Flame Retardancy of Bio-Based Polyurethanes: Opportunities and Challenges
Abstract
1. Introduction
2. Synthesis of Bio-Based PUs
3. Flame-Retardant Bio-Based PUs
3.1. Flame Retardant as “Additive” in Bio-Based PUs
3.2. “Reactive” Flame Retardants in Bio-Based PUs
4. Conclusions
Author Contributions
Funding
Conflicts of Interest
References
- Ghazali, S.; Islam, M.; Akindoyo, J.O.; Beg, M.; Jeyaratnam, N.; Yuvaraj, A. Polyurethane types, synthesis and applications—A review. RSC Adv. 2017, 6, 114453–114482. [Google Scholar]
- Atiqah, A.; T Mastura, M.; A Ahmed Ali, B.; Jawaid, M.; M Sapuan, S. A review on polyurethane and its polymer composites. Curr. Org. Synth. 2017, 14, 233–248. [Google Scholar] [CrossRef]
- Cornille, A.; Auvergne, R.; Figovsky, O.; Boutevin, B.; Caillol, S. A perspective approach to sustainable routes for non-isocyanate polyurethanes. Eur. Polym. J. 2017, 87, 535–552. [Google Scholar] [CrossRef]
- Noreen, A.; Zia, K.M.; Zuber, M.; Tabasum, S.; Zahoor, A.F. Bio-based polyurethane: An efficient and environment friendly coating systems: A review. Prog. Org. Coat. 2016, 91, 25–32. [Google Scholar] [CrossRef]
- Marzec, M.; Kucińska-Lipka, J.; Kalaszczyńska, I.; Janik, H. Development of polyurethanes for bone repair. Mater. Sci. Eng. C 2017, 80, 736–747. [Google Scholar] [CrossRef]
- Griffini, G.; Passoni, V.; Suriano, R.; Levi, M.; Turri, S. Polyurethane coatings based on chemically unmodified fractionated lignin. ACS Sustain. Chem. Eng. 2015, 3, 1145–1154. [Google Scholar] [CrossRef]
- Tikhani, F.; Shirkavand Hadavand, B.; Fakharizadeh Bafghi, H.; Jouyandeh, M.; Vahabi, H.; Formela, K.; Hosseini, H.; Paran, S.M.R.; Esmaeili, A.; Mohaddespour, A.; et al. Polyurethane/Silane-Functionalized ZrO2 Nanocomposite Powder Coatings: Thermal Degradation Kinetics. Coatings 2020, 10, 413. [Google Scholar] [CrossRef]
- Polyurethane (PU) Market Size. Available online: https://www.fortunebusinessinsights.com/industry-reports/polyurethane-pu-market-101801 (accessed on 26 May 2020).
- Sonnenschein, M.F. Polyurethanes: Science, Technology, Markets, and Trends; John Wiley & Sons: Hoboken, NJ, USA, 2014; Volume 11, ISBN 978-1-118-73791-0. [Google Scholar]
- Zia, F.; Zia, K.M.; Zuber, M.; Kamal, S.; Aslam, N. Starch based polyurethanes: A critical review updating recent literature. Carbohydr. Polym. 2015, 134, 784–798. [Google Scholar] [CrossRef]
- Ghasemlou, M.; Daver, F.; Ivanova, E.P.; Adhikari, B. Bio-based routes to synthesize cyclic carbonates and polyamines precursors of non–isocyanate polyurethanes: A review. Eur. Polym. J. 2019, 118, 668–684. [Google Scholar] [CrossRef]
- Xue, B.-L.; Wen, J.-L.; Sun, R.-C. Lignin-based rigid polyurethane foam reinforced with pulp fiber: Synthesis and characterization. ACS Sustain. Chem. Eng. 2014, 2, 1474–1480. [Google Scholar] [CrossRef]
- Rad, E.R.; Vahabi, H.; de Anda, A.R.; Saeb, M.R.; Thomas, S. Bio-epoxy resins with inherent flame retardancy. Prog. Org. Coat. 2019, 135, 608–612. [Google Scholar] [CrossRef]
- Vahabi, H.; Michely, L.; Moradkhani, G.; Akbari, V.; Cochez, M.; Vagner, C.; Renard, E.; Saeb, M.R.; Langlois, V. Thermal Stability and Flammability Behavior of Poly (3-hydroxybutyrate) (PHB) Based Composites. Materials 2019, 12, 2239. [Google Scholar] [CrossRef] [PubMed]
