isopropylacrylamide): Experiment, theory and application. Prog. Polym. Sci. 1992, 17, 163–249. [Google Scholar] [CrossRef]
- Ko, C.-H.; Claude, K.-L.; Niebuur, B.-J.; Jung, F.A.; Kang, J.-J.; Schanzenbach, D.; Frielinghaus, H.; Barnsley, L.C.; Wu, B.; Pipich, V.; et al. Temperature-Dependent Phase Behavior of the Thermoresponsive Polymer Poly(N-isopropylmethacrylamide) in an Aqueous Solution. Macromolecules 2020, 53, 6816–6827. [Google Scholar] [CrossRef]
- Lutz, J.-F.; Akdemir, Ö.; Hoth, A. Point by Point Comparison of Two Thermosensitive Polymers Exhibiting a Similar LCST: Is the Age of Poly(NIPAM) Over? J. Am. Chem. Soc. 2006, 128, 13046–13047. [Google Scholar] [CrossRef]
- Lutz, J.-F.; Andrieu, J.; Üzgün, S.; Rudolph, C.; Agarwal, S. Biocompatible, Thermoresponsive, and Biodegradable: Simple Preparation of “All-in-One” Biorelevant Polymers. Macromolecules 2007, 40, 8540–8543. [Google Scholar] [CrossRef]
- Qiao, Z.-Y.; Du, F.-S.; Zhang, R.; Liang, D.-H.; Li, Z.-C. Biocompatible Thermoresponsive Polymers with Pendent Oligo(ethylene glycol) Chains and Cyclic Ortho Ester Groups. Macromolecules 2010, 43, 6485–6494. [Google Scholar] [CrossRef]
- Roth, P.J.; Jochum, F.D.; Theato, P. UCST-type behavior of poly[oligo(ethylene glycol) methyl ether methacrylate] (POEGMA) in aliphatic alcohols: Solvent, co-solvent, molecular weight, and end group dependences. Soft Matter 2011, 7, 2484–2492. [Google Scholar] [CrossRef]
- Chua, G.B.H.; Roth, P.J.; Duong, H.T.T.; Davis, T.P.; Lowe, A.B. Synthesis and Thermoresponsive Solution Properties of Poly[oligo (ethylene glycol) (meth) acrylamide]s: Biocompatible PEG Analogues. Macromolecules 2012, 45, 1362–1374. [Google Scholar] [CrossRef]
- Vancoillie, G.; Frank, D.; Hoogenboom, R. Thermoresponsive poly (oligo ethylene glycol acrylates). Prog. Polym. Sci. 2014, 39, 1074–1095. [Google Scholar] [CrossRef]
- Jia, F.; Lu, X.; Tan, X.; Wang, D.; Cao, X.; Zhang, K. Effect of PEG Architecture on the Hybridization Thermodynamics and Protein Accessibility of PEGylated Oligonucleotides. Angew. Chem. Int. Ed. 2017, 56, 1239–1243. [Google Scholar] [CrossRef]
- Harris, J.M.; Chess, R.B. Effect of pegylation on pharmaceuticals. Nat. Rev. Drug Discov. 2003, 2, 214–221. [Google Scholar] [CrossRef]
- Wang, S.; He, W.; Xiao, C.; Tao, Y.; Wang, X. Synthesis of Y-Shaped OEGylated Poly(amino acid)s: The Impact of OEG Architecture. Biomacromolecules 2019, 20, 1655–1666. [Google Scholar] [CrossRef]
- Kramer, J.R.; Deming, T.J. Multimodal Switching of Conformation and Solubility in Homocysteine Derived Polypeptides. J. Am. Chem. Soc. 2014, 136, 5547–5550. [Google Scholar] [CrossRef]
- Lu, H.; Wang, J.; Bai, Y.; Lang, J.W.; Liu, S.; Lin, Y.; Cheng, J. Ionic polypeptides with unusual helical stability. Nat. Commun. 2011, 2, 206. [Google Scholar] [CrossRef]
- Yu, M.; Nowak, A.P.; Deming, T.J.; Pochan, D.J. Methylated Mono-and Diethyleneglycol Functionalized Polylysines: Nonionic, α-Helical, Water-Soluble Polypeptides. J. Am. Chem. Soc. 1999, 121, 12210–12211. [Google Scholar] [CrossRef]
- Sternhagen, G.L.; Gupta, S.; Zhang, Y.; John, V.; Schneider, G.J.; Zhang, D. Solution Self-Assemblies of Sequence-Defined Ionic Peptoid Block Copolymers. J. Am. Chem. Soc. 2018, 140, 4100–4109. [Google Scholar] [CrossRef]
- Hwang, J.; Deming, T.J. Methylated Mono- and Di(ethylene glycol)-Functionalized β-Sheet Forming Polypeptides. Biomacromolecules 2000, 2, 17–21. [Google Scholar] [CrossRef]
