Dynamic Constitutive Model of Ultra-High Molecular Weight Polyethylene (UHMWPE): Considering the Temperature and Strain Rate Effects
Abstract
1. Introduction
2. Materials and Methods
2.1. Materials and Sample Preparation
2.2. SHPB Testing
3. Results and Discussion
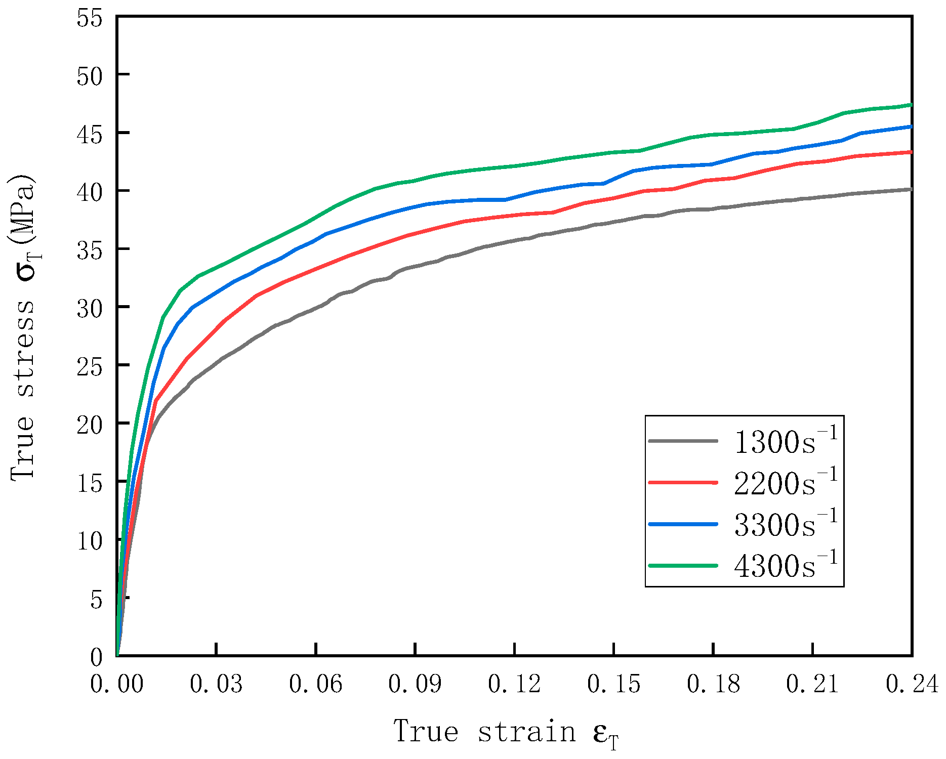
3.1. Strain Rate Effect
3.2. Temperature Effect
3.3. Microscopic Deformation Behaviour
4. Constitutive Model
4.1. Establishment of Constitutive Model
4.1.1. Strain Rate Effect
4.1.2. Temperature Effect
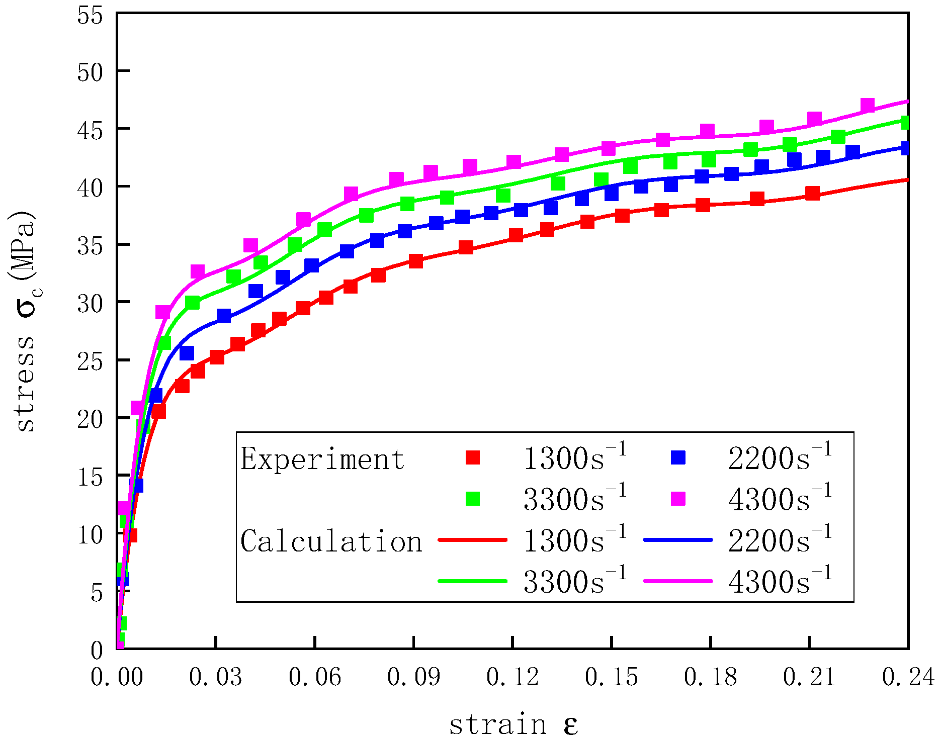
4.2. Verification of Constitutive Equation
5. Conclusions
Author Contributions
Funding
Acknowledgments
Conflicts of Interest
References
- Somg, H.J. Research progress of UHMWPE artificial joint modified by nano materials. Plast. Technol. 2020, 48, 119–122. [Google Scholar]
- He, J.M.; Xue, P.; He, Y.D. Properties and applications of UHMWPE. Eng. Plast. Appl. 1996, 5, 55–59. [Google Scholar]
- Chen, Z.; Wang, J.X.; Qin, D.T. Properties and application of UHMWPE in machinery. Mech. Eng. Mater. 2001, 8, 1–3. [Google Scholar]
- Huang, A.P.; Zhu, B.C.; Jia, J.J.; Liu, Y.Q. Development and application of UHMWPE. Polym. Bull. 2012, 127–132. [Google Scholar]
- Gao, H.; Yang, H.W. Study on the ballistic performance of UHMWPE fiber composite target. J. Armored Force Eng. Coll. 2014, 28, 91–93. [Google Scholar]
- Li, W.; Li, J.; Ye, Y. Numerical analysis of bullet proof performance of UHMWPE fiber laminate. Weapon Mater. Sci. Eng. 2012, 35, 84–87. [Google Scholar]
- Zhang, Y.M. Ballistic Performance of SiC Ceramic/UHMWPE Composite Armor. Master’s Thesis, Hunan University, Changsha, China, 2018. [Google Scholar]
- Bergström, J.S.; Kurtz, S.M.; Rimnac, C.M.; Edidin, A.A. Constitutive modeling of ultra-high molecular weight polyethylene under large-deformation and cyclic loading conditions. Biomaterials 2002, 23, 2329–2343. [Google Scholar] [CrossRef]
- Kurtz, S.M.; Pruitt, L.; Jewett, C.W.; Crawford, R.P.; Crane, D.J.; Edidin, A.A. The yielding, plastic flow, and fracture behavior of ultra-high molecular weight polyethylene used in total joint replacements. Biomaterials 1998, 19, 1989–2003. [Google Scholar] [CrossRef]
- Cioroianu, A.R.; Spiesz, E.M.; Storm, C. An improved non-affine arruda-boyce type constitutive model for collagen networks. Biophys. J. 2013, 104, 511a. [Google Scholar] [CrossRef]
