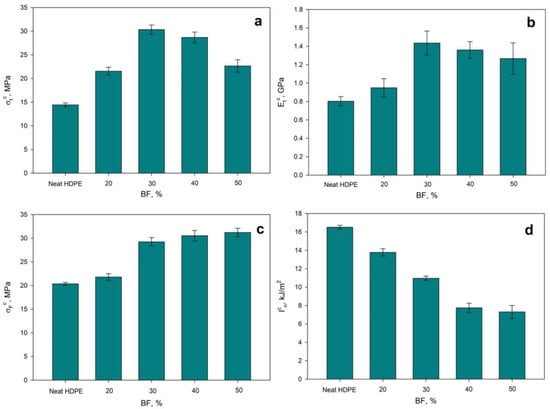
Leather Waste to Enhance Mechanical Performance of High-Density Polyethylene
Kiliç, E.; Tarrés, Q.; Delgado-Aguilar, M.; Espinach, X.; Fullana-i-Palmer, P.; Puig, R. Leather Waste to Enhance Mechanical Performance of High-Density Polyethylene. Polymers 2020, 12, 2016. https://doi.org/10.3390/polym12092016
Kiliç E, Tarrés Q, Delgado-Aguilar M, Espinach X, Fullana-i-Palmer P, Puig R. Leather Waste to Enhance Mechanical Performance of High-Density Polyethylene. Polymers. 2020; 12(9):2016. https://doi.org/10.3390/polym12092016
Chicago/Turabian StyleKiliç, Eylem, Quim Tarrés, Marc Delgado-Aguilar, Xavier Espinach, Pere Fullana-i-Palmer, and Rita Puig. 2020. "Leather Waste to Enhance Mechanical Performance of High-Density Polyethylene" Polymers 12, no. 9: 2016. https://doi.org/10.3390/polym12092016