- Parcheta, P.; Głowińska, E.; Datta, J. Effect of bio-based components on the chemical structure, thermal stability and mechanical properties of green thermoplastic polyurethane elastomers. Eur. Polym. J. 2020, 123, 109422. [Google Scholar] [CrossRef]
- Głowińska, E.; Datta, J.; Parcheta, P. Effect of sisal fiber filler on thermal properties of bio-based polyurethane composites. J. Therm. Anal. Calorim. 2017, 130, 113–122. [Google Scholar] [CrossRef]
- Głowińska, E.; Datta, J. Bio polyetherurethane composites with high content of natural ingredients: Hydroxylated soybean oil based polyol, bio glycol and microcrystalline cellulose. Cellulose 2016, 23, 581–592. [Google Scholar] [CrossRef]
- Datta, J.; Głowińska, E. Effect of hydroxylated soybean oil and bio-based propanediol on the structure and thermal properties of synthesized bio-polyurethanes. Ind. Crop. Prod. 2014, 61, 84–91. [Google Scholar] [CrossRef]
- Datta, J.; Głowińska, E. Chemical modifications of natural oils and examples of their usage for polyurethane synthesis. J. Elastomers Plast. 2014, 46, 33–42. [Google Scholar] [CrossRef]
- Tawade, B.V.; Shingte, R.D.; Kuhire, S.S.; Sadavarte, N.V.; Garg, K.; Maher, D.M.; Ichake, A.B.; More, A.S.; Wadgaonkar, P.P. Bio-Based Di-/Poly-isocyanates for Polyurethanes: An Overview. Polyurethanes Today 2017. [Google Scholar] [CrossRef]
- Guillame, S.M.; Khalil, H.; Misra, M. Green and sustainable polyurethanes for advanced applications. J. Appl. Polym. Sci. 2017, 134, 45646. [Google Scholar] [CrossRef]
- Błażek, K.; Datta, J. Renewable natural resources as green alternative substrates to obtain bio-based non-isocyanate polyurethanes-review. Crit. Rev. Environ. Sci. Technol. 2019, 49, 173–211. [Google Scholar] [CrossRef]
- Bringing Performance Tobio-Based Foams Forbedding and Furniture. Available online: http://msdssearch.dow.com/PublishedLiteratureDOWCOM/dh_0155/0901b80380155d5c.pdf?filepath=renuva/pdfs/noreg/793-00021.pdf&fromPage=GetDoc (accessed on 26 May 2020).
- BASF Now Offers Bio-Based PolyTHF. Available online: https://www.basf.com/global/en/media/news-releases/2015/03/p-15-163.html (accessed on 26 May 2020).
- New JEFFADD™ Bio-Based Polyol for Polyurethanes. Available online: http://www.huntsman.com/performance_products/Applications/itemrenderer?p_item_id=230138646&p_item_caid=1143 (accessed on 26 May 2020).
- Innovative Chemical and Technical Processing Solutions for Manufacturing Alternative Polyols. Available online: https://www.rampf-group.com/fileadmin/rampf-gruppe.de/media/eco_solutions/downloads/RAMPF-Eco-Solutions-EN.pdf (accessed on 26 May 2020).
- Alberdingk-Boley. Available online: http://www.alberdingk-boley.de/en.html (accessed on 26 May 2020).
- Bio TPU™ by Lubrizol. Available online: https://www.lubrizol.com/Engineered-Polymers/Technologies/Bio-TPU (accessed on 26 May 2020).
- ECONYKOL™ Biomass Plastic Raw Material. Available online: https://jp.mitsuichemicals.com/en/release/2019/2019_0723.htm (accessed on 26 May 2020).
- Bio-Based Foam. Available online: https://www.woodbridgegroup.com/Products/Bio-Based-Foam (accessed on 26 May 2020).
- Bio-based Building Blocks. Available online: https://www.crodacoatingsandpolymers.com/en-gb/discovery-zone/technologies/bio-based-building-blocks (accessed on 26 May 2020).
- Bio-Based Polyurethane Market. Available online: https://www.transparencymarketresearch.com/bio-based-polyurethane-market.html (accessed on 26 May 2020).
- Bio-Based Polyurethane (PU) Market Analysis and Forecast to 2020. Available online: https://bioplasticsnews.com/2015/02/13/bio-based-polyurethane-pu-market-analysis-and-forecasts-to-2020/ (accessed on 26 May 2020).
- Visakh, P.; Semkin, A.; Rezaev, I.; Fateev, A. Review on soft polyurethane flame retardant. Constr. Build. Mater. 2019, 227, 116673. [Google Scholar] [CrossRef]
- Chattopadhyay, D.; Webster, D.C. Thermal stability and flame retardancy of polyurethanes. Prog. Polym. Sci. 2009, 34, 1068–1133. [Google Scholar] [CrossRef]
- Xie, F.; Zhang, T.; Bryant, P.; Kurusingal, V.; Colwell, J.M.; Laycock, B. Degradation and stabilization of polyurethane elastomers. Prog. Polym. Sci. 2019, 90, 211–268. [Google Scholar] [CrossRef]
- Levchik, S.V.; Weil, E.D. Thermal decomposition, combustion and flame-retardancy of epoxy resins—A review of the recent literature. Polym. Int. 2004, 53, 1901–1929. [Google Scholar] [CrossRef]
- Alinejad, M.; Henry, C.; Nikafshar, S.; Gondaliya, A.; Bagheri, S.; Chen, N.; Singh, S.K.; Hodge, D.B.; Nejad, M. Lignin-based polyurethanes: Opportunities for bio-based foams, elastomers, coatings and adhesives. Polymers 2019, 11, 1202. [Google Scholar] [CrossRef]
- Crowe, J.D.; Feringa, N.; Pattathil, S.; Merritt, B.; Foster, C.; Dines, D.; Ong, R.G.; Hodge, D.B. Identification of developmental stage and anatomical fraction contributions to cell wall recalcitrance in switchgrass. Biotechnol. Biofuels 2017, 10, 184. [Google Scholar] [CrossRef]
- Glasser, W.G.; Northey, R.A.; Schultz, T.P. Lignin: Historical, Biological, and Materials Perspectives; ACS Publications: Washington, DC, USA, 1999. [Google Scholar] [CrossRef]
- Thakur, V.K.; Thakur, M.K.; Raghavan, P.; Kessler, M.R. Progress in green polymer composites from lignin for multifunctional applications: A review. ACS Sustain. Chem. Eng. 2014, 2, 1072–1092. [Google Scholar] [CrossRef]
- Huang, X.; De Hoop, C.F.; Xie, J.; Hse, C.-Y.; Qi, J.; Hu, T. Characterization of biobased polyurethane foams employing lignin fractionated from microwave liquefied switchgrass. Int. J. Polym. Sci. 2017, 2017, 4207367. [Google Scholar] [CrossRef]
- Faruk, O.; Sain, M.; Farnood, R.; Pan, Y.; Xiao, H. Development of lignin and nanocellulose enhanced bio PU foams for automotive parts. J. Polym. Environ. 2014, 22, 279–288. [Google Scholar] [CrossRef]
- Li, Y.; Ragauskas, A.J. Ethanol organosolv lignin-based rigid polyurethane foam reinforced with cellulose nanowhiskers. RSC Adv. 2012, 2, 3347–3351. [Google Scholar] [CrossRef]
- Lu, W.; Li, Q.; Zhang, Y.; Yu, H.; Hirose, S.; Hatakeyama, H.; Matsumoto, Y.; Jin, Z. Lignosulfonate/APP IFR and its flame retardancy in lignosulfonate-based rigid polyurethane foams. J. Wood Sci. 2018, 64, 287–293. [Google Scholar] [CrossRef]
- Costes, L.; Laoutid, F.; Brohez, S.; Dubois, P. Bio-based flame retardants: When nature meets fire protection. Mater. Sci. Eng. R Rep. 2017, 117, 1–25. [Google Scholar] [CrossRef]
- Yang, H.; Yu, B.; Xu, X.; Bourbigot, S.; Wang, H.; Song, P. Lignin-derived bio-based flame retardants toward high-performance sustainable polymeric materials. Green Chem. 2020, 22, 2129–2161. [Google Scholar] [CrossRef]
- Duval, A.; Lawoko, M. A review on lignin-based polymeric, micro-and nano-structured materials. React. Funct. Polym. 2014, 85, 78–96. [Google Scholar] [CrossRef]
- Kun, D.; Pukánszky, B. Polymer/lignin blends: Interactions, properties, applications. Eur. Polym. J. 2017, 93, 618–641. [Google Scholar] [CrossRef]
- Mahmood, N.; Yuan, Z.; Schmidt, J.; Xu, C.C. Depolymerization of lignins and their applications for the preparation of polyols and rigid polyurethane foams: A review. Renew. Sustain. Energy Rev. 2016, 60, 317–329. [Google Scholar] [CrossRef]
- Sawamura, K.; Tobimatsu, Y.; Kamitakahara, H.; Takano, T. Lignin functionalization through chemical demethylation: Preparation and tannin-like properties of demethylated guaiacyl-type synthetic lignins. ACS Sustain. Chem. Eng. 2017, 5, 5424–5431. [Google Scholar] [CrossRef]
- Gama, N.V.; Soares, B.; Freire, C.S.; Silva, R.; Neto, C.P.; Barros-Timmons, A.; Ferreira, A. Bio-based polyurethane foams toward applications beyond thermal insulation. Mater. Des. 2015, 76, 77–85. [Google Scholar] [CrossRef]
- Pauzi, N.N.P.N.; Majid, R.A.; Dzulkifli, M.H.; Yahya, M.Y. Development of rigid bio-based polyurethane foam reinforced with nanoclay. Compos. Part B Eng. 2014, 67, 521–526. [Google Scholar] [CrossRef]
- Zhang, C.; Kessler, M.R. Bio-based polyurethane foam made from compatible blends of vegetable-oil-based polyol and petroleum-based polyol. ACS Sustain. Chem. Eng. 2015, 3, 743–749. [Google Scholar] [CrossRef]
- Laurichesse, S.; Huillet, C.; Avérous, L. Original polyols based on organosolv lignin and fatty acids: New bio-based building blocks for segmented polyurethane synthesis. Green Chem. 2014, 16, 3958–3970. [Google Scholar] [CrossRef]
- Deka, H.; Karak, N. Bio-based hyperbranched polyurethanes for surface coating applications. Prog. Org. Coat. 2009, 66, 192–198. [Google Scholar] [CrossRef]
- Das, B.; Chattopadhyay, P.; Mandal, M.; Voit, B.; Karak, N. Bio-based biodegradable and biocompatible hyperbranched polyurethane: A scaffold for tissue engineering. Macromol. Biosci. 2013, 13, 126–139. [Google Scholar] [CrossRef] [PubMed]
- Kurańska, M.; Polaczek, K.; Auguścik-Królikowska, M.; Prociak, A.; Ryszkowska, J. Open-cell rigid polyurethane bio-foams based on modified used cooking oil. Polymer 2020, 190, 122164. [Google Scholar] [CrossRef]
- Dwan’isa, J.-P.L.; Mohanty, A.; Misra, M.; Drzal, L.; Kazemizadeh, M. Biobased polyurethane and its composite with glass fiber. J. Mater. Sci. 2004, 39, 2081–2087. [Google Scholar]
- Park, S.H.; Oh, K.W.; Kim, S.H. Reinforcement effect of cellulose nanowhisker on bio-based polyurethane. Compos. Sci. Technol. 2013, 86, 82–88. [Google Scholar] [CrossRef]
- Kong, X.; Liu, G.; Qi, H.; Curtis, J.M. Preparation and characterization of high-solid polyurethane coating systems based on vegetable oil derived polyols. Prog. Org. Coat. 2013, 76, 1151–1160. [Google Scholar] [CrossRef]
- Garrison, T.F.; Kessler, M.R.; Larock, R.C. Effects of unsaturation and different ring-opening methods on the properties of vegetable oil-based polyurethane coatings. Polymer 2014, 55, 1004–1011. [Google Scholar] [CrossRef]
- Sharmin, E.; Akram, D.; Zafar, F.; Ashraf, S.; Ahmad, S. Plant oil polyol based poly (ester urethane) metallohybrid coatings. Prog. Org. Coat. 2012, 73, 118–122. [Google Scholar] [CrossRef]
- Rajput, S.D.; Hundiwale, D.G.; Mahulikar, P.P.; Gite, V.V. Fatty acids based transparent polyurethane films and coatings. Prog. Org. Coat. 2014, 77, 1360–1368. [Google Scholar] [CrossRef]
- Zhang, J.; Zhang, C.; Madbouly, S.A. In situ polymerization of bio-based thermosetting polyurethane/graphene oxide nanocomposites. J. Appl. Polym. Sci. 2015, 132. [Google Scholar]
- Fu, C.; Yang, Z.; Zheng, Z.; Shen, L. Properties of alkoxysilane castor oil synthesized via thiol-ene and its polyurethane/siloxane hybrid coating films. Prog. Org. Coat. 2014, 77, 1241–1248. [Google Scholar] [CrossRef]
- Tong, X.; Luo, X.; Li, Y. Development of blend films from soy meal protein and crude glycerol-based waterborne polyurethane. Ind. Crop. Prod. 2015, 67, 11–17. [Google Scholar] [CrossRef]
- Chaudhari, A.; Anand, A.; Rajput, S.; Kulkarni, R.; Gite, V. Synthesis, characterization and application of Azadirachta indica juss (neem oil) fatty amides (AIJFA) based polyurethanes coatings: A renewable novel approach. Prog. Org. Coat. 2013, 76, 1779–1785. [Google Scholar] [CrossRef]
- Kong, X.; Liu, G.; Curtis, J.M. Characterization of canola oil based polyurethane wood adhesives. Int. J. Adhes. Adhes. 2011, 31, 559–564. [Google Scholar] [CrossRef]
- Campanella, A.; Bonnaillie, L.; Wool, R. Polyurethane foams from soyoil-based polyols. J. Appl. Polym. Sci. 2009, 112, 2567–2578. [Google Scholar] [CrossRef]
- Petrović, Z.S. Polyurethanes from vegetable oils. Polym. Rev. 2008, 48, 109–155. [Google Scholar] [CrossRef]
- Vanbesien, T.; Hapiot, F.; Monflier, E. Hydroformylation of vegetable oils and the potential use of hydroformylated fatty acids. Lipid Technol. 2013, 25, 175–178. [Google Scholar] [CrossRef]
- Saurabh, T.; Patnaik, M.; Bhagt, S.; Renge, V. Epoxidation of vegetable oils: A review. Int. J. Adv. Eng. Technol 2011, 2, 491–501. [Google Scholar]
- Gadhave, R.V.; Mahanwar, P.A.; Gadekar, P.T. Bio-renewable sources for synthesis of eco-friendly polyurethane adhesives. Open J. Polym. Chem. 2017, 7. [Google Scholar] [CrossRef]
- Çaylı, G.; Küsefoğlu, S. Biobased polyisocyanates from plant oil triglycerides: Synthesis, polymerization, and characterization. J. Appl. Polym. Sci. 2008, 109, 2948–2955. [Google Scholar] [CrossRef]
- Çaylı, G.; Küsefoğlu, S. A simple one-step synthesis and polymerization of plant oil triglyceride iodo isocyanates. J. Appl. Polym. Sci. 2010, 116, 2433–2440. [Google Scholar] [CrossRef]
- Miao, S.; Wang, P.; Su, Z.; Zhang, S. Vegetable-oil-based polymers as future polymeric biomaterials. Acta Biomater. 2014, 10, 1692–1704. [Google Scholar] [CrossRef] [PubMed]
- Hojabri, L.; Kong, X.; Narine, S.S. Novel long chain unsaturated diisocyanate from fatty acid: Synthesis, characterization, and application in bio-based polyurethane. J. Polym. Sci. Part A Polym. Chem. 2010, 48, 3302–3310. [Google Scholar] [CrossRef]
- More, A.S.; Lebarbé, T.; Maisonneuve, L.; Gadenne, B.; Alfos, C.; Cramail, H. Novel fatty acid based di-isocyanates towards the synthesis of thermoplastic polyurethanes. Eur. Polym. J. 2013, 49, 823–833. [Google Scholar] [CrossRef]
- Agrawal, A.; Kaur, R.; Singh Walia, R. Flame retardancy of ceramic-based rigid polyurethane foam composites. J. Appl. Polym. Sci. 2019, 136, 48250. [Google Scholar] [CrossRef]
- Agrawal, A.; Kaur, R.; Walia, R.S. Investigation on flammability of rigid polyurethane foam-mineral fillers composite. Fire Mater. 2019, 43, 917–927. [Google Scholar] [CrossRef]
- Ranaweera, C.; Ionescu, M.; Bilic, N.; Wan, X.; Kahol, P.; Gupta, R.K. Biobased polyols using thiol-ene chemistry for rigid polyurethane foams with enhanced flame-retardant properties. J. Renew. Mater. 2017, 5, 1–12. [Google Scholar] [CrossRef]
- Ramanujam, S.; Zequine, C.; Bhoyate, S.; Neria, B.; Kahol, P.K.; Gupta, R.K. Novel Biobased Polyol Using Corn Oil for Highly Flame-Retardant Polyurethane Foams. C—J. Carbon Res. 2019, 5, 13. [Google Scholar] [CrossRef]
- Zhang, M.; Luo, Z.; Zhang, J.; Chen, S.; Zhou, Y. Effects of a novel phosphorus–nitrogen flame retardant on rosin-based rigid polyurethane foams. Polym. Degrad. Stab. 2015, 120, 427–434. [Google Scholar] [CrossRef]
- Gao, L.; Zheng, G.; Zhou, Y.; Hu, L.; Feng, G.; Xie, Y. Synergistic effect of expandable graphite, melamine polyphosphate and layered double hydroxide on improving the fire behavior of rosin-based rigid polyurethane foam. Ind. Crop. Prod. 2013, 50, 638–647. [Google Scholar] [CrossRef]
- Gandhi, T.S.; Patel, M.R.; Dholakiya, B.Z. Synthesis of cashew Mannich polyol via a three step continuous route and development of PU rigid foams with mechanical, thermal and fire studies. J. Polym. Eng. 2015, 35, 533–544. [Google Scholar] [CrossRef]
- Agrawal, A.; Kaur, R. Effect of Nano Filler on the Flammability of Bio-Based RPUF. Integr. Ferroelectr. 2019, 202, 20–28. [Google Scholar] [CrossRef]
- Vahabi, H.; Sonnier, R.; Ferry, L. Effects of ageing on the fire behaviour of flame-retarded polymers: A review. Polym. Int. 2015, 64, 313–328. [Google Scholar] [CrossRef]
- Tersac, G. Chemistry and technology of polyols for polyurethanes. Milhail Ionescu. Rapra Technology, Shrewsbury, UK. Polym. Int. 2007, 56, 820. [Google Scholar] [CrossRef]
- Joseph, P.; Tretsiakova-Mcnally, S. Reactive modifications of some chain-and step-growth polymers with phosphorus-containing compounds: Effects on flame retardance—A review. Polym. Adv. Technol. 2011, 22, 395–406. [Google Scholar] [CrossRef]
- Bhoyate, S.; Ionescu, M.; Radojcic, D.; Kahol, P.; Chen, J.; Mishra, S.; Gupta, R.K. Highly flame-retardant bio-based polyurethanes using novel reactive polyols. J. Appl. Polym. Sci. 2018, 135, 46027. [Google Scholar] [CrossRef]
- Bhoyate, S.; Ionescu, M.; Kahol, P.; Gupta, R.K. Sustainable flame-retardant polyurethanes using renewable resources. Ind. Crop. Prod. 2018, 123, 480–488. [Google Scholar] [CrossRef]
- Bhoyate, S.; Ionescu, M.; Kahol, P.K.; Gupta, R.K. Castor-oil derived nonhalogenated reactive flame-retardant-based polyurethane foams with significant reduced heat release rate. J. Appl. Polym. Sci. 2019, 136, 47276. [Google Scholar] [CrossRef]
- Bhoyate, S.; Ionescu, M.; Kahol, P.; Chen, J.; Mishra, S.; Gupta, R.K. Highly flame-retardant polyurethane foam based on reactive phosphorus polyol and limonene-based polyol. J. Appl. Polym. Sci. 2018, 135, 46224. [Google Scholar] [CrossRef]
- Ding, H.; Wang, J.; Wang, C.; Chu, F. Synthesis of a novel phosphorus and nitrogen-containing bio-based polyols and its application in flame retardant polyurethane sealant. Polym. Degrad. Stab. 2016, 124, 43–50. [Google Scholar] [CrossRef]
- Ding, H.; Xia, C.; Wang, J.; Wang, C.; Chu, F. Inherently flame-retardant flexible bio-based polyurethane sealant with phosphorus and nitrogen-containing polyurethane prepolymer. J. Mater. Sci. 2016, 51, 5008–5018. [Google Scholar] [CrossRef]
- Ding, H.; Huang, K.; Li, S.; Xu, L.; Xia, J.; Li, M. Synthesis of a novel phosphorus and nitrogen-containing bio-based polyol and its application in flame retardant polyurethane foam. J. Anal. Appl. Pyrolysis 2017, 128, 102–113. [Google Scholar] [CrossRef]
- Ozseker, A.; Karadeniz, K.; Yilmaz, R.F. Intrinsically Flame Retardant Polyurethane Prepared with Epoxidized Soybean Oil and Vinylphosphonic Acid. Croat. Chem. Acta 2018, 91, 589–598. [Google Scholar] [CrossRef]
- Özşeker, A.; Karadeniz, K.; Şen, M.Y. Silylation of epoxidized soybean oil with triethoxysilanes, synthesis and characterization of their polyurethanes. Turk. J. Chem. 2019, 43, 1365–1382. [Google Scholar]
- Mestry, S.; Kakatkar, R.; Mhaske, S. Cardanol derived P and Si based precursors to develop flame retardant PU coating. Prog. Org. Coat. 2019, 129, 59–68. [Google Scholar] [CrossRef]
- Heinen, M.; Gerbase, A.E.; Petzhold, C.L. Vegetable oil-based rigid polyurethanes and phosphorylated flame-retardants derived from epoxydized soybean oil. Polym. Degrad. Stab. 2014, 108, 76–86. [Google Scholar] [CrossRef]
- Patel, M.; Mestry, S.; Khuntia, S.P.; Mhaske, S. Gallic acid-derived phosphorus-based flame-retardant multifunctional crosslinking agent for PU coating. J. Coat. Technol. Res. 2020, 17, 293–303. [Google Scholar] [CrossRef]
- Gómez-Fernández, S.; Günther, M.; Schartel, B.; Corcuera, M.A.; Eceiza, A. Impact of the combined use of layered double hydroxides, lignin and phosphorous polyol on the fire behavior of flexible polyurethane foams. Ind. Crop. Prod. 2018, 125, 346–359. [Google Scholar] [CrossRef]
- Gao, L.; Zheng, G.; Zhou, Y.; Hu, L.; Feng, G. Improved mechanical property, thermal performance, flame retardancy and fire behavior of lignin-based rigid polyurethane foam nanocomposite. J. Therm. Anal. Calorim. 2015, 120, 1311–1325. [Google Scholar] [CrossRef]
- Yu, Y.; Fu, S.; Song, P.a.; Luo, X.; Jin, Y.; Lu, F.; Wu, Q.; Ye, J. Functionalized lignin by grafting phosphorus-nitrogen improves the thermal stability and flame retardancy of polypropylene. Polym. Degrad. Stab. 2012, 97, 541–546. [Google Scholar] [CrossRef]
- Zhang, Y.; Zhao, Q.; Li, L.; Yan, R.; Zhang, J.; Duan, J.; Liu, B.; Sun, Z.; Zhang, M.; Hu, W. Synthesis of a lignin-based phosphorus-containing flame retardant and its application in polyurethane. RSC Adv. 2018, 8, 32252–32261. [Google Scholar] [CrossRef]
- Zhu, H.; Peng, Z.; Chen, Y.; Li, G.; Wang, L.; Tang, Y.; Pang, R.; Khan, Z.U.H.; Wan, P. Preparation and characterization of flame retardant polyurethane foams containing phosphorus–nitrogen-functionalized lignin. RSC Adv. 2014, 4, 55271–55279. [Google Scholar] [CrossRef]




| Matrix | Bio-Based | Property Studied | Application | Ref. |
|---|---|---|---|---|
| PU foam | Coffee grounds waste-based polyol | Mechanical, Thermomechanical, Thermal, Physical properties | Acoustic insulation and aeronautics | [52] |
| Rigid PU foam | Palm oil-based polyester polyol | Physical, Thermal, Mechanical properties | Foam | [53] |
| PU foam | Soy-castor oil-based polyol | Physical, Thermal, Mechanical properties | PU foams with thermal stability and high thermal conductivity | [54] |
| PU | Lignin-oleic acid-based polyol | Thermomechanical, thermal, Mechanical, rheological properties | Building and automotive industries | [55] |
| Hyperbranched PU | Mesua ferrea L. seed oil-based monoglyceride | Thermal, Mechanical properties, Chemical resistance | High-performance coating materials | [56] |
| Hyperbranched PU | Sunflower oil-based fatty acid | Mechanical, Thermal, properties, Chemical resistance | Scaffold for Tissue Engineering | [57] |
| Rigid PU foam | Cooking oil bio-based polyols | Thermoelectric, Thermal, Mechanical properties | Open-cell PU foams for applications in construction industry | [58] |
| Glass fiber reinforced PU | Soy oil-based polyol | Thermal, Mechanical, Thermomechanical properties | Seat pans, sunshades, door panels, package trays, and truck box panels | [59] |
| PU elastomer/cellulose nanowhisker composite | Castor oil-based polyol | Thermal, Mechanical, Thermomechanical properties | Composite with mechanical properties reinforced | [60] |
| PU | Vegetable oil-based polyols from refined canola and sunflower oils, and camelina, Linola® 2090 flax and NuLin® 50 flax crude oils | Thermal, Mechanical, Thermomechanical, Surface properties, Swelling of PU networks and crosslinking density | High-solid PU coatings | [61] |
| Waterborne PU | Vegetable oil-based polyols (peanut, corn, soybean, and linseed) | Thermal, mechanical, Thermomechanical properties | PU films | [62] |
| Poly(ester urethane) metallohybrid | Linseed oil-based polyol | Thermal, Coating properties, Physico-chemical characterization | Antibacterial self-sterilizing protective coatings | [63] |
| PU | Vegetable oil-based dimer fatty acid | Thermal, Surface, Coating properties, Water uptake, Chemical resistance | Transparent PU films and coatings | [64] |
| Polyurethane/graphene oxide | Soybean-castor oil fatty acid-based polyol | Thermal, Thermomechanical, Mechanical properties | Composite with mechanical properties reinforced | [65] |
| PU/siloxane hybrid | Silanized castor oil-based functional polyol | Thermal, Mechanical, Surface properties, Water resistance | Water repellent coatings | [66] |
| Crude glycerol-based waterborne PU | Soy meal protein and crude glycerol | Mechanical, Thermal properties, Water resistance | Hydrophobic coating, Packaging application | [67] |
| Poly(urethane fatty amides) | Neem oil fatty amide | Thermal, Coating properties, Chemical and Corrosion resistances | Industrial coating | [68] |
| Thermoset PU | Canola oil-based poly (ether ester) polyol | Thermal, Thermomechanical Adhesive properties, Chemical resistance | Adhesive | [69] |
| Rigid PU Foam | Soybean oil-based Polyol | Mechanical, Thermal properties, Swelling | automotive interior, office furniture | [70] |
| N° | Type of PU | Bio-Based Molecule Used in Synthesis of PU | Flame Retardant | Ref. |
|---|---|---|---|---|
| 1 | Rigid PU foams | Castor oil-based polyol | Zirconia and alumina | [80] |
| 2 | Rigid PU foams | Castor oil-based polyol | