Hydrolytic Degradation of Porous Crosslinked Poly(ε-Caprolactone) Synthesized by High Internal Phase Emulsion Templating
Abstract
1. Introduction
2. Materials and Methods
2.1. Materials
2.2. Preparation of PCL-Based PolyHIPEs
2.3. Differential Scanning Calorimetry (DSC)
2.4. Hydrolytic Degradation
2.5. Laser Desorption Ionization-Mass Spectrometry (LDI-MS)
2.6. Fourier Transform Infrared Spectroscopy (FTIR)
2.7. Scanning Electron Microscopy (SEM)
3. Results
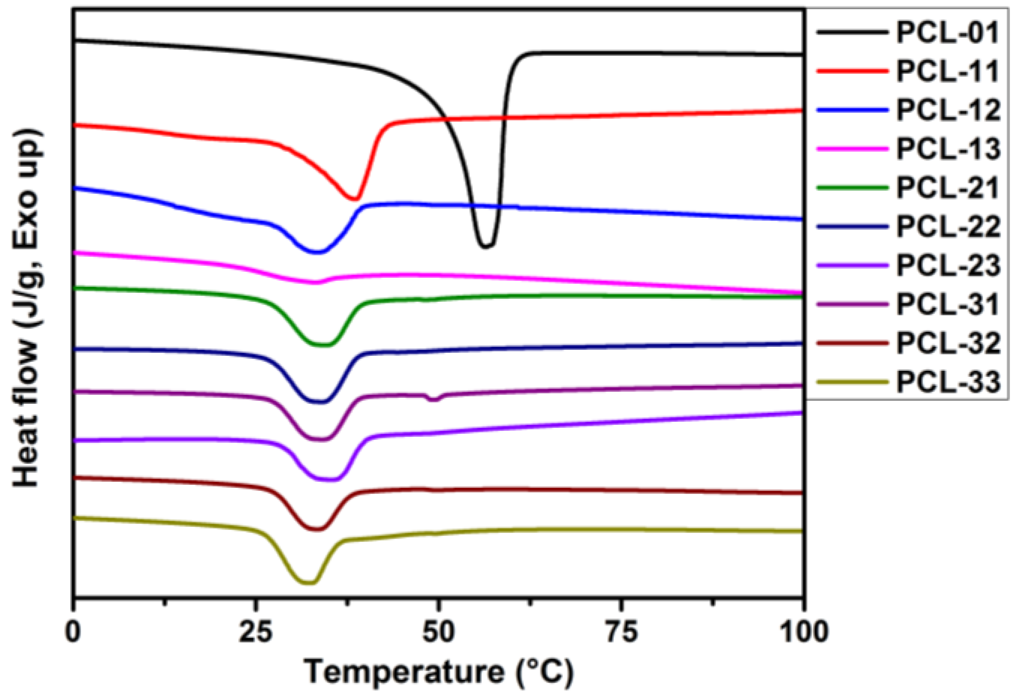
3.1. Thermal Properties and Crystallinity
3.2. Analysis of Degradation Products
3.3. Changes in Functional Groups
3.4. Morphological Changes Caused by Hydrolysis
4. Discussion
5. Conclusions
Author Contributions
Funding
Acknowledgments
Conflicts of Interest
References
- Woodruff, M.A.; Hutmacher, D.W. The return of a forgotten polymer—Polycaprolactone in the 21st century. Prog. Polym. Sci. 2010, 35, 1217–1256. [Google Scholar] [CrossRef]
- Nair, L.S.; Laurencin, C.T. Biodegradable polymers as biomaterials. Prog. Polym. Sci. 2007, 32, 762–798. [Google Scholar] [CrossRef]
- Labet, M.; Thielemans, W. Synthesis of polycaprolactone: A review. Chem. Soc. Rev. 2009, 38, 3484–3504. [Google Scholar] [CrossRef] [PubMed]
- Erdal, N.B.; Yao, J.G.; Hakkarainen, M. Cellulose derived nano-graphene oxide surface functionalized 3D scaffolds with drug delivery capability. Biomacromolecules 2019, 20, 738–749. [Google Scholar] [CrossRef] [PubMed]
- Yadav, A.; Erdal, N.B.; Hakkarainen, M.; Nandan, B.; Srivastava, R.K. Cellulose-derived nano-graphene oxide reinforced macroporous scaffolds of high internal phase emulsion templated cross-linked poly(ε-caprolactone). Biomacromolecules 2020, 21, 589–596. [Google Scholar] [CrossRef]
- Wu, D.; Samanta, A.; Srivastava, R.K.; Hakkarainen, M. Nano-graphene oxide functionalized bioactive PLA and PCL nanofibrous scaffolds. Materials 2018, 11, 566. [Google Scholar] [CrossRef] [PubMed]
- Vert, M. Aliphatic polyesters: Great degradable polymers that cannot do everything. Biomacromolecules 2005, 6, 538–546. [Google Scholar] [CrossRef] [PubMed]
- Vert, M. Degradable and bioresorbable polymers in surgery and in pharmacology: Beliefs and facts. J. Mater. Sci. Mater. Med. 2009, 20, 437–446. [Google Scholar] [CrossRef] [PubMed]
- Pitt, C.G.; Chasalow, F.I.; Hibionada, Y.M.; Klimas, D.M.; Schindler, A. Aliphatic polyesters I. The degradation of poly(e-caprolactone) in vivo. J. Appl. Polym. Sci. 1981, 26, 3779–3787. [Google Scholar] [CrossRef]
- Sánchez-González, S.; Diban, N.; Urtiaga, A. Hydrolytic Degradation and Mechanical Stability of Poly(ε-Caprolactone)/Reduced Graphene Oxide Membranes as Scaffolds for In Vitro Neural Tissue Regeneration. Membranes 2018, 8, 12. [Google Scholar] [CrossRef] [PubMed]
- Hakkarainen, M. Aliphatic polyesters: Abiotic and biotic degradation and degradation Products. Adv. Polym. Sci. 2002, 157, 113–138. [Google Scholar]
