A Refined Theory for Characterizing Adhesion of Elastic Coatings on Rigid Substrates Based on Pressurized Blister Test Methods: Closed-Form Solution and Energy Release Rate
Abstract
1. Introduction
2. Methods
- Open valve 1 and close valve 2, and fill the connecting and drainpipes with colored liquid. Then, a specimen of a thin film/substrate system is tightly adhered to the left container, as shown in Figure 4a. At this time, the pressure of the enclosed air in the left container is assumed to be equal to zero.
- Close valve 1 and pour colored liquid with volume into the right container, as shown in Figure 4b. Since valve 1 is closed, the pressure of the enclosed air in the left container remains .
- Open valve 1, and the colored liquid in the right container will slowly flow into the left one. After the height of colored liquid is stabilized, the height of colored liquid in the left container becomes , and the height of colored liquid in the right container becomes , as shown in Figure 4c. The relative pressure of the enclosed compressed air in the left container relative to ambient pressure becomesIn addition, under the action of pressure , a blistering thin film with radius of appears. This is the first loading, i.e., the step 1 of loading operation.
- Repeat the operations in 2 and 3, i.e., close valve 1 again and pour colored liquid with volume into the right container and then open valve 1. After step i of loading operation, the colored liquid with total volume (i = 2, 3, 4, …, n) is poured into the right container, the height of liquid in the left container becomes , and the height of liquid in the right container becomes , andThe relative pressure of the compressed air in the left container becomesUnder the action of pressure , the radius of the blistering thin film becomes , as shown in Figure 4d.
- After step n of loading operation, the radius of the blistering thin film is assumed to become a. Record the height of the liquid in the two containers and the radius of the blistering thin film after each step of loading operation, and open valve 2 to drain all the liquid in the right container to see if the blistering thin film fully becomes flat. If the blistering thin film is quick and fully becomes flat, then this indicates that the blistering thin film works within the elastic range, otherwise the results of this test are invalid.
3. Energy Release Rate
3.1. The External Work UF(a)
3.2. The Energy Ua(a)
3.3. The Elastic Strain Energy Uef(a)
3.4. The Accurate Formula of Energy Release Rate
4. Results and Discussions
4.1. Improvements on Experimental Setup and Theoretical Derivation of Energy Release Rate
- The experimental setup was improved to make it more reasonable.
- The work UF(a) is obtained by summing up the work UF,i caused by the change of liquid potential energy in each step of loading operation.
- The compression of the enclosed air in the left circular container can be regarded as isothermal compression. So, the energy Ua(a) absorbed when the enclosed air is compressed will be released into the atmosphere in the form of heat energy, instead of being stored in the enclosed air. From this point of view, the energy Ua(a) can be obtained by calculating the energy released when the enclosed air is isothermal compressed.
- The formula used to calculate the volume V under the blistering thin film is revised.
- More importantly, a more accurate formula for determining the strain energy Uef(a) stored in the blistering film is derived out based on the obtained refined closed-form solution of the problem of axisymmetric deformation of the pressurized blistering thin film. Compared with the existing solutions of the well-known Hencky solution, the assumptions or approximations used in the out-of-plane equilibrium equation, in-plane equilibrium equation and geometric equation were simultaneously given up during the derivation of the presented refined closed-form solution.
- Based on the above-mentioned improvements and revisions, a new and more refined theory for characterizing the adhesion between elastic coatings and rigid substrates is finally developed.