- Hossain, M.; Steinmann, P. Modelling and simulation of the curing process of polymers by a modified formulation of the Arruda-Boyce model. Arch. Mech. 2011, 63, 621–633. [Google Scholar]
- Cho, H.; Rinaldi, R.G.; Boyce, M.C. Constitutive modeling of the rate-dependent resilient and dissipative large deformation behavior of a segmented copolymer polyurea. Soft Matter 2013, 9, 6319–6330. [Google Scholar] [CrossRef]
- Dal, H.; Kaliske, M. Bergström–Boyce model for nonlinear finite rubber viscoelasticity: Theoretical aspects and algorithmic treatment for the FE method. Comput. Mech. 2009, 44, 809–823. [Google Scholar] [CrossRef]
- Kurtz, S.M.; Villarraga, M.L.; Herr, M.P.; Bergström, J.S.; Rimnac, C.M.; Edidin, A.A. Thermomechanical behavior of virgin and highly crosslinked ultra-high molecular weight polyethylene used in total joint replacements. Biomaterials 2002, 23, 3681–3697. [Google Scholar] [CrossRef]
- Xu, M.M.; Huang, G.Y.; Feng, S.S.; Mcshane, G.; Stronge, W. Static and dynamic properties of semi-crystalline polyethylene. Polymers 2016, 8, 77. [Google Scholar] [CrossRef] [PubMed]
- Qin, X.P.; Zeng, C.; Wu, S.C.; Yin, X. Compressibility experiments of UHMWPE with different molecular weights. Chem. Eng. Equip. 2017, 16–18. [Google Scholar]
- Zhang, K.B.; Li, W.B.; Wang, X.M.; Yao, W.J.; Song, P.; Zhao, C.F. A constitutive model of the compressive mechanical properties of ultra high molecular weight polyethylene (UHMWPE) at different temperatures and different strain rates. Mater. Res. Express 2020, 6, 125370. [Google Scholar] [CrossRef]
- Hu, Y.; Shi, Y.; Liu, D.; Guo, J.; Zhang, J.; Chen, Z. Damage tolerance of 2-dimentional UHMWPE/CF hybrid woven laminates subjected to low-velocity impact. Mater. Des. 2020, 191, 10864. [Google Scholar] [CrossRef]
- Sun, S.F.; Wu, X.T.; Li, H.P.; Meng, Y.P. Numerical simulation of sample shape and size effect in SHPB experiment. J. Hefei Univ. Technol. 2008, 1509–1512. [Google Scholar]
- Hughes, F.; Prudom, A.; Swallowe, G. The high strain-rate behaviour of three molecular weights ofpolyethylene examined with a magnesium alloy split-Hopkinson pressure bar. Polym. Test. 2013, 32, 827–834. [Google Scholar] [CrossRef]
- Yao, X.H.; Ren, H.L.; Lin, R.; Zhang, X.Q. Study on dynamic mechanical properties and energy absorption of polymeric foams. Chin. J. High Press. Phys. 2012, 26, 531–536. [Google Scholar]
- Zou, X.T. Dynamic Mechanical Properties of TB6 Titanium Alloy and Impact Resistance of Its Typical Structure. Master’s Thesis, South China University of Technology, Guangzhou, China, 2019. [Google Scholar]
- Richeton, J.; Ahzi, S.; Daridon, L.; Rémond, Y. A formulation of the cooperative model for the yield stress of amorphous polymers for a wide range of strain rates and temperatures. Polymer 2005, 46, 6035–6043. [Google Scholar] [CrossRef]
- Jin, T. Yield Behavior and Macro Phenomenological Constitutive Study of Semi-Crystalline Polymers. Ph.D.Thesis, Taiyuan University of Technology, Taiyuan, China, 2016. [Google Scholar]
- Rao, J.; Xu, W.L. Mechanical properties of UHMWPE fiber under heating state. J. Text. 2009, 30, 5–8. [Google Scholar]
- Bauwens-Crowet, C.; Bauwens, J.C.; Homes, G. The temperature dependence of yield of polycarbonate in uniaxial compression and tensile tests. J. Mater. Sci. 1972, 7, 176–183. [Google Scholar] [CrossRef]
- Baozhong, S.; Bohong, G.; Xin, D. Compressive behavior of 3-D angle-interlock woven fabric composites at various strain rates. Polym. Test. 2005, 24, 447–454. [Google Scholar]
- Sun, Y.; Wang, G.J.; Zhang, D.T.; Chen, L.; Zhang, M. Experimental investigation on dynamic compression properties of UHMWPE/Vinyl ester 2.5 dimensional angle interlocked woven composites. J. Mater. Eng. 2011, 1, 38–42. [Google Scholar]
- Wang, L.L. Stress Wave Foundation; National Defense Industry Press: Beijing, China, 2005; pp. 166–169. [Google Scholar]
- Malvern, L.E. Plastic wave propagation in a bar of material exhibiting a strain rate effect. Q. Appl. Math. 1951, 8, 405–411. [Google Scholar] [CrossRef]
- Frost, C.C. Constitutive modeling and simulation of energy absorbing polyurethane foam under impact loading. Polym. Eng. Sci. 1992, 32, 1138–1146. [Google Scholar]
- Mu, L.J. Study on Strain Rate Dependent Constitutive Model of Typical Polymer Materials. Master’s Thesis, Southwest University of Science and Technology, Jiujiang, China, 2017. [Google Scholar]
- Nagy, A.; Ko, W.L.; Lindholm, U.S. Mechanical behavior of foamed materials under dynamic compression. J. Cell. Plast. 1974, 10, 127–134. [Google Scholar] [CrossRef]
- Xu, L.Z.; Gao, G.F.; Zhao, Z.; Wang, J.B.; Cheng, C. Compressive mechanical properties of polyethylene at different strain rates. Explos. Shock. Waves 2019, 39, 8. [Google Scholar]















| (g/cm3) | Elastic Modulus E (MPa) | Melting Point (°C) | Molecular Weight (g/mol) | |
|---|---|---|---|---|
| 0.98 | 450.49 | 0.46 | 136 | 3 million |
| Elastic Modulus E0 (GPa) | Elastic Wave Velocity C0 (m/s) | Bar Diameter (mm) | Striker Length (mm) | Incident Bar Length (mm) | Transmission Bar Length (mm) |
|---|---|---|---|---|---|
| 70 | 4991 | 14.5 | 400 | 1500 | 2000 |
| Air Gun Pressure (MPa) | Average Strain Rate (s−1) | Maximum Deviation (s−1) |
|---|---|---|
| 0.015 | 1300 | ± 50 |
| 0.05 | 2200 | ± 50 |
| 0.1 | 3300 | ± 60 |
| 0.15 | 4300 | ± 90 |
| Average Strain Rate (s−1) | Temperature (°C) | Modulus of Elasticity (MPa) | Yield Stress (MPa) |
|---|---|---|---|
| 1300 | 20 | 1697.67 ± 32.39 | 23.99 ± 0.13 |
| 2200 | 20 | 1908.86 ± 28.36 | 26.51 ± 0.27 |
| 3300 | 20 | 2476.46 ± 48.72 | 29.90 ± 0.46 |
| 4300 | 20 | 2628.82 ± 23.97 | 32.62 ± 0.74 |
| 1300 | 50 | 1455.06 ± 38.81 | 20.84 ± 0.25 |
| 1300 | 70 | 1214.88 ± 33.76 | 18.74 ± 0.32 |
| 1300 | 100 | 896.86 ± 25.47 | 16.48 ± 0.24 |
| n | 1 | 2 | 3 | 4 | 5 |
|---|---|---|---|---|---|
| 3000.89 | −155,721.90 | 4.45534 × 106 | −7.46181 × 107 | 7.75704 × 108 | |
| n | 6 | 7 | 8 | 9 | 10 |
| −5.15158 × 109 | 2.18663 × 1010 | −5.73634 × 1010 | 8.46851 × 1010 | −5.37847 × 1010 |
| Value | 0.25287 | −1.43586 | 3.8433 |
| Value | 0.00411 | 0.03198 | 0.61374 |
© 2020 by the authors. Licensee MDPI, Basel, Switzerland. This article is an open access article distributed under the terms and conditions of the Creative Commons Attribution (CC BY) license (http://creativecommons.org/licenses/by/4.0/).
Share and Cite
Zhang, K.; Li, W.; Zheng, Y.; Yao, W.; Zhao, C. Dynamic Constitutive Model of Ultra-High Molecular Weight Polyethylene (UHMWPE): Considering the Temperature and Strain Rate Effects. Polymers 2020, 12, 1561. https://doi.org/10.3390/polym12071561
Zhang K, Li W, Zheng Y, Yao W, Zhao C. Dynamic Constitutive Model of Ultra-High Molecular Weight Polyethylene (UHMWPE): Considering the Temperature and Strain Rate Effects. Polymers. 2020; 12(7):1561. https://doi.org/10.3390/polym12071561
Chicago/Turabian StyleZhang, Kebin, Wenbin Li, Yu Zheng, Wenjin Yao, and Changfang Zhao. 2020. "Dynamic Constitutive Model of Ultra-High Molecular Weight Polyethylene (UHMWPE): Considering the Temperature and Strain Rate Effects" Polymers 12, no. 7: 1561. https://doi.org/10.3390/polym12071561
APA StyleZhang, K., Li, W., Zheng, Y., Yao, W., & Zhao, C. (2020). Dynamic Constitutive Model of Ultra-High Molecular Weight Polyethylene (UHMWPE): Considering the Temperature and Strain Rate Effects. Polymers, 12(7), 1561. https://doi.org/10.3390/polym12071561