- Hakkarainen, M.; Albertsson, A.C. Heterogeneous biodegradation of polycaprolactone—Low molecular weight products and surface changes. Macromol. Chem. Phys. 2002, 203, 1357–1363. [Google Scholar] [CrossRef]
- Höglund, A.; Hakkarainen, M.; Albertsson, A.C. Degradation profile of poly (ε-caprolactone) the influence of macroscopic and macromolecular biomaterial design. J. Macromol. Sci. A 2007, 44, 1041–1046. [Google Scholar] [CrossRef]
- Hakkarainen, M.; Höglund, A.; Odelius, K.; Albertsson, A.C. Tuning the release rate of acidic degradation products through macromolecular design of caprolactone-based copolymers. J. Am. Chem. Soc. 2007, 129, 6308–6312. [Google Scholar] [CrossRef] [PubMed]
- Höglund, A.; Odelius, K.; Hakkarainen, M.; Albertsson, A.C. Controllable degradation product migration from cross-linked biomedical polyester-ethers through predetermined alterations in copolymer composition. Biomacromolecules 2007, 8, 2025–2032. [Google Scholar] [CrossRef] [PubMed]
- Pal, J.; Kankariya, N.; Sanwaria, S.; Nandan, B.; Srivastava, R.K. Control on molecular weight reduction of poly (ε-caprolactone) during melt spinning—A way to produce high strength biodegradable fibers. Mater. Sci. Eng. C 2013, 33, 4213–4220. [Google Scholar] [CrossRef]
- Aminlashgari, N.; Pal, J.; Kankariya, N.; Sanwaria, S.; Nandan, B.; Srivastava, R.K.; Hakkarainen, M. Degradation product profiles of melt spun in situ cross-linked poly (ε-caprolactone) fibers. Mater. Chem. Phys. 2015, 156, 82–88. [Google Scholar] [CrossRef]
- Hokmabad, V.R.; Davaran, S.; Ramazani, A.; Salehi, R. Design and fabrication of porous biodegradable scaffolds: A strategy for tissue engineering. J. Biomater. Sci. Polym. Ed. 2017, 28, 1797–1825. [Google Scholar] [CrossRef]
- Pulko, I.; Krajnc, O. High internal phase emulsion templating—A path to hierarchically porous functional polymers. Macromol. Rapid Commun. 2012, 33, 1731–1746. [Google Scholar] [CrossRef]
- Cameron, N.R.; Sherrington, D.C. High internal phase emulsions (HIPEs)—Structure, properties and use in polymer preparation. Adv. Polym. Sci. 1996, 126, 163–214. [Google Scholar]
- Cameron, N.R. High internal phase emulsion templating as a route to well-defined porous polymers. Polymer 2005, 46, 1439–1449. [Google Scholar] [CrossRef]
- Busby, W.; Cameron, N.R.; Jahoda, C.A.B. Emulsion-derived foams (PolyHIPEs) containing poly(ε-caprolactone) as matrixes for tissue engineering. Biomacromolecules 2001, 2, 154–164. [Google Scholar] [CrossRef] [PubMed]
- Yadav, A.; Pal, J.; Nadan, B.; Srivastava, R.K. Macroporous scaffolds of cross-linked Poly (ε-caprolactone) via high internal phase emulsion templating. Polymer 2019, 176, 66–73. [Google Scholar] [CrossRef]
- Oledzka, E.; Kong, X.; Narine, S.S. Synthesis and Characterization of Novel Lipid Functionalized Poly(ε-Caprolactone)s. J. Appl. Polym. Sci. 2011, 119, 1848–1856. [Google Scholar] [CrossRef]
