Thermoreversible Polymer Gels in DMF Formed from Charge- and Crystallization-Induced Assembly
Abstract
1. Introduction
2. Materials and Methods
2.1. Materials
2.2. Synthesis
2.3. Characterization
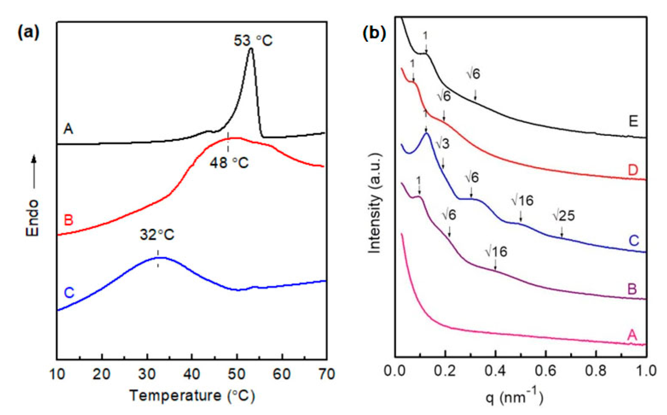
3. Results
4. Conclusions
Supplementary Materials
Author Contributions
Funding
Acknowledgments
Conflicts of Interest
References
- Weyandt, E.; Ter Huurne, G.M.; Vantomme, G.; Markvoort, A.J.; Palmans, A.R.A.; Meijer, E.W. Photodynamic Control of the Chain Length in Supramolecular Polymers: Switching an Intercalator into a Chain Capper. J. Am. Chem. Soc. 2020, 142, 6295–6303. [Google Scholar] [CrossRef] [PubMed]
- Ni, Y.; Li, X.; Hu, J.; Huang, S.; Yu, H. Supramolecular Liquid-Crystalline Polymer Organogel: Fabrication, Multiresponsiveness, and Holographic Switching Properties. Chem. Mater. 2019, 31, 3388–3394. [Google Scholar] [CrossRef]
- Smith, N.L.; Coukouma, A.E.; Wilson, D.C.; Ho, B.; Gray, V.; Asher, S.A. Stimuli-Responsive Pure Protein Organogel Sensors and Biocatalytic Materials. ACS Appl. Mater. Interfaces 2020, 12, 238–249. [Google Scholar] [CrossRef] [PubMed]
- Wang, H.-Z.; Chow, H.-F. A photo-responsive poly(amide-triazole) physical organogel bearing azobenzene residues in the main chain. Chem. Commun. 2018, 54, 8391–8394. [Google Scholar] [CrossRef] [PubMed]
- Suzuki, M.; Hanabusa, K. Polymer organogelators that make supramolecular organogels through physical cross-linking and self-assembly. Chem. Soc. Rev. 2010, 39, 455–463. [Google Scholar] [CrossRef] [PubMed]
- Daniel, C.; Alfano, D.; Guerra, G.; Musto, P. Physical Gelation of Syndiotactic Polystyrene in the Presence of Large Molar Volume Solvents Induced by Volatile Guests of Clathrate Phases. Macromolecules 2003, 36, 1713–1716. [Google Scholar] [CrossRef]
- Saiani, A.; Guenet, J.-M. On the Helical Form in Syndiotactic Poly(methyl methacrylate) Thermoreversible Gels As Revealed by Small-Angle Neutron Scattering. Macromolecules 1997, 30, 966–972. [Google Scholar] [CrossRef]
- Kim, K.T.; Park, C.; Vandermeulen, G.W.M.; Rider, D.A.; Kim, C.; Winnik, M.A.; Manners, I. Gelation of Helical Polypeptide-Random Coil Diblock Copolymers by a Nanoribbon Mechanism. Angew. Chem. 2005, 117, 8178–8182. [Google Scholar] [CrossRef]
- Noro, A.; Hayashi, M.; Ohshika, A.; Matsushita, Y. Simple preparation of supramolecular polymer gels via hydrogen bonding by blending two liquid polymers. Soft Matter 2011, 7, 1667–1670. [Google Scholar] [CrossRef]
- Carretti, E.; Dei, L.; Baglioni, P.; Weiss, R.G. Synthesis and Characterization of Gels from Polyallylamine and Carbon Dioxide as Gellant. J. Am. Chem. Soc. 2003, 125, 5121–5129. [Google Scholar] [CrossRef]
- Thibault, R.J.; Hotchkiss, P.J.; Gray, M.; Rotello, V.M. Thermally Reversible Formation of Microspheres through Non-Covalent Polymer Cross-Linking. J. Am. Chem. Soc. 2003, 125, 11249–11252. [Google Scholar] [CrossRef] [PubMed]
- Nguyen-Misra, M.; Mattice, W.L. Micellization and Gelation of Symmetric Triblock Copolymers with Insoluble End Blocks. Macromolecules 1995, 28, 1444–1457. [Google Scholar] [CrossRef]
- Lin, X.; Grinstaff, M.W. Ionic Supramolecular Assemblies. Isr. J. Chem. 2013, 53, 498–510. [Google Scholar] [CrossRef]
- Wang, Q.; Mynar, J.L.; Yoshida, M.; Lee, E.; Lee, M.; Okuro, K.; Kinbara, K.; Aida, T. High-water-content mouldable hydrogels by mixing clay and a dendritic molecular binder. Nature 2010, 463, 339–343. [Google Scholar] [CrossRef] [PubMed]
