Structural Insights of Humins/Epoxidized Linseed Oil/ Hardener Terpolymerization
Abstract
1. Introduction
2. Materials and Methods
2.1. Materials
2.2. Samples Preparation
2.3. Experimental Techniques
3. Results and Interpretations
3.1. Hypothesis on HU/ELO/CAP Copolymerization Mechanism
3.2. Study of HU/ELO/CAP Reactivity and Gelation by Rheometry
3.3. Infrared Spectroscopies Study on HU/ELO/CAP Copolymerization System
3.4. NMR Spectroscopy Studies
3.4.1. Characterization of the Components of Copolymerization System ELO
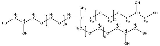
3.4.2. Capcure
3.4.3. Humins
3.4.4. Copolymerization Process
3.4.5. ELO Reactivity with the HU
3.4.6. Capcure Reactivity with the HU
3.4.7. ELO Reactivity with the Capcure
4. Conclusions
Supplementary Materials
Author Contributions
Funding
Acknowledgments
Conflicts of Interest
References
- Van Putten, R.-J.; Van Der Waal, J.C.; De Jong, E.; Rasrendra, C.; Heeres, H.; De Vries, J.G. Hydroxymethylfurfural, A Versatile Platform Chemical Made from Renewable Resources. Chem. Rev. 2013, 113, 1499–1597. [Google Scholar] [CrossRef] [PubMed]
- De Jong, E.; Higson, A.; Walsh, P.; Wellisch, M. Product developments in the bio-based chemicals arena. Biofuels Bioprod. Biorefining 2012, 6, 606–624. [Google Scholar] [CrossRef]
- De Jong, E.; Vijlbrief, T.; Hijkoop, R.; Gruter, G.-J.M.; Van Der Waal, J.C. Promising results with YXY Diesel components in an ESC test cycle using a PACCAR Diesel engine. Biomass- Bioenergy 2012, 36, 151–159. [Google Scholar] [CrossRef]
- De Jong, E.; Dam, M.A.; Sipos, L.; Gruter, G.-J.M. Furandicarboxylic Acid (FDCA), A Versatile Building Block for a Very Interesting Class of Polyesters. In Proceedings of the ACS Symposium Series; American Chemical Society (ACS): Washington, DC, USA, 2012; Volume 1105, pp. 1–13. [Google Scholar]
- Van Zandvoort, I.; Wang, Y.; Rasrendra, C.; Van Eck, E.R.H.; Bruijnincx, P.C.A.; Heeres, H.; Weckhuysen, B.M. Formation, Molecular Structure, and Morphology of Humins in Biomass Conversion: Influence of Feedstock and Processing Conditions. ChemSusChem 2013, 6, 1745–1758. [Google Scholar] [CrossRef]
- Mulder, G.J. Untersuchungen über die Humussubstanzen; WILEY-VCH Verlag GmbH & Co. KGaA: Weinheim, Germany, 1840; Volume 21, pp. 203–240. [Google Scholar]
- Salak Asghari, F.; Yoshida, H. Acid-Catalyzed Production of 5-Hydroxymethyl Furfural from\n d\n -Fructose in Subcritical Water. Ind. Eng. Chem. Res. 2006, 45, 2163–2173. [Google Scholar] [CrossRef]
- Asghari, F.S.; Yoshida, H. Kinetics of the Decomposition of Fructose Catalyzed by Hydrochloric Acid in Subcritical Water: Formation of 5-Hydroxymethylfurfural, Levulinic, and Formic Acids. Ind. Eng. Chem. Res. 2007, 46, 7703–7710. [Google Scholar] [CrossRef]
- Sumerskii, I.V.; Krutov, S.M.; Zarubin, M.Y. Humin-like substances formed under the conditions of industrial hydrolysis of wood. Russ. J. Appl. Chem. 2010, 83, 320–327. [Google Scholar] [CrossRef]
- Baccile, N.; Laurent, G.P.; Babonneau, F.; Fayon, F.; Titirici, M.; Antonietti, M. Structural Characterization of Hydrothermal Carbon Spheres by Advanced Solid-State MAS 13C NMR Investigations. J. Phys. Chem. C 2009, 113, 9644–9654. [Google Scholar] [CrossRef]
- Falco, C.; Baccile, N.; Titirici, M. Morphological and structural differences between glucose, cellulose and lignocellulosic biomass derived hydrothermal carbons. Green Chem. 2011, 13, 3273. [Google Scholar] [CrossRef]
- Sevilla, M.; Fuertes, A.B. The production of carbon materials by hydrothermal carbonization of cellulose. Carbon 2009, 47, 2281–2289. [Google Scholar] [CrossRef]
- Sevilla, M.; Fuertes, A.B.; Solis, M.S. Chemical and Structural Properties of Carbonaceous Products Obtained by Hydrothermal Carbonization of Saccharides. Chem.-A Eur. J. 2009, 15, 4195–4203. [Google Scholar] [CrossRef] [PubMed]
- Yao, C.; Shin, Y.; Wang, L.-Q.; Windisch, C.F.; Samuels, W.D.; Arey, B.W.; Wang, C.; Risen, W.M.; Exarhos, G.J. Hydrothermal Dehydration of Aqueous Fructose Solutions in a Closed System. J. Phys. Chem. C 2007, 111, 15141–15145. [Google Scholar] [CrossRef]
- Titirici, M.; Antonietti, M.; Baccile, N. Hydrothermal carbon from biomass: A comparison of the local structure from poly- to monosaccharides and pentoses/hexoses. Green Chem. 2008, 10, 1204. [Google Scholar] [CrossRef]
- Constant, S.; Lancefield, C.S.; Weckhuysen, B.M.; Bruijnincx, P.C.A. Quantification and Classification of Carbonyls in Industrial Humins and Lignins by 19F NMR. ACS Sustain. Chem. Eng. 2016, 5, 965–972. [Google Scholar] [CrossRef]
- Cheng, Z.; Everhart, J.L.; Tsilomelekis, G.; Nikolakis, V.; Saha, B.; Vlachos, D.G.; Vlachos, D. Structural analysis of humins formed in the Brønsted acid catalyzed dehydration of fructose. Green Chem. 2018, 20, 997–1006. [Google Scholar] [CrossRef]
- Xia, Y.; LaRock, R.C. Vegetable oil-based polymeric materials: Synthesis, properties, and applications. Green Chem. 2010, 12, 1893–1909. [Google Scholar] [CrossRef]
- Pfister, D.P.; Xia, Y.; LaRock, R.C. Recent Advances in Vegetable Oil-Based Polyurethanes. ChemSusChem 2011, 4, 703–717. [Google Scholar] [CrossRef] [PubMed]
- Güner, F.S.; Yagci, Y.; Erciyes, A.T. Polymers from triglyceride oils. Prog. Polym. Sci. 2006, 31, 633–670. [Google Scholar] [CrossRef]
- Mehta, G.; Singh, V. Progress in the construction of cyclooctanoid systems: New approaches and applications to natural product syntheses. Chem. Rev. 1999, 99, 881–930. [Google Scholar] [CrossRef]
- Klaas, M.R.G.; Warwel, S. Complete and partial epoxidation of plant oils by lipase-catalyzed perhydrolysis. Ind. Crop. Prod. 1999, 9, 125–132. [Google Scholar] [CrossRef]
- Park, S.-J.; Jin, F.-L.; Lee, J.-R. Synthesis and Thermal Properties of Epoxidized Vegetable Oil. Macromol. Rapid Commun. 2004, 25, 724–727. [Google Scholar] [CrossRef]
- Adhvaryu, A.; Erhan, S. Epoxidized soybean oil as a potential source of high-temperature lubricants. Ind. Crop. Prod. 2002, 15, 247–254. [Google Scholar] [CrossRef]
- Lathi, P.S.; Mattiasson, B. Green approach for the preparation of biodegradable lubricant base stock from epoxidized vegetable oil. Appl. Catal. B Environ. 2007, 69, 207–212. [Google Scholar] [CrossRef]
- Mohanty, A.K.; Misra, M.; Drzal, L.T. Natural Fibers, Biopolymers and Biocomposites; CRC Press, Taylor & Francis Group: Boca Raton, FL, USA, 2005. [Google Scholar]
- Lligadas, G.; Ronda, J.C.; Galia, M.; Cádiz, V. Plant Oils as Platform Chemicals for Polyurethane Synthesis: Current State-of-the-Art. Biomacromolecules 2010, 11, 2825–2835. [Google Scholar] [CrossRef]
- Galià, M.; De Espinosa, L.M.; Ronda, J.C.; Lligadas, G.; Cádiz, V. Vegetable oil-based thermosetting polymers. Eur. J. Lipid Sci. Technol. 2010, 112, 87–96. [Google Scholar] [CrossRef]
- Supanchaiyamat, N.; Shuttleworth, P.S.; Hunt, A.J.; Clark, J.H.; Matharu, A.S. Thermosetting resin based on epoxidised linseed oil and bio-derived crosslinker. Green Chem. 2012, 14, 1759–1765. [Google Scholar] [CrossRef]
- Luo, Q.; Liu, M.; Xu, Y. (Frank); Ionescu, M.; Petrović, Z.S. Thermosetting Allyl Resins Derived from Soybean Oil. Macromol. 2011, 44, 7149–7157. [Google Scholar] [CrossRef]
- Wang, R. Vegetable oil-derived epoxy monomers and polymer blends: A comparative study with review. Express Polym. Lett. 2013, 7, 272–292. [Google Scholar] [CrossRef]
- Piazza, G.; Foglia, T.A. Preparation of fatty amide polyols via epoxidation of vegetable oil amides by oat seed peroxygenase. J. Am. Oil Chem. Soc. 2005, 82, 481–485. [Google Scholar] [CrossRef]
- Altuna, F.I.; Espósito, L.H.; Ruseckaite, R.A.; Stefani, P.M. Thermal and mechanical properties of anhydride-cured epoxy resins with different contents of biobased epoxidized soybean oil. J. Appl. Polym. Sci. 2010, 120, 789–798. [Google Scholar] [CrossRef]
- Tian, Q.; LaRock, R.C. Model studies and the ADMET polymerization of soybean oil. J. Am. Oil Chem. Soc. 2002, 79, 479–488. [Google Scholar] [CrossRef]
- Li, F.; Larock, R.C. New Soybean Oil–Styrene–Divinylbenzene Thermosetting Copolymers. II. Dynamic Mechanical Properties. J. Polym. Sci. B 2000, 38, 2721–2738. [Google Scholar]
- Boquillon, N.; Fringant, C. Polymer networks derived from curing of epoxidised linseed oil: Influence of different catalysts and anhydride hardeners. Polym. 2000, 41, 8603–8613. [Google Scholar] [CrossRef]
- Miyagawa, H.; Mohanty, A.K.; Misra, M.; Drzal, L.T. Thermo-Physical and Impact Properties of Epoxy Containing Epoxidized Linseed Oil. Macromol. Mater Eng. 2004, 289, 629–635. [Google Scholar] [CrossRef]
- Fenollar, O.; Garcia-Sanoguera, D.; Sánchez, L.; López, J.; Balart, R. Effect of the epoxidized linseed oil concentration as natural plasticizer in vinyl plastisols. J. Mater. Sci. 2010, 45, 4406–4413. [Google Scholar] [CrossRef]
- Stemmelen, M.; Pessel, F.; Lapinte, V.; Caillol, S.; Habas, J.-P.; Robin, J.-J. A fully biobased epoxy resin from vegetable oils: From the synthesis of the precursors by thiol?ene reaction to the study of the final material. J. Polym. Sci. Part. A Polym. Chem. 2011, 49, 2434–2444. [Google Scholar] [CrossRef]
- Licsandru, E.; D’Azur, U.N.-S.A.U.C. from biorefinery by-product to bioresins. Thermosets based on humins and epoxidized linseed oil. Cellul. Chem. Technol. 2019, 53, 963–969. [Google Scholar] [CrossRef]
- Filiciotto, L.; Balu, A.M.; Romero, A.A.; Rodriguez-Castell, E.; van der Waal, J.C.; Luque, R. Benign-by-design preparation of humin-based iron oxide catalytic nanocomposites. Green Chem. 2017, 19, 4423–4434. [Google Scholar] [CrossRef]
- Pin, J.-M.; Guigo, N.; Vincent, L.; Sbirrazzuoli, N.; Mija, A. Copolymerisation as a strategy to combine epoxidized linseed oil and furfuryl alcohol: The design of a fully bio-based thermoset. ChemSusChem 2015, 8, 4149–4161. [Google Scholar] [CrossRef]
- Jebrane, M.; Cai, S.; Sandström, C.; Terziev, N. The reactivity of linseed and soybean oil with different epoxidation degree towards vinyl acetate and impact of the resulting copolymer on the wood durability. EXPRESS Polym. Lett. 2017, 11, 383–395. [Google Scholar] [CrossRef]
- Sushil, K.R.P.; Heltzel, J.; Lund, C.R.F. Comparison of Structural Features of Humins Formed Catalytically from Glucose, Fructose, and 5-Hydroxymethylfurfuraldehyde. Energy Fuels 2012, 26, 5281–5293. [Google Scholar]
- Caillol, S.; Desroches, M.; Boutevin, G.; Loubat, C.; Auvergne, R.; Boutevin, B. Synthesis of new polyester polyols from epoxidized vegetable oils and biobased acids. Eur. J. Lipid Sci. Technol. 2012, 114, 1447–1459. [Google Scholar] [CrossRef]
- Sharma, B.K.; Adhvaryu, A.; Liu, Z.; Erhan, S.Z. Chemical Modification of Vegetable Oils for Lubricant Applications. JAOCS 2006, 83, 129–136. [Google Scholar] [CrossRef]
- Sharma, B.K.; Adhvaryu, A.; Erhan, S.Z. Synthesis of Hydroxy Thio-ether Derivatives of Vegetable Oil. J. Agric. Food Chem. 2006, 54, 9866–9872. [Google Scholar] [CrossRef] [PubMed]
- Tam, J.P.; Wu, C.-R.; Liu, W.; Zhang, J.-W. Disulfide Bond Formation in Peptides by Dimethyl Sulfoxide. Scope and Applications. J. Am. Chem. Soc. 1991, 113, 6657–6662. [Google Scholar] [CrossRef]
Signal | 13C δ ppm | 1H δ ppm | Structure |
---|---|---|---|
aE | 13.75–13.93 | 0.81–0.88 | CH3–(CH2)3- |
bE | 10.23–10.55 | 0.93–0.99 | CH3–CH2 -epoxide |
cE | 21.94–22.17 28.14–29.15 31–31.4 | 1.18–1.33 | (CH2) β group (epoxide, carbonyl) |
dE | 20.51–20.74 25.51–26.15 27–27.43 | 1.34–1.47 | (CH2) α group (epoxide, carbonyl) |
eE | 24.23–24.51 | 1.47–1.55 | (CH2) β group (carbonyl) |
fE | 33.20–33.50 | 2.21–2.31 | –CH2–C=O |
gE | 57.22–53.15 | 2.84–3.12 | CH epoxide |
hE | 26.26–26.63 | 1.56–1.88 | (CH2) α, α’ epoxide |
iE | 172.01–172.57 | / | C=O |
jE | 61.75 | 4.29–4.77 | –CH2–O |
kE | 68.73 | 5.14–5.21 | O–CH–(CH2–O)2 |
Signal | δ ppm 1H | δ ppm 13C | Structure |
---|---|---|---|
1c | 2.08 (t) | / | SH |
2c | 2.47 (m); 2.61 (m) | 28.07 | CH2–SH |
3c | 3.85 (m) | 70.9 | CH–OH |
4c | 4.91 | / | OH |
5c | 3.58 (m) | 77.06–74.73 * 73.7–69.92 * 69.88–69.38 * | HO–CH–CH2–O |
6c | 3.68 (m); 3.52(m) | 64.96; 74.47 | CH–CH3 |
7c | 1.02 (m); 1.04 (m) | 20.35; 17.24 | CH3–CH |
8c | 3.23; 3.33 | 77.06–73.73 * 73.7–69.92 * 69.88–69.38 * | CH3–CH–CH2–O |
9c | 3.342 | 77.06–74.73 * 73.7–69.92 * 69.88–69.38* | (R1)3–C–CH2–O |
10c | / | 45.27 | (R1)3–C–R1 |
© 2020 by the authors. Licensee MDPI, Basel, Switzerland. This article is an open access article distributed under the terms and conditions of the Creative Commons Attribution (CC BY) license (http://creativecommons.org/licenses/by/4.0/).
Share and Cite
Licsandru, E.; Gaysinski, M.; Mija, A. Structural Insights of Humins/Epoxidized Linseed Oil/ Hardener Terpolymerization. Polymers 2020, 12, 1583. https://doi.org/10.3390/polym12071583
Licsandru E, Gaysinski M, Mija A. Structural Insights of Humins/Epoxidized Linseed Oil/ Hardener Terpolymerization. Polymers. 2020; 12(7):1583. https://doi.org/10.3390/polym12071583
Chicago/Turabian StyleLicsandru, Erol, Marc Gaysinski, and Alice Mija. 2020. "Structural Insights of Humins/Epoxidized Linseed Oil/ Hardener Terpolymerization" Polymers 12, no. 7: 1583. https://doi.org/10.3390/polym12071583
APA StyleLicsandru, E., Gaysinski, M., & Mija, A. (2020). Structural Insights of Humins/Epoxidized Linseed Oil/ Hardener Terpolymerization. Polymers, 12(7), 1583. https://doi.org/10.3390/polym12071583