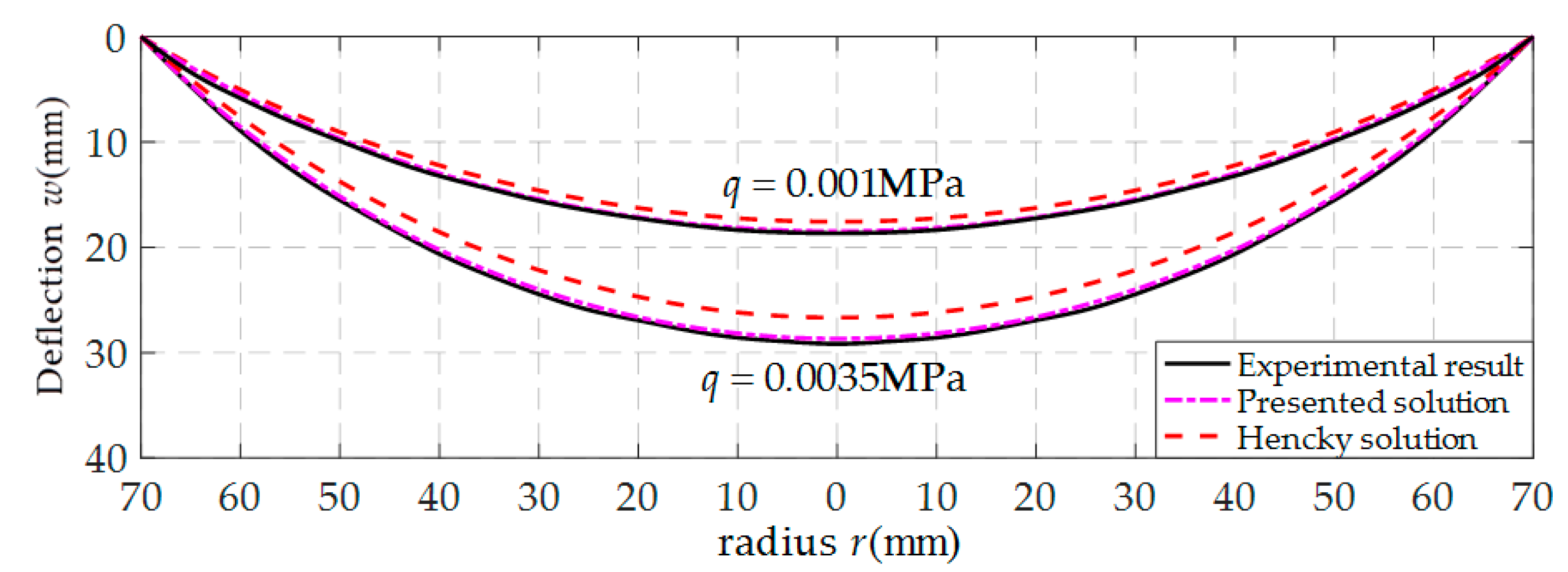
4.2. Experimental Verification and Discussion on the Refined Closed-Form Solution
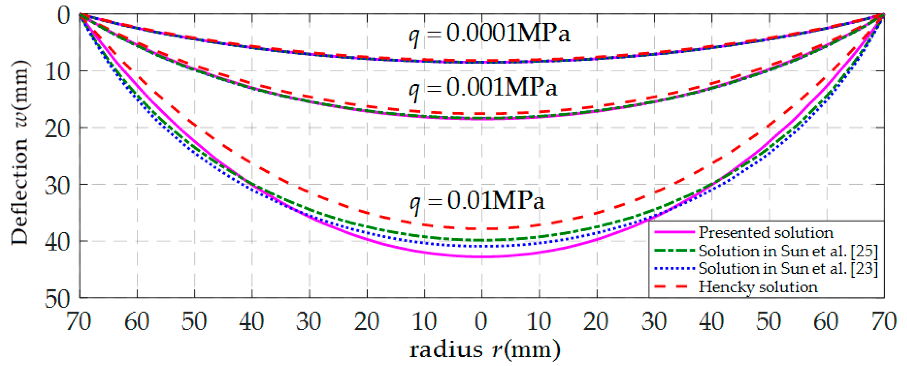
4.3. The error of Uef(a) Brought by the Assumptions Used in the Well-Known Hencky Solution
5. Concluding Remarks
Author Contributions
Funding
Conflicts of Interest
Nomenclature
| UF | external work caused by the change of the potential energy of the liquid |
| UF(a) | the UF when r = a |
| Ua | energy absorbed by the enclosed air |
| Ua(a) | the Ua when r = a |
| Uef | elastic strain energy stored in the blistering thin film |
| Uef(a) | the Uef when r = a |
| Ud | energy released on the delamination region |
| G | energy release rate |
| K | proportional coefficient |
| S | area of the circular delamination region |
| a | radius of the circular delamination region |
| R0 | radius of the hole in the rigid substrate |
| R | inner radius of the container |
| H1 | initial height of the air in left container |
| H | height of the liquid added to the right container each time |
| h1,i | height of liquid in the left container after step i of loading operation |
| h2,i | height of liquid in the right container after step i of loading operation |
| ρ | density of the liquid in the container |
| g | acceleration of gravity |
| P | pressure of gas |
| V | volume of gas |
| N | number of gas molecules per unit volume |
| K | Boltzmann constant |
| T | temperature of gas |
| V0 | initial volume of the air in left container |
| Vn | volume of the air in left container after the step n of loading operation |
| r | radial coordinate |
| w | transversal displacement |
| u | radial displacement |
| h | thickness of the membrane |
| θ | slope angle of the deflected membrane |
| σr | radial stress |
| σt | circumferential stress |
| er | radial strain |
| et | circumferential strain |
| E | Young’s modulus of elasticity |
| Poisson’s ratio | |
| x | dimensionless form of r |
| Q | dimensionless form of q |
| W | dimensionless form of w |
| U | dimensionless form of u |
| Sr | dimensionless form of σr |
| St | dimensionless form of σt |
| bi, ci, di | coefficients of Sr, St and W |
Appendix A. Derivation of the In-Plane Equilibrium Equation


Appendix B
References
- Ni, S.Z.; Zhang, H.; Dai, H.Q.; Xiao, H.N. Starch-based flexible coating for food packaging paper with exceptional hydrophobicity and antimicrobial activity. Polymers 2018, 10, 1260. [Google Scholar] [CrossRef] [PubMed]
- Keblouti, O.; Boulanouar, L.; Azizi, M.W.; Bouziane, A. Multi response optimization of surface roughness in hard turning with coated carbide tool based on cutting parameters and tool vibration. Struct. Eng. Mech. 2019, 70, 395–405. [Google Scholar]
- Di Barba, P.; Fattorusso, L.; Versaci, M. A 2D non-linear second-order differential model for electrostatic circular membrane MEMS devices: A result of existence and uniqueness. Mathematics 2019, 7, 1193. [Google Scholar] [CrossRef]
- Long, N.H.; Park, H.W.; Chae, G.S.; Lee, J.H.; Bae, S.W.; Shin, S. Preparation of peelable coating films with a metal organic framework (UiO-66) and self-crosslinkable polyurethane for the decomposition of methyl paraoxon. Polymers 2019, 11, 1298. [Google Scholar] [CrossRef]
- Rehman, A.; Salleh, Z.; Gul, T.; Zaheer, Z. The impact of viscous dissipation on the thin film unsteady flow of GO-EG/GO-W nanofluids. Mathematics 2019, 7, 653. [Google Scholar] [CrossRef]
- Iconaru, S.L.; Groza, A.; Stan, G.E.; Predoi, D.; Gaiaschi, S.; Trusca, R.; Chifiriuc, C.M.; Marutescu, L.; Tite, T.; Stanciu, G.A.; et al. Preparations of silver/montmorillonite biocomposite multilayers and their antifungal activity. Coatings 2019, 9, 817. [Google Scholar] [CrossRef]
- Groza, A.; Dreghici, D.B.; Ganciu, M. Calcium phosphate layers deposited on thermal sensitive polymer substrates in radio frequency magnetron plasma discharge. Coatings 2019, 9, 709. [Google Scholar] [CrossRef]
- Jin, C. Analysis of energy release rate and bending-to-stretching behavior in the shaft-loaded blister test. Int. J. Solids. Struct. 2008, 45, 6485–6500. [Google Scholar] [CrossRef]
- Sun, J.Y.; Qian, S.H.; Li, Y.M.; He, X.T.; Zheng, Z.L. Theoretical study of adhesion energy measurement for film/substrate interface using pressurized blister test: Energy release rate. Measurement 2013, 46, 2278–2287. [Google Scholar] [CrossRef]
- Xin, H.; Borduin, R.; Jiang, W.; Liechti, K.M.; Li, W. Adhesion energy of as-grown graphene on copper foil with a blister test. Carbon 2017, 123, 243–249. [Google Scholar] [CrossRef]
- Song, J.R.; Wei, Y.G. Trans-scale characterization of interface fracture in peel test for metal film/ceramic substrate systems. Eng. Fract. Mech. 2019, 221, 106679. [Google Scholar] [CrossRef]
- Pettersson, S.; Engqvist, J.; Hall, S.; Toft, N.; Hallberg, H. Peel testing of a packaging material laminate studied by in-situ X-ray tomography and cohesive zone modeling. Int. J. Adhes. Adhes. 2019, 95, 102428. [Google Scholar] [CrossRef]
- Beck, U.; Reiners, G.; Lerche, D.; Rietz, U.; Niederwald, H. Quantitative adhesion testing of optical coatings by means of centrifuge technology. Surf. Coat. Technol. 2011, 205, S182–S186. [Google Scholar] [CrossRef]