- Qiu, Z.; Yang, W.; Ikehara, T.; Nishi, T. Miscibility and Crystallization Behavior of Biodegradable Blends of Two Aliphatic Polyesters. Poly(3-Hydroxybutyrate-Co-Hydroxyvalerate) and Poly(ε-Caprolactone). Polymer 2005, 46, 11814–11819. [Google Scholar] [CrossRef]
- Sipe, J.D. Tissue engineering and reparative medicine. Ann. N. Y. Acad. Sci. 2002, 961, 1–9. [Google Scholar] [CrossRef]
- Chen, Q.Z.; Boccaccini, A.R. Improved mechanical reliability of bone tissue engineering (Zirconia) scaffolds by electrospraying. J. Am. Ceram. Soc. 2006, 89, 1534–1539. [Google Scholar] [CrossRef]
- Athanasiou, K.A.; Niederauer, G.G.; Agrawal, C.M. Sterilization, toxicity, biocompatibility and clinical applications of polylactic acid/polyglycolic acid copolymers. Biomaterials 1996, 17, 93–102. [Google Scholar] [CrossRef]
- Ignatius, A.A.; Claes, L.E. In vitro biocompatibility of bioresorbable polymers: Poly(L, DL-lactide) and poly(L-lactide-co-glycolide). Biomaterials 1996, 17, 831–839. [Google Scholar] [CrossRef]
- Wu, L.; Ding, J. Effects of porosity and pore size on in vitro degradation of three-dimensional porous poly(D,L-lactide-co-glycolide) scaffolds for tissue engineering. Biomed. Mater. Res. 2005, 75, 767–777. [Google Scholar] [CrossRef]
- Benedict, C.V.; Cameron, J.A.; Huang, S.J. Polycaprolactone degradation by mixed and pure cultures of bacteria and a yeast. J. Appl. Polym. Sci. 1983, 28, 335–342. [Google Scholar] [CrossRef]
- Coleman, M.M.; Zarian, J. Fourier-transform infrared studies of polymer blends. II. Poly(ϵ-caprolactone)–poly(vinyl chloride) system. Polym. Phys. 1979, 17, 837–850. [Google Scholar] [CrossRef]
- Socrates, G. Infrared and Raman Characteristic Group Frequencies: Tables and Charts, 3rd ed.; John Wiley & Sons: London, UK, 2004. [Google Scholar]
- Elzein, T.; Nasser-Eddine, M.; Delaite, C.; Bistac, S.; Dumas, P. FTIR study of polycaprolactone chain organization at interfaces. J. Colloid Interf. Sci. 2004, 273, 381–387. [Google Scholar] [CrossRef] [PubMed]
- Silverstein, R.M.; Webster, F.X.; Kiemle, D.J. Spectrometric Identification of Organic Compounds, 7th ed.; John Wiley & Sons: New York, NY, USA, 2005. [Google Scholar]
- Wang, Y.; Yang, J.F. Physical properties and biodegradation of acrylic acid grafted poly(ε-caprolactone)/chitosan blends. J. Polym. Res. 2010, 17, 221–232. [Google Scholar] [CrossRef]
- Phillipson, K.; Hay, J.N.; Jenkins, M.J. Thermal analysis FTIR spectroscopy of poly(ε-caprolactone). Thermochim. Acta 2014, 595, 74–82. [Google Scholar] [CrossRef]
- Agrawal, C.M.; McKinney, J.S.; Lanctot, D.; Athanasiou, K.A. Effects of fluid flow on the in vitro degradation kinetics of biodegradable scaffolds for tissue engineering. Biomaterials 2000, 21, 2443–2452. [Google Scholar] [CrossRef]
- Van Tienen, T.G.; Heijkants, R.G.J.C.; Buma, P.; de Groot, J.H.; Pennings, A.J.; Veth, R.P.H. Tissue ingrowth and degradation of two biodegradable porous polymers with different porosities and pore sizes. Biomaterials 2002, 23, 1731–1738. [Google Scholar] [CrossRef]
- Bartnikowski, M.; Dargaville, T.R.; Ivanovski, S.; Hutmacher, D.W. Degradation mechanisms of polycaprolactone in the context of chemistry, geometry and environment. Prog. Polym. Sci. 2019, 96, 1–20. [Google Scholar] [CrossRef]
- Goldberg, D. A review of the biodegradability and utility of poly (caprolactone). J. Environ. Polym. Degrad. 1995, 3, 61–67. [Google Scholar] [CrossRef]
- Toncheva, V.; Van Den Bulcke, A.; Schacht, E.; Mergaert, J. Swing, synthesis and environmental degradation of polyesters based on poly (ε-caprolactone). J. Environ. Polym. Degrad. 1996, 4, 71–83. [Google Scholar] [CrossRef]
- Eldsäter, C.; Erlandsson, B.; Renstad, R.; Albertsson, A.C.; Karlsson, K. The biodegradation of amorphous and crystalline regions in film-blown poly(caprolactone). Polymer 2000, 41, 1297–1304. [Google Scholar] [CrossRef]
- Woodward, S.C.; Brewer, P.S.; Moatamed, F.; Schindler, A.; Pitt, C.G. The intracellular degradation of poly-epsilon-caprolactone. J. Biomed. Mater. Res. 1985, 19, 437–444. [Google Scholar] [CrossRef] [PubMed]
- Albertsson, A.C.; Renstad, R.; Erlandsson, B.; Eldsäter, C.; Karlsson, S. Effect of processing additives on (bio)degradability of film-blown poly(ε-caprolactone). J. Appl. Polym. Sci. 1998, 70, 61–74. [Google Scholar] [CrossRef]
- Höglund, A.; Hakkarainen, M.; Kowalczuk, M.; Adamus, G.; Albertsson, A.C. Fingerprinting the Degradation Product Patterns of Different Polyester-ether Networks by Electrospray Ionization Mass Spectrometry. J. Polym. Sci. Polym Chem. 2008, 46, 4617–4629. [Google Scholar] [CrossRef]
- Castilla-Cortázar, I.; Más-Estellés, J.; Meseguer-Dueñas, J.M.; Escobar Ivirico, J.L.; Marí, B.; Vidaurre, A. Hydrolytic and enzymatic degradation of a poly(ε-caprolactone) network. Polym. Degrad. Stab. 2012, 97, 1241–1248. [Google Scholar] [CrossRef]
- Pitt, C.G. Poly-e-caprolactone and its copolymers. In Biodegradable Polymers as Drug Delivery Systems; Chasin, M., Langer, R., Eds.; Marcel Dekker: New York, NY, USA, 1990; pp. 71–120. [Google Scholar]
- Pitt, C.G.; Gratzl, M.M.; Kimmel, G.L.; Surles, J.; Schindler, A. Aliphatic polyesters II. The degradation of poly (DL-lactide), poly (ε-caprolactone), and their copolymers in vivo. Biomaterials 1981, 2, 215–220. [Google Scholar] [CrossRef]
- Huang, D.; Hu, Z.; Ding, Y.; Zhen, Z.; Lu, B.; Jia, J.; Wang, G. Seawater degradable PVA/PCL blends with water-soluble polyvinyl alcohol as degradation accelerator. Polym. Degrad. Stab. 2019, 163, 195–205. [Google Scholar] [CrossRef]
- Sailema-Palate, G.P.; Vidaurre, A.; Campillo-Fernández, A.J.; Castilla-Cortázar, I. A comparative study on poly(ε-caprolactone) film degradation at extreme pH values. Polym. Degrad. Stab. 2016, 130, 118–125. [Google Scholar] [CrossRef]
- Ouhadi, T.; Stevens, C.; Teyssié, P. Study of poly-ε-caprolactone bulk degradation. J. Appl. Polym. Sci. 1976, 20, 2963–2970. [Google Scholar] [CrossRef]
- Fields, R.D.; Rodriguez, F.; Finn, R.K. Microbial degradation of polyesters: Polycaprolactone degraded by P. pullulans. J. Appl. Polym. Sci. 1974, 18, 3571–3579. [Google Scholar] [CrossRef]






| Sample ID | CL (g) | Dx (%) * | BCY (g) | Sn(Oct)2 (g) | ϕ2 |
|---|---|---|---|---|---|
| PCL-11 | 1.1 | 10 | 0.12 | 0.041 | 0.74 |
| PCL-12 | 1.1 | 10 | 0.12 | 0.041 | 0.80 |
| PCL-13 | 1.1 | 10 | 0.12 | 0.041 | 0.85 |
| PCL-21 | 1.1 | 20 | 0.27 | 0.045 | 0.74 |
| PCL-22 | 1.1 | 20 | 0.27 | 0.045 | 0.80 |
| PCL-23 | 1.1 | 20 | 0.27 | 0.045 | 0.85 |
| PCL-31 | 1.1 | 30 | 0.47 | 0.049 | 0.74 |
| PCL-32 | 1.1 | 30 | 0.47 | 0.049 | 0.80 |
| PCL-33 | 1.1 | 30 | 0.47 | 0.049 | 0.85 |
| Sample ID | Tm, (°C) * | ΔHf, (J/g) * | Crystallinity (%) * | Density (g/cm3) | Porosity (%) |
|---|---|---|---|---|---|
| PCL-01 | 55.8 | 51.8 | 38.1 | - | - |
| PCL-11 | 35.1 | 21.5 | 15.8 | 0.45 ± 0.01 | 60.5 ± 1.2 |
| PCL-12 | 38.1 | 17.2 | 12.6 | 0.33 ± 0.03 | 71.4 ± 3.7 |
| PCL-13 | 33.6 | 7.7 | 5.7 | 0.29 ± 0.02 | 74.7± 2.5 |
| PCL-21 | 34.2 | 19.3 | 14.2 | 0.46 ± 0.04 | 60.1 ± 5.0 |
| PCL-22 | 33.7 | 14.9 | 11.0 | 0.42 ± 0.02 | 63.3 ± 2.5 |
| PCL-23 | 34.2 | 13.3 | 9.8 | 0.30 ± 0.02 | 73.5 ± 2.5 |
| PCL-31 | 33.6 | 17.9 | 13.2 | 0.66 ± 0.01 | 42.2 ± 1.2 |
| PCL-32 | 32.7 | 16.2 | 11.9 | 0.46 ± 0.03 | 60.0 ± 3.7 |
| PCL-33 | 31.6 | 13.6 | 10.0 | 0.37 ± 0.02 | 67.6 ± 2.3 |
| m/z | Structure | |
|---|---|---|
| Linear products: | 155 | H–[CL]1–OH + Na+ |
| 269 | H–[CL]2–OH + Na+ | |
| 360 | H–[CL]3–OH | |
| 383 | H–[CL]3–OH + Na+ | |
| 497 | H–[CL]4–OH + Na+ | |
| 611 | H–[CL]5–OH + Na+ | |
| 725 | H–[CL]6–OH + Na+ |
© 2020 by the authors. Licensee MDPI, Basel, Switzerland. This article is an open access article distributed under the terms and conditions of the Creative Commons Attribution (CC BY) license (http://creativecommons.org/licenses/by/4.0/).
Share and Cite
Erdal, N.B.; Lando, G.A.; Yadav, A.; Srivastava, R.K.; Hakkarainen, M. Hydrolytic Degradation of Porous Crosslinked Poly(ε-Caprolactone) Synthesized by High Internal Phase Emulsion Templating. Polymers 2020, 12, 1849. https://doi.org/10.3390/polym12081849
Erdal NB, Lando GA, Yadav A, Srivastava RK, Hakkarainen M. Hydrolytic Degradation of Porous Crosslinked Poly(ε-Caprolactone) Synthesized by High Internal Phase Emulsion Templating. Polymers. 2020; 12(8):1849. https://doi.org/10.3390/polym12081849
Chicago/Turabian StyleErdal, Nejla Benyahia, Gabriela Albara Lando, Anilkumar Yadav, Rajiv K. Srivastava, and Minna Hakkarainen. 2020. "Hydrolytic Degradation of Porous Crosslinked Poly(ε-Caprolactone) Synthesized by High Internal Phase Emulsion Templating" Polymers 12, no. 8: 1849. https://doi.org/10.3390/polym12081849
APA StyleErdal, N. B., Lando, G. A., Yadav, A., Srivastava, R. K., & Hakkarainen, M. (2020). Hydrolytic Degradation of Porous Crosslinked Poly(ε-Caprolactone) Synthesized by High Internal Phase Emulsion Templating. Polymers, 12(8), 1849. https://doi.org/10.3390/polym12081849

