In Vitro Degradation of Electrospun Poly(Lactic-Co-Glycolic Acid) (PLGA) for Oral Mucosa Regeneration
Abstract
1. Introduction
2. Experimental
2.1. Materials
2.2. Electrospinning of PLGA Nonwoven
2.3. Membranes Sterilization
2.4. In Vitro Degradation Tests
2.5. Nonwoven Characterization
2.6. Statistical Analysis
3. Results
3.1. Morphology of Electrospun PGLA Fibers
3.2. Molecular Weight Analyses
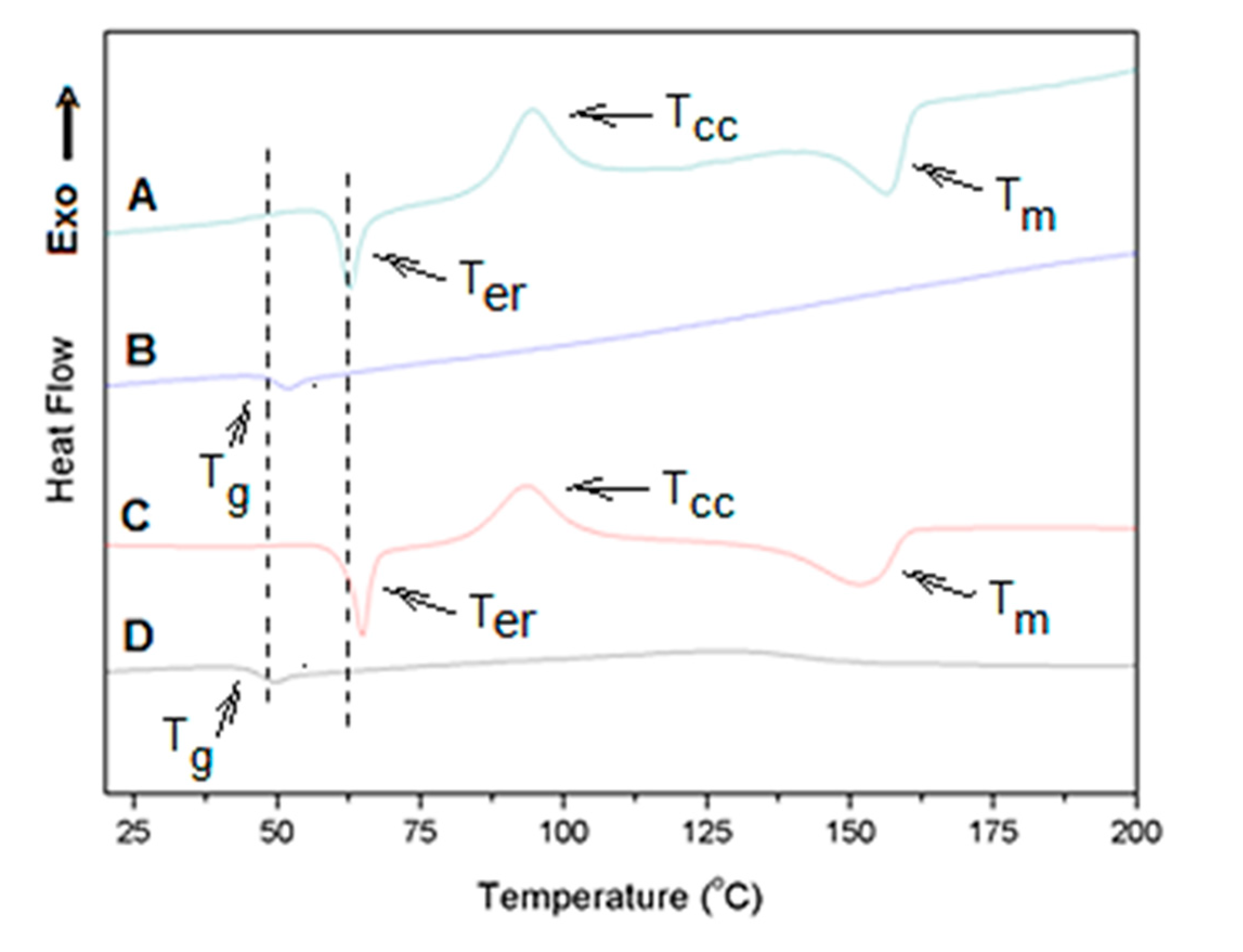
3.3. Thermal Behavior of Irradiated and Non-Irradiated PLGA Nonwovens
3.4. FTIR Spectroscopic Characterization of PLGA Nonwovens Before and After Gamma Irradiation
4. Discussion
5. Conclusions
Supplementary Materials
Author Contributions
Funding
Acknowledgments
Conflicts of Interest
References
- Vacanti, C.A. The history of tissue engineering. J. Cell. Mol. Med. 2006, 10, 569–576. [Google Scholar] [CrossRef] [PubMed]
- Zafar, M.S.; Khurshid, Z.; Almas, K. Oral tissue engineering progress and challenges. Tissue Eng. Regen. Med. 2015, 12, 387–397. [Google Scholar] [CrossRef]
- Stratton, S.; Shelke, N.B.; Hoshino, K.; Rudraiah, S.; Kumbar, S.G. Bioactive polymeric scaffolds for tissue engineering. Bioact. Mater. 2016, 1, 93–108. [Google Scholar] [CrossRef] [PubMed]
- Sun, X.Y.; Xu, C.; Wu, G.; Ye, Q.S.; Wang, C.N. Poly(lactic-co-glycolic acid): Applications and future prospects for periodontal tissue regeneration. Polymers 2017, 9, 189. [Google Scholar] [CrossRef] [PubMed]
- Milleret, V.; Simona, B.; Neuenschwander, P.; Hall, H. Tuning electrospinning parameters for production of 3D-fiber-fleeces with increased porosity for soft tissue engineering applications. Eur. Cell Mater. 2011, 21, 286–303. [Google Scholar] [CrossRef]
- Zafar, M.S.; Najeeb, S.; Khurshid, Z.; Vazirzadeh, M.; Zohaib, S.; Najeeb, B.; Sefat, F. Potential of electrospun nanofibers for biomedical and dental applications. Materials 2016, 9, 73. [Google Scholar] [CrossRef]
- Sefat, F.; McKean, R.; Deshpande, P.; Ramachandran, C.; Hill, C.J.; Sangwan, V.S.; Ryan, A.J.; MacNeil, S. Production, sterilisation and storage of biodegradable electrospun PLGA membranes for delivery of limbal stem cells to the cornea. Procedia Eng. 2013, 59, 101–116. [Google Scholar] [CrossRef]
- Gentile, P.; Chiono, V.; Carmagnola, I.; Hatton, P.V. An overview of poly(lactic-co-glycolic acid) (PLGA)-based biomaterials for bone tissue engineering. Int. J. Mol. Sci. 2014, 15, 3640–3659. [Google Scholar] [CrossRef]
- Meireles, A.B.; Corrêa, D.K.; Silveira, J.V.W. Trends in polymeric electrospun fibers and their use as oral biomaterials. Exp. Biol. Med. 2018, 243, 665–676. [Google Scholar] [CrossRef]