- Beck, U.; Hielscher, S.; Weise, M.; Mix, R.; Lerche, D.; Rietz, U. Progress in quantitative adhesion testing of films and coatings by means of centrifuge technology—Present state of the art. In Proceedings of the 13th International Conference on Plasma Surface Engineering, Garmisch-Partenkirchen, Germany, 10–14 September 2012. [Google Scholar]
- Yang, Z.X.; Sun, J.Y.; Li, K.; Lian, Y.S.; He, X.T.; Zheng, Z.L. Theoretical study on synchronous characterization of surface and interfacial mechanical properties of thin-film/substrate systems with residual stress based on pressure blister test technique. Polymers 2018, 10, 49. [Google Scholar] [CrossRef] [PubMed]
- Na, H.N.; Chen, P.; Wan, K.T.; Wong, S.C.; Li, Q.; Ma, Z.J. Measurement of adhesion work of electrospun polymer membrane by shaft-loaded blister test. Langmuir 2012, 28, 6677–6683. [Google Scholar] [CrossRef] [PubMed]
- Boulogne, F.; Khodaparast, S.; Poulard, C.; Stone, H.A. Protocol to perform pressurized blister tests on thin elastic films. Eur. Phys. J. E 2017, 40, 64. [Google Scholar] [CrossRef]
- Harvey, C.M.; Wang, S.M.; Yuan, B.; Thomson, R.C.; Critchlow, G.W. Determination of mode I and II adhesion toughness of monolayer thin films by circular blister tests. Theor. Appl. Fract. Mec. 2018, 94, 34–39. [Google Scholar] [CrossRef]
- de Barros, S.; Fadhil, B.M.; Alila, F.; Diop, J.; Reis, J.M.L.; Casari, P.; Jacquemin, F. Using blister test to predict the failure pressure in bonded composite repaired pipes. Compos. Struct. 2019, 211, 125–133. [Google Scholar] [CrossRef]
- Chen, X.M.; Shaw, C.; Gelman, L.; Grattan, K.T.V. Advances in test and measurement of the interface adhesion and bond strengths in coating-substrate systems, emphasising blister and bulk techniques. Measurement 2019, 139, 387–402. [Google Scholar] [CrossRef]
- Sun, J.Y.; Rong, Y.; He, X.T.; Gao, X.W.; Zheng, Z.L. Power series solution of circular membrane under uniformly distributed loads: Investigation into Hencky transformation. Struct. Eng. Mech. 2013, 45, 631–641. [Google Scholar] [CrossRef]
- Robert, W.; Alan, T.; Philip, J.; John, C. Fluid Mechanics, 8th ed.; John Wiely & Sons: New York, NY, USA, 2012; pp. 61–62. [Google Scholar]
- Lian, Y.S.; Sun, J.Y.; Yang, Z.X.; He, X.T.; Zheng, Z.L. Closed-form solution of well-known Hencky problem without small-rotation-angle assumption. Z. Angew. Math. Mech. 2016, 96, 1434–1441. [Google Scholar] [CrossRef]
- Lian, Y.S.; Sun, J.Y.; Dong, J.; Zheng, Z.L.; Yang, Z.X. Closed-form solution of axisymmetric deformation of prestressed Föppl-Hencky membrane under constrained deflecting. Struct. Eng. Mech. 2019, 69, 693–698. [Google Scholar]