- Cao, J.; Hu, P.; Lu, L.; Chan, B.A.; Luo, B.-H.; Zhang, D. Non-ionic water-soluble “clickable” [small alpha]-helical polypeptides: Synthesis, characterization and side chain modification. Polym. Chem. 2015, 6, 1226–1229. [Google Scholar] [CrossRef]
- Chen, C.; Wang, Z.; Li, Z. Thermoresponsive Polypeptides from Pegylated Poly-l-glutamates. Biomacromolecules 2011, 12, 2859–2863. [Google Scholar] [CrossRef]
- Fu, X.; Shen, Y.; Fu, W.; Li, Z. Thermoresponsive Oligo(ethylene glycol) Functionalized Poly-l-cysteine. Macromolecules 2013, 46, 3753–3760. [Google Scholar] [CrossRef]
- Ma, Y.; Fu, X.; Shen, Y.; Fu, W.; Li, Z. Irreversible Low Critical Solution Temperature Behaviors of Thermal-responsive OEGylated Poly(l-cysteine) Containing Disulfide Bonds. Macromolecules 2014, 47, 4684–4689. [Google Scholar] [CrossRef]
- Cheng, Y.; He, C.; Xiao, C.; Ding, J.; Zhuang, X.; Chen, X. Versatile synthesis of temperature-sensitive polypeptides by click grafting of oligo(ethylene glycol). Polym. Chem. 2011, 2, 2627–2634. [Google Scholar] [CrossRef]
- Ding, J.; Xiao, C.; Zhao, L.; Cheng, Y.; Ma, L.; Tang, Z.; Zhuang, X.; Chen, X. Poly(l-glutamic acid) grafted with oligo(2-(2-(2-methoxyethoxy)ethoxy)ethyl methacrylate): Thermal phase transition, secondary structure, and self-assembly. J. Polym. Sci. Part A Polym. Chem. 2011, 49, 2665–2676. [Google Scholar] [CrossRef]
- Tao, Y.; Wang, S.; Zhang, X.; Wang, Z.; Tao, Y.; Wang, X. Synthesis and Properties of Alternating Polypeptoids and Polyampholytes as Protein-Resistant Polymers. Biomacromolecules 2018, 19, 936–942. [Google Scholar] [CrossRef]
- Wang, S.; Tao, Y.; Wang, J.; Tao, Y.; Wang, X. A versatile strategy for the synthesis of sequence-defined peptoids with side-chain and backbone diversity via amino acid building blocks. Chem. Sci. 2018, 10, 1531–1538. [Google Scholar] [CrossRef]
- Brauch, S.; van Berkel, S.S.; Westermann, B. Higher-order multicomponent reactions: Beyond four reactants. Chem. Soc. Rev. 2013, 42, 4948–4962. [Google Scholar] [CrossRef]
- Ruijter, E.; Scheffelaar, R.; Orru, R.V.A. Multicomponent Reaction Design in the Quest for Molecular Complexity and Diversity. Angew. Chem. Int. Ed. 2011, 50, 6234–6246. [Google Scholar] [CrossRef]
- Slobbe, P.; Ruijter, E.; Orru, R.V.A. Recent applications of multicomponent reactions in medicinal chemistry. MedChemComm 2012, 3, 1189–1218. [Google Scholar] [CrossRef]
- Dömling, A.; Wang, W.; Wang, K. Chemistry and Biology of Multicomponent Reactions. Chem. Rev. 2012, 112, 3083–3135. [Google Scholar] [CrossRef]
- Sehlinger, A.; Dannecker, P.-K.; Kreye, O.; Meier, M.A.R. Diversely Substituted Polyamides: Macromolecular Design Using the Ugi Four-Component Reaction. Macromolecules 2014, 47, 2774–2783. [Google Scholar] [CrossRef]
- Zhang, X.; Wang, S.; Liu, J.; Xie, Z.; Luan, S.; Xiao, C.; Tao, Y.; Wang, X. Ugi Reaction of Natural Amino Acids: A General Route toward Facile Synthesis of Polypeptoids for Bioapplications. ACS Macro Lett. 2016, 5, 1049–1054. [Google Scholar] [CrossRef]
- Aliferis, T.; Iatrou, H.; Hadjichristidis, N. Living Polypeptides. Biomacromolecules 2004, 5, 1653–1656. [Google Scholar] [CrossRef]
- Lu, H.; Cheng, J. Hexamethyldisilazane-Mediated Controlled Polymerization of α-Amino Acid N-Carboxyanhydrides. J. Am. Chem. Soc. 2007, 129, 14114–14115. [Google Scholar] [CrossRef]
- Deming, T.J. Transition Metal−Amine Initiators for Preparation of Well-Defined Poly(γ-benzyl l-glutamate). J. Am. Chem. Soc. 1997, 119, 2759–2760. [Google Scholar] [CrossRef]
- Deming, T.J. Facile synthesis of block copolypeptides of defined architecture. Nature 1997, 390, 386–389. [Google Scholar] [CrossRef]
- Deming, T.J. Amino Acid Derived Nickelacycles: Intermediates in Nickel-Mediated Polypeptide Synthesis. J. Am. Chem. Soc. 1998, 120, 4240–4241. [Google Scholar] [CrossRef]
- Berger, A.; Noguchi, J.; Katchalski, E. Poly-l-cysteine. J. Am. Chem. Soc. 1956, 78, 4483–4488. [Google Scholar] [CrossRef]
- Kramer, J.R.; Deming, T.J. Glycopolypeptides via Living Polymerization of Glycosylated-l-lysine N-Carboxyanhydrides. J. Am. Chem. Soc. 2010, 132, 15068–15071. [Google Scholar] [CrossRef] [PubMed]
- Zhang, Y.; Furyk, S.; Bergbreiter, D.E.; Cremer, P.S. Specific Ion Effects on the Water Solubility of Macromolecules: PNIPAM and the Hofmeister Series. J. Am. Chem. Soc. 2005, 127, 14505–14510. [Google Scholar] [CrossRef]
- Deyerle, B.A.; Zhang, Y. Effects of Hofmeister Anions on the Aggregation Behavior of PEO–PPO–PEO Triblock Copolymers. Langmuir 2011, 27, 9203–9210. [Google Scholar] [CrossRef]
- Navon, Y.; Zhou, M.; Matson, J.B.; Bitton, R. Dendritic Elastin-like Peptides: The Effect of Branching on Thermoresponsiveness. Biomacromolecules 2016, 17, 262–270. [Google Scholar] [CrossRef]
- Ugi, I.; Steinbrückner, C. Über ein neues Kondensations-Prinzip. Angew. Chem. 1960, 72, 267–268. [Google Scholar] [CrossRef]
- Ugi, I. From Isocyanides via Four-Component Condensations to Antibiotic Syntheses. Angew. Chem. Int. Ed. Engl. 1982, 21, 810–819. [Google Scholar] [CrossRef]
- Tao, Y.; Tao, Y. Ugi Reaction of Amino Acids: From Facile Synthesis of Polypeptoids to Sequence-Defined Macromolecules. Macromol. Rapid Commun. 2020, 42, 2000515. [Google Scholar]
- Tao, Y.; Wang, Z.; Tao, Y. Polypeptoids synthesis based on Ugi reaction: Advances and perspectives. Biopolymers 2019, 110, e23288. [Google Scholar] [CrossRef]
- Lutz, J.-F.; Lehn, J.-M.; Meijer, E.W.; Matyjaszewski, K. From precision polymers to complex materials and systems. Nat. Rev. Mater. 2016, 1, 16024. [Google Scholar] [CrossRef]
- Stross, A.E.; Iadevaia, G.; Núñez-Villanueva, D.; Hunter, C.A. Sequence-Selective Formation of Synthetic H-Bonded Duplexes. J. Am. Chem. Soc. 2017, 139, 12655–12663. [Google Scholar] [CrossRef]
- Badi, N.; Lutz, J.-F. Sequence control in polymer synthesis. Chem. Soc. Rev. 2009, 38, 3383–3390. [Google Scholar] [CrossRef]
- Ouchi, M.; Badi, N.; Lutz, J.-F.; Sawamoto, M. Single-chain technology using discrete synthetic macromolecules. Nat. Chem. 2011, 3, 917–924. [Google Scholar] [CrossRef]
- Lutz, J.-F.; Ouchi, M.; Liu, D.R.; Sawamoto, M. Sequence-Controlled Polymers. Science 2013, 341, 628–637. [Google Scholar] [CrossRef]
- Lau, K.H.A. Peptoids for biomaterials science. Biomater. Sci. 2014, 2, 627–633. [Google Scholar] [CrossRef]
- Hu, J.; Liu, S. Responsive Polymers for Detection and Sensing Applications: Current Status and Future Developments. Macromolecules 2010, 43, 8315–8330. [Google Scholar] [CrossRef]
- Nolan, C.M.; Gelbaum, L.T.; Lyon, L.A. H NMR Investigation of Thermally Triggered Insulin Release from Poly(N-isopropylacrylamide) Microgels. Biomacromolecules 2006, 7, 2918–2922. [Google Scholar] [CrossRef]
- Lu, D.; Wang, H.; Li, T.E.; Li, Y.; Wang, X.; Niu, P.; Guo, H.; Sun, S.; Wang, X.; Guan, X.; et al. Versatile Surgical Adhesive and Hemostatic Materials: Synthesis, Properties, and Application of Thermoresponsive Polypeptides. Chem. Mater. 2017, 29, 5493–5503. [Google Scholar] [CrossRef]
- Xuan, S.; Lee, C.-U.; Chen, C.; Doyle, A.B.; Zhang, Y.; Guo, L.; John, V.T.; Hayes, D.; Zhang, D. Thermoreversible and Injectable ABC Polypeptoid Hydrogels: Controlling the Hydrogel Properties through Molecular Design. Chem. Mater. 2015, 28, 727–737. [Google Scholar] [CrossRef]




















| Entry | Polymer Structure | Amino Acids | Synthetic Method | Tcp (°C) | Secondary Structure | Ref. |
|---|---|---|---|---|---|---|
| 1 | ![]() | l-Glutamic acid | ROP | x = 2, Tcp = 32 °C x = 3, Tcp = 57 °C | x = 2, 100% α-helix in freshly prepared aqueous solution x = 3, 100% helix | [34] |
| 2 | ![]() | l-Cysteine | ROP | R = CH3, x = 3, Tcp = 50 °C x = 4, Tcp = 65 °C R = H, x = 3, Tcp = 51 °C | α-helix, β-sheet, and random coil | [35] |
| 3 | ![]() | l-Cysteine | ROP | x = 3, Tcp = 34 °C x = 4, Tcp = 45 °C | α-helix, β-sheet, and random coil | [36] |
| 4 | ![]() | l-Homocysteine | ROP | x = 4, Tcp = 40 °C | >95% α-helix | [28] |
| 5 | ![]() | l-Glutamic acid | ROP | x = 4, Tcp = 25 °C x = 6, Tcp = 36 °C x = 8, Tcp = 52 °C | x = 4, 69% α-helix x = 6, 29% α-helix x = 8, 17% α-helix | [27] |
| 6 | ![]() | l-Glutamic acid | ROP | x = 2, Tcp = 17 °C x = 3, Tcp = 34 °C x = 4, Tcp = 60 °C | x = 2, 69% α-helix x = 3, 37% α-helix x = 4, 30% α-helix | [27] |
| 7 | ![]() | l-Glutamic acid | Post-polymerization modification | x = 2 or 3, Tcp = 22.3–74.1 °C by varying the molecular weight | 100% α-helix | [37] |
| 8 | ![]() | l-Glutamic acid | Post-polymerization modification | x = 3, Tcp = 45.7–51.3 °C by varying the molecular weight | 78.4–100% α-helix | [38] |
| 9 | ![]() | l-Glutamic acid | Post-polymerization modification | x = 3, Tcp = 44.1–62.1 °C by varying the molecular weight and monomer ratio | 0–65.1% α-helix | [38] |
| 10 | ![]() | l-Lysine and l-Glutamic acid | Ugi multicomponent polymerization | x = 3, Tcp = 27 °C x = 4, Tcp = 37 °C | random coil | [39] |
| 11 | ![]() | Glycine | Ugi multicomponent polymerization | x = 4, Tcp = 12–17.5 °C with difference sequence | random coil | [40] |
Publisher’s Note: MDPI stays neutral with regard to jurisdictional claims in published maps and institutional affiliations. |
© 2021 by the authors. Licensee MDPI, Basel, Switzerland. This article is an open access article distributed under the terms and conditions of the Creative Commons Attribution (CC BY) license (https://creativecommons.org/licenses/by/4.0/).
Share and Cite
Geng, C.; Wang, S.; Wang, H. Recent Advances in Thermoresponsive OEGylated Poly(amino acid)s. Polymers 2021, 13, 1813. https://doi.org/10.3390/polym13111813
Geng C, Wang S, Wang H. Recent Advances in Thermoresponsive OEGylated Poly(amino acid)s. Polymers. 2021; 13(11):1813. https://doi.org/10.3390/polym13111813
Chicago/Turabian StyleGeng, Chao, Shixue Wang, and Hongda Wang. 2021. "Recent Advances in Thermoresponsive OEGylated Poly(amino acid)s" Polymers 13, no. 11: 1813. https://doi.org/10.3390/polym13111813
APA StyleGeng, C., Wang, S., & Wang, H. (2021). Recent Advances in Thermoresponsive OEGylated Poly(amino acid)s. Polymers, 13(11), 1813. https://doi.org/10.3390/polym13111813