- Noro, A.; Ishihara, K.; Matsushita, Y. Nanophase-Separated Supramolecular Assemblies of Two Functionalized Polymers via Acid–Base Complexation. Macromolecules 2011, 44, 6241–6244. [Google Scholar] [CrossRef]
- Sun, T.L.; Kurokawa, T.; Kuroda, S.; Ihsan, A.B.; Akasaki, T.; Sato, K.; Haque, M.A.; Nakajima, T.; Gong, J.P. Physical hydrogels composed of polyampholytes demonstrate high toughness and viscoelasticity. Nat. Mater. 2013, 12, 932–937. [Google Scholar] [CrossRef]
- Liu, Y.; Lloyd, A.; Guzman, G.; Cavicchi, K.A. Polyelectrolyte–Surfactant Complexes as Thermoreversible Organogelators. Macromolecules 2011, 44, 8622–8630. [Google Scholar] [CrossRef]
- Godeau, G.; Navailles, L.; Nallet, F.; Lin, X.; McIntosh, T.J.; Grinstaff, M.W. From Brittle to Pliant Viscoelastic Materials with Solid State Linear Polyphosphonium–Carboxylate Assemblies. Macromolecules 2012, 45, 2509–2513. [Google Scholar] [CrossRef]
- Zhang, T.; Guo, Q. A new route to prepare multiresponsive organogels from a block ionomer via charge-driven assembly. Chem. Commun. 2013, 49, 5076–5078. [Google Scholar] [CrossRef]
- Zhang, T.; Guo, Q. High internal phase emulsion (HIPE) organogels prepared from charge-driven assembled polymer organogels. Chem. Commun. 2013, 49, 11803–11805. [Google Scholar] [CrossRef][Green Version]
- Zhang, T.; Guo, Q. Polyoxometalate-based hybrid organogels prepared from a triblock copolymer via chargedriven assembly. RSC Adv. 2014, 4, 35055–35058. [Google Scholar] [CrossRef]
- Wathier, M.; Grinstaff, M.W. Synthesis and Creep-Recovery Behavior of a Neat Viscoelastic Polymeric Network Formed through Electrostatic Interactions. Macromolecules 2010, 43, 9529–9533. [Google Scholar] [CrossRef]
- Lemmers, M.; Sprakel, J.; Voets, I.K.; Van Der Gucht, J.; Stuart, M.A.C. Stuart Multiresponsive Reversible Gels Based on Charge-Driven Assembly. Angew. Chem. 2010, 122, 720–723. [Google Scholar] [CrossRef]
- Tamesue, S.; Ohtani, M.; Yamada, K.; Ishida, Y.; Spruell, J.M.; Lynd, N.A.; Hawker, C.J.; Aida, T. Linear versus dendritic molecular binders for hydrogel network formation with clay nanosheets: Studies with ABA triblock copolyethers carrying guanidinium ion pendants. J. Am. Chem. Soc. 2013, 135, 15650–15655. [Google Scholar] [CrossRef] [PubMed]
- Nielen, W.M.; Willott, J.D.; De Vos, W.M. Aqueous Phase Separation of Responsive Copolymers for Sustainable and Mechanically Stable Membranes. ACS Appl. Polym. Mater. 2020, 2, 1702–1710. [Google Scholar] [CrossRef]
- Ignacz, G.; Fei, F.; Szekely, G. Ion-Stabilized Membranes for Demanding Environments Fabricated from Polybenzimidazole and Its Blends with Polymers of Intrinsic Microporosity. ACS Appl. Nano Mater. 2018, 1, 6349–6356. [Google Scholar] [CrossRef]
- Miwa, Y.; Kurachi, J.; Kohbara, Y.; Kutsumizu, S. Dynamic ionic crosslinks enable high strength and ultrastretchability in a single elastomer. Commun. Chem. 2018, 1, 5. [Google Scholar] [CrossRef]
- Chen, Q.; Deng, X.; An, Z. pH-induced inversion of water-in-oil emulsions to oil-in-water high internal phase emulsions (HIPEs) using core cross-linked star (CCS) polymer as interfacial stabilizer. Macromol. Rapid. Commun. 2014, 35, 1148–1152. [Google Scholar] [CrossRef]
- Nakamura, T.; Fuke, T.; Shibata, M. Organogelation behavior and thermal properties of supramolecular polymer networks using pyridyl-terminated 4-arm star-shaped ε-caprolactone oligomers and disulfonic acids. Colloid. Polym. Sci. 2014, 292, 1261–1268. [Google Scholar] [CrossRef]
- Gui, H.; Zhang, T.; Guo, Q. Closed-cell, emulsion-templated hydrogels for latent heat storage applications. Polym. Chem. 2018, 3970–3973. [Google Scholar] [CrossRef]
- Hirst, A.R.; Smith, D.K. Solvent Effects on Supramolecular Gel-Phase Materials:Two-Component Dendritic Gel. Langmuir 2004, 20, 10851–10857. [Google Scholar] [CrossRef]
- Cseri, L.; Szekely, G. Towards cleaner PolarClean: Efficient synthesis and extended applications of the polar aprotic solvent methyl 5-(dimethylamino)-2-methyl-5-oxopentanoate. Green Chem. 2019, 21, 4178–4188. [Google Scholar] [CrossRef]
- Sherwood, J.; Parker, H.L.; Moonen, K.; Farmer, T.J.; Hunt, A.J. N-Butylpyrrolidinone as a dipolar aprotic solvent for organic synthesis. Green Chem. 2016, 18, 3990–3996. [Google Scholar] [CrossRef]
- Alonso, D.M.; Wettstein, S.G.; Dumesic, J.A. Gamma-valerolactone, a sustainable platform molecule derived from lignocellulosic biomass. Green Chem. 2013, 15, 584–595. [Google Scholar] [CrossRef]
- Ikkala, O.; Ruokolainen, J.; Brinke, G.t.; Torkkeli, M.; Serimaa, R. Mesomorphic State of Poly(viny1pyridine)-Dodecylbenzenesulfonic Acid Complexes in Bulk and in Xylene Solution. Macromolecules 1995, 28, 7088–7094. [Google Scholar] [CrossRef]
- Ren, B.; Tong, Z.; Liu, X.; Wang, C.; Zeng, F. Mesomorphous Structure and Properties of Non-equimolar Complexes of Poly(Ethylenimine) and Perfluorooctanoic Acid. Langmuir 2004, 20, 10737–10743. [Google Scholar] [CrossRef] [PubMed]
- Dai, H.; Yin, G.Z.; Zhao, F.-J.; Bian, Z.-X.; Xu, Y.; Zhang, Z.; Miao, X.-R.; Li, H. Facile synthesis and hierarchical assembly of polystyrene-block-poly(perfluorooctylethyl acrylates). Polymer 2017, 113, 46–52. [Google Scholar] [CrossRef]
- Meng, F.; Zheng, S.; Li, H.; Liang, Q.; Liu, T. Formation of Ordered Nanostructures in Epoxy Thermosets: A Mechanism of Reaction-Induced Microphase Separation. Macromolecules 2006, 39, 5072–5080. [Google Scholar] [CrossRef]
- Peng, H.; Chen, D.; Jiang, M. Self-Assembly of Perfluorooctanoic Acid (PFOA) and PS-b-P4VP in Chloroform and the Encapsulation of PFOA in the Formed Aggregates as the Nanocrystallites. J. Phys. Chem. B 2003, 107, 12461–12464. [Google Scholar] [CrossRef]
- Hunt, J.N.; Feldman, K.E.; Lynd, N.A.; Deek, J.; Campos, L.M.; Spruell, J.M.; Hernandez, B.M.; Kramer, E.J.; Hawker, C.J. Tunable, High Modulus Hydrogels Driven by Ionic Coacervation. Adv. Mater. 2011, 23, 2327–2331. [Google Scholar] [CrossRef]





© 2020 by the authors. Licensee MDPI, Basel, Switzerland. This article is an open access article distributed under the terms and conditions of the Creative Commons Attribution (CC BY) license (http://creativecommons.org/licenses/by/4.0/).
Share and Cite
Zhang, T.; Chang, G.; Guo, Q. Thermoreversible Polymer Gels in DMF Formed from Charge- and Crystallization-Induced Assembly. Polymers 2020, 12, 2056. https://doi.org/10.3390/polym12092056
Zhang T, Chang G, Guo Q. Thermoreversible Polymer Gels in DMF Formed from Charge- and Crystallization-Induced Assembly. Polymers. 2020; 12(9):2056. https://doi.org/10.3390/polym12092056
Chicago/Turabian StyleZhang, Tao, Guangtao Chang, and Qipeng Guo. 2020. "Thermoreversible Polymer Gels in DMF Formed from Charge- and Crystallization-Induced Assembly" Polymers 12, no. 9: 2056. https://doi.org/10.3390/polym12092056
APA StyleZhang, T., Chang, G., & Guo, Q. (2020). Thermoreversible Polymer Gels in DMF Formed from Charge- and Crystallization-Induced Assembly. Polymers, 12(9), 2056. https://doi.org/10.3390/polym12092056