- Lian, Y.S.; Sun, J.Y.; Zhao, Z.H.; He, X.T.; Zheng, Z.L. A Revisit of the boundary value problem for Föppl–Hencky membranes: Improvement of geometric equations. Mathematics 2020, 8, 631. [Google Scholar] [CrossRef]
- Wan, K.T.; Mai, Y.W. Fracture mechanics of a new blister test with stable crack growth. Acta Metall. Mater. 1995, 43, 4109–4115. [Google Scholar] [CrossRef]
- Koenig, S.P.; Boddeti, N.G.; Dunn, M.L.; Bunch, J.S. Ultrastrong adhesion of graphene membranes. Nat. Nanotechnol. 2011, 6, 543. [Google Scholar]











| Analytic Solution | q(MPa) | di (i = 2, 4, 6, …) | Uef(a) (×10−3 J) | |||||
|---|---|---|---|---|---|---|---|---|
| d2 | d4 | d6 | d8 | d10 | d12 | |||
| Hencky solution | 0.001 | −0.1915 | −0.0158 | −0.0029 | −0.0007 | −0.0002 | −0.00004 | 0.6862 |
| 0.01 | −0.4126 | −0.0341 | −0.0063 | −0.0014 | −0.0004 | −0.0001 | 14.7842 | |
| 0.03 | −0.5951 | −0.0492 | −0.0090 | −0.0020 | −0.0005 | −0.0001 | 63.9382 | |
| Refined closed-form solution | 0.001 | −0.1913 | −0.0162 | −0.0039 | −0.0012 | −0.0005 | −0.0002 | 0.6970 |
| 0.01 | −0.4237 | −0.0435 | −0.0074 | −0.0031 | −0.0019 | −0.0011 | 15.7963 | |
| 0.03 | −0.6927 | −0.1166 | 0.0565 | 0.0550 | −0.0302 | −0.0605 | 78.1752 | |
© 2020 by the authors. Licensee MDPI, Basel, Switzerland. This article is an open access article distributed under the terms and conditions of the Creative Commons Attribution (CC BY) license (http://creativecommons.org/licenses/by/4.0/).
Share and Cite
Lian, Y.-S.; Sun, J.-Y.; Zhao, Z.-H.; Li, S.-Z.; Zheng, Z.-L. A Refined Theory for Characterizing Adhesion of Elastic Coatings on Rigid Substrates Based on Pressurized Blister Test Methods: Closed-Form Solution and Energy Release Rate. Polymers 2020, 12, 1788. https://doi.org/10.3390/polym12081788
Lian Y-S, Sun J-Y, Zhao Z-H, Li S-Z, Zheng Z-L. A Refined Theory for Characterizing Adhesion of Elastic Coatings on Rigid Substrates Based on Pressurized Blister Test Methods: Closed-Form Solution and Energy Release Rate. Polymers. 2020; 12(8):1788. https://doi.org/10.3390/polym12081788
Chicago/Turabian StyleLian, Yong-Sheng, Jun-Yi Sun, Zhi-Hang Zhao, Shou-Zhen Li, and Zhou-Lian Zheng. 2020. "A Refined Theory for Characterizing Adhesion of Elastic Coatings on Rigid Substrates Based on Pressurized Blister Test Methods: Closed-Form Solution and Energy Release Rate" Polymers 12, no. 8: 1788. https://doi.org/10.3390/polym12081788
APA StyleLian, Y.-S., Sun, J.-Y., Zhao, Z.-H., Li, S.-Z., & Zheng, Z.-L. (2020). A Refined Theory for Characterizing Adhesion of Elastic Coatings on Rigid Substrates Based on Pressurized Blister Test Methods: Closed-Form Solution and Energy Release Rate. Polymers, 12(8), 1788. https://doi.org/10.3390/polym12081788