- Blackwood, K.A.; McKean, R.; Canton, I.; Freeman, C.O.; Franklin, K.L.; Cole, D.; Brook, I.; Farthing, P.; Rimmer, S.; Haycock, J.W.; et al. Development of biodegradable electrospun scaffolds for dermal replacement. Biomaterials 2008, 29, 3091–3104. [Google Scholar] [CrossRef]
- Kumbar, S.G.; Nukavarapu, S.P.; James, R.; Nair, L.S.; Laurencin, C.T. Electrospun poly(lactic acid-co-glycolic acid) scaffolds for skin tissue engineering. Biomaterials 2008, 29, 4100–4107. [Google Scholar] [CrossRef] [PubMed]
- Bye, F.J.; Wang, L.G.; Bullock, A.J.; Blackwood, K.A.; Ryan, A.J.; MacNeil, S. Postproduction processing of electrospun fibres for tissue engineering. J. Vis. Exp. 2012, 66, e4172. [Google Scholar] [CrossRef]
- Lanao, R.P.F.; Jonker, A.M.; Wolke, J.G.C.; Jansen, J.A.; Van Hest, J.C.M.; Leeuwenburgh, S.C.G. Physicochemical properties and applications of poly(lactic-co-glycolic acid) for use in bone regeneration. Tissue Eng. Part B Rev. 2013, 19, 380–390. [Google Scholar] [CrossRef] [PubMed]
- Hammouche, S.; Hammouche, D.; McNicholas, M. Biodegradable bone regeneration synthetic scaffolds: In tissue engineering. Curr. Stem Cell Res. Ther. 2012, 7, 134–142. [Google Scholar] [CrossRef]
- Bhaskar, P.; Bosworth, L.A.; Wong, R.; O’brien, M.A.; Kriel, H.; Smit, E.; McGrouther, D.A.; Wong, J.K.; Cartmell, S.H. Cell response to sterilized electrospun poly(e-caprolactone) scaffolds to aid tendon regeneration in vivo. J. Biomed. Mater. Res. A 2017, 105, 389–397. [Google Scholar] [CrossRef]
- Shankar, A.; Roy, S.; Bhandari, M.; Rath, G.K.; Biswas, A.S.; Kanodia, R.; Adhikari, N.; Sachan, R. Current trends in management of oral mucositis in cancer treatment. Asian Pac. J. Cancer Prev. 2017, 18, 2019–2026. [Google Scholar] [PubMed]
- Shi, R.; Ding, T.; Liu, Q.Y.; Han, Y.M.; Zhang, L.Q.; Chen, D.F.; Tian, W. In vitro degradation and swelling behaviour of rubbery thermoplastic starch in simulated body and simulated saliva fluid and effects of the degradation products on cells. Polym. Degrad. Stabil. 2006, 91, 3289–3300. [Google Scholar] [CrossRef]
- Liao, S.; Watari, F.; Zhu, Y.; Uo, M.; Akasaka, T.; Wang, W.; Xu, G.; Cui, F. The degradation of the three layered nano-carbonated hydroxyapatite/collagen/PLGA composite membrane in vitro. Dent. Mater. 2007, 23, 1120–1128. [Google Scholar] [CrossRef]
- Holz, J.P.; Bottene, M.K.; Jahno, V.D.; Einloft, S.; Ligabue, R. Menthol-loaded PLGA micro and nanospheres: Synthesis, characterization and degradation in artificial saliva. Mater. Res. Ibero Am. J. 2018, 21, 1–8. [Google Scholar] [CrossRef]
- Kang, Y.Q.; Xu, X.J.; Yin, G.F.; Chen, A.Z.; Liao, L.; Yao, Y.D.; Huang, Z.B.; Liao, X.M. A comparative study of the in vitro degradation of poly(L-lactic acid)/beta-tricalcium phosphate scaffold in static and dynamic simulated body fluid. Eur. Polym. J. 2007, 43, 1768–1778. [Google Scholar] [CrossRef]
- Kokubo, T.; Takadama, H. How useful is SBF in predicting in vivo bone bioactivity? Biomaterials 2006, 27, 2907–2915. [Google Scholar] [CrossRef] [PubMed]
- Rediguieri, C.F.; Sassonia, R.C.; Dua, K.; Kikuchi, I.S.; Pinto, T.D.A. Impact of sterilization methods on electrospun scaffolds for tissue engineering. Eur. Polym. J. 2016, 82, 181–195. [Google Scholar] [CrossRef]
- Dai, Z.; Ronholm, J.; Tian, Y.P.; Sethi, B.; Cao, X.D. Sterilization techniques for biodegradable scaffolds in tissue engineering applications. J. Tissue Eng. 2016, 7. [Google Scholar] [CrossRef] [PubMed]
- Gill, P.; Moghadam, T.T.; Ranjbar, B. Differential scanning calorimetry techniques: Applications in biology and nanoscience. J. Biomol. Tech. 2010, 21, 167–193. [Google Scholar] [PubMed]
- Sarasua, J.R.; Rodriguez, N.L.; Arraiza, A.L.; Meaurio, E. Stereoselective crystallization and specific interactions in polylactides. Macromolecules 2005, 38, 8362–8371. [Google Scholar] [CrossRef]
- Glockner, G. Polymer Characterization by Liquid Chromatography; Elsevier: Amsterdam, The Netherlands, 1987. [Google Scholar]
- Tan, H.Y.; Widjaja, E.; Boey, F.; Loo, S.C. Spectroscopy techniques for analyzing the hydrolysis of PLGA and PLLA. J. Biomed. Mater. Res. B Appl. Biomater. 2009, 91, 433–440. [Google Scholar] [CrossRef]
- Li, Y.; Chu, Z.W.; Li, X.M.; Ding, X.L.; Guo, M.; Zhao, H.R.; Yao, J.; Wang, L.Z.; Cai, Q.; Fan, Y. The effect of mechanical loads on the degradation of aliphatic biodegradable polyesters. Regen. Biomater. 2017, 4, 179–190. [Google Scholar] [CrossRef]
- Perron, J.K.; Naguib, H.E.; Daka, J.; Chawla, A.; Wilkins, R.A. Study on the effect of degradation media on the physical and mechanical properties of porous PLGA 85/15 Scaffolds. J. Biomed. Mater. Res. B 2009, 91, 876–886. [Google Scholar] [CrossRef]
- Turek, A.; Kasperczyk, J.; Jelonek, K.; Borecka, A.; Janeczek, H.; Libera, M.; Gruchlik, A.; Dobrzynski, P. Thermal properties and morphology changes in degradation process of poly(L-lactide-co-glycolide) matrices with risperidone. Acta Bioeng. Biomech. 2015, 17, 11–20. [Google Scholar]
- Dias, M.L.; Dip, R.M.M.; Souza, D.H.S.; Nascimento, J.P.; Santos, A.P.; Furtado, C.A. Electrospun Nanofibers of Poly(lactic acid)/Graphene Nanocomposites. J. Nanosci. Nanotechnol. 2017, 17, 2531–2540. [Google Scholar] [CrossRef]
- Fortunati, E.; Latterini, L.; Rinaldi, S.; Kenny, J.M.; Armentano, I. PLGA/Ag nanocomposites: In vitro degradation study and silver ion release. J. Mater. Sci. Mater. Med. 2011, 22, 2735–2744. [Google Scholar] [CrossRef] [PubMed]
- Houchin, M.L.; Topp, E.M. Physical properties of PLGA films during polymer degradation. J. Appl. Polym. Sci. 2009, 114, 2848–2854. [Google Scholar] [CrossRef]
- Lee, J.B.; Ko, Y.G.; Cho, D.; Park, W.H.; Kim, B.N.; Lee, B.C.; Kang, I.K.; Kwon, O.H. Modification of PLGA nanofibrous mats by electron beam irradiation for soft tissue regeneration. J. Nanomater. 2015, 2015, 295807. [Google Scholar] [CrossRef]
- Tang, Z.G.; Hunt, J.A. The effect of PLGA doping of polycaprolactone films on the control of osteoblast adhesion and proliferation in vitro. Biomaterials 2006, 27, 4409–4418. [Google Scholar] [CrossRef] [PubMed]
- Pletincx, S.; Trotochaud, L.; Fockaert, L.L.; Mol, J.M.C.; Head, A.R.; Karslioglu, O.; Bluhm, H.; Terryn, H.; Hauffman, T. In situ characterization of the initial effect of water on molecular interactions at the interface of organic/inorganic hybrid systems. Sci. Rep. 2017, 7, 45123. [Google Scholar] [CrossRef] [PubMed]
- Gil-Castell, O.; Badia, J.D.; Ontoria-Oviedo, I.; Castellano, D.; Marco, B.; Rabal, A.; Bou, J.J.; Serra, A.; Monreal, L.; Blanes, M.; et al. In vitro validation of biomedical polyester-based scaffolds: Poly(lactide-co-glycolide) as model-case. Polym. Test. 2018, 66, 256–267. [Google Scholar] [CrossRef]
- You, Y.; Min, B.M.; Lee, S.J.; Lee, T.S.; Park, W.H. In vitro degradation behavior of electrospun polyglycolide, polylactide, and poly(lactide-co-glycolide). J. Appl. Polym. Sci. 2005, 95, 193–200. [Google Scholar] [CrossRef]
- Azimi, B.; Nourpanah, P.; Rabiee, M.; Arbab, S. Poly(lactide-co-glycolide) Fiber: An overview. J. Eng. Fibers Fabr. 2014, 9, 47–66. [Google Scholar] [CrossRef]
- Blasi, P.; D’Souza, S.S.; Selmin, F.; DeLuca, P.P. Plasticizing effect of water on poly(lactide-co-glycolide). J. Control. Release 2005, 108, 1–9. [Google Scholar] [CrossRef]
- Lee, J.S.; Chae, G.S.; Khang, G.; Kim, M.S.; Cho, S.H.; Lee, H.B. The effect of gamma irradiation on PLGA and release behavior of BCNU from PLGA wafer. Macromol. Res. 2003, 11, 352–356. [Google Scholar] [CrossRef]
- Ichikawa, T. Mechanism of radiation-induced degradation of poly(methyl methacrylate)—Temperature effect. Nucl. Instrum. Meth. B 1995, 105, 150–153. [Google Scholar] [CrossRef]
- Rutala, W.A.; Weber, D.J. Guideline for Disinfection and Sterilization in Healthcare Facilities; Centers for Disease Control and Prevention: Atlanta, GE, USA, 2008; pp. 8–163. [Google Scholar]
- Humphrey, S.P.; Williamson, R.T. A review of saliva: Normal composition, flow, and function. J. Prosthet. Dent. 2001, 85, 162–169. [Google Scholar] [CrossRef] [PubMed]
- Prodan, A.; Brand, H.S.; Ligtenberg, A.J.M.; Imangaliyev, S.; Tsivtsivadze, E.; van der Weijden, F.; Crielaard, W.; Keijser, B.J.F.; Veerman, E.C.I. Interindividual variation, correlations, and sex-related differences in the salivary biochemistry of young healthy adults. Eur. J. Oral Sci. 2015, 123, 149–157. [Google Scholar] [CrossRef] [PubMed]
- Zong, X.; Ran, S.; Kim, K.S.; Fang, D.; Hsiao, B.S.; Chu, B. Structure and morphology changes during in vitro degradation of electrospun poly(glycolide-co-lactide) nanofiber membrane. Biomacromolecules 2003, 4, 416–423. [Google Scholar] [CrossRef]
- Wu, X.S.; Wang, N. Synthesis, characterization, biodegradation, and drug delivery application of biodegradable lactic/glycolic acid polymers. Part II: Biodegradation. J. Biomater. Sci. Polym. E 2001, 12, 21–34. [Google Scholar] [CrossRef]







| Days | CONTROL | SBF | DMEM | SALIVA | ||||
|---|---|---|---|---|---|---|---|---|
| Mn | Mw | Mn | Mw | Mn | Mw | Mn | Mw | |
| 0 | 253,900 | 460,400 | - | - | - | - | ||
| 7 | - | - | 158,100 * | 346,800 | 162,100 * | 364,500 | 185,100 | 381,000 |
| 15 | - | - | 276,100 | 498,700 | 240,500 | 479,200 | 148,200 | 328,300 * |
| 30 | - | 128,000 * | 243,800 | 133,700 * | 243,500 | 146,600 | 278,200 * | |
| Days | CONTROL | SBF | DMEM | SALIVA | ||||
|---|---|---|---|---|---|---|---|---|
| Mn | Mw | Mn | Mw | Mn | Mw | Mn | Mw | |
| 0 | 75,000 | 156,300 | ||||||
| 7 | 85,900 | 163,900 | 89,700 * | 160,000 | 95,600 | 162,000 * | ||
| 15 | 73,600 | 149,900 | 80,200 | 162,300 | 80,300 | 149,600 * | ||
| 30 | 56,800 | 113,700 * | 69,700 | 124,300 * | 99,700 | 153,500 * | ||
| Day | Ter (°C)/ΔHer (J/g) | Tg (°C) | Tcc (°C) | ΔHcc (J/g) | Tm (°C) | ΔHm (J/g) | Xc (%) |
|---|---|---|---|---|---|---|---|
| SBF | |||||||
| 7 | 68.5/12.2 | 44.8 | 96.4 | 9.56 | 151.2/182.4 a | 21.6/13.1 | 23.7 |
| 15 | 66.8/10.3 | 45.2 | 92.4 | 8.44 | 155.6 | 17.6 | 8.6 |
| 30 | 66/11.1 | ND | 91.4 | 15.6 | 55.1/174.5 a | 13.8/15.9 | 13.3 |
| DMEM | |||||||
| 7 | 68.2/11.2 | 49.0 | 95.9 | 8.03 | 149.3/180.9 a | 12.6/16.2 | 19.6 |
| 15 | 68.7/12.9 | 40.8 | 94.7 | 15.6 | 152.1 | 14.4 | 4.1 |
| 30 | 67.9/18.4 | ND | 92.7 | 13.1 | 155.7 | 15.85 | 2.6 |
| ARTIFICIAL SALIVA | |||||||
| 7 | 66.1/13.1 | 46.5 | 93.9 | 13.9 | 152.9 | 15.1 | 1.13 |
| 15 | 62.9/15.7 | 42.9 | 93.5 | 12.8 | 151.5 | 16.3 | 3.30 |
| 30 | 70.3/13.6 | 50.2 | 92.0 | 16.4 | 154.3 | 20.6 | 3.96 |
| Days | Ter (°C)/ΔHer (J/g) | Tg (°C) | Tcc (°C) | ΔHcc (J/g) | Tm (°C) | ΔHm (J/g) | Xc (%) |
|---|---|---|---|---|---|---|---|
| SBF | |||||||
| 7 | 65.7/6.83 | 45.4 | 94.2 | 15.2 | 156.7 | 17.5 | 2.2 |
| 15 | 64.4/9.25 | 42.0 | 94.7 | 16.1 | 155.7 | 21.4 | 5.0 |
| 30 | 61.2/8.41 | 43.3 | 91.9 | 12.8 | 158.4 | 21.4 | 8.1 |
| DMEM | |||||||
| 7 | 64.4/7.40 | 44.4 | 93.4 | 18.2 | 159.0 | 22.5 | 4.1 |
| 15 | 65.8/7.25 | 43.9 | 94.9 | 16.3 | 159.3 | 19.7 | 3.2 |
| 30 | 61.7/7.61 | ND | 89.9 | 10.6 | 157.9 | 17.8 | 6.8 |
| ARTIFICIAL SALIVA | |||||||
| 7 | 63.8/7.79 | 43.2 | 92.1 | 15.6 | 157.8 | 20.2 | 4.3 |
| 15 | 63.9/16.3 a | 44.7 | 92.4 | 14.5 | 154.9 | 20.6 | 5.8 |
| 30 | 60.8/22.9 a | ND | 89.2 | 8.79 | 155.8 | 16.1 | 6.9 |
© 2020 by the authors. Licensee MDPI, Basel, Switzerland. This article is an open access article distributed under the terms and conditions of the Creative Commons Attribution (CC BY) license (http://creativecommons.org/licenses/by/4.0/).
Share and Cite
Chor, A.; Gonçalves, R.P.; Costa, A.M.; Farina, M.; Ponche, A.; Sirelli, L.; Schrodj, G.; Gree, S.; Andrade, L.R.d.; Anselme, K.; et al. In Vitro Degradation of Electrospun Poly(Lactic-Co-Glycolic Acid) (PLGA) for Oral Mucosa Regeneration. Polymers 2020, 12, 1853. https://doi.org/10.3390/polym12081853
Chor A, Gonçalves RP, Costa AM, Farina M, Ponche A, Sirelli L, Schrodj G, Gree S, Andrade LRd, Anselme K, et al. In Vitro Degradation of Electrospun Poly(Lactic-Co-Glycolic Acid) (PLGA) for Oral Mucosa Regeneration. Polymers. 2020; 12(8):1853. https://doi.org/10.3390/polym12081853
Chicago/Turabian StyleChor, Ana, Raquel Pires Gonçalves, Andrea Machado Costa, Marcos Farina, Arnaud Ponche, Lys Sirelli, Gautier Schrodj, Simon Gree, Leonardo Rodrigues de Andrade, Karine Anselme, and et al. 2020. "In Vitro Degradation of Electrospun Poly(Lactic-Co-Glycolic Acid) (PLGA) for Oral Mucosa Regeneration" Polymers 12, no. 8: 1853. https://doi.org/10.3390/polym12081853
APA StyleChor, A., Gonçalves, R. P., Costa, A. M., Farina, M., Ponche, A., Sirelli, L., Schrodj, G., Gree, S., Andrade, L. R. d., Anselme, K., & Dias, M. L. (2020). In Vitro Degradation of Electrospun Poly(Lactic-Co-Glycolic Acid) (PLGA) for Oral Mucosa Regeneration. Polymers, 12(8), 1853. https://doi.org/10.3390/polym12081853

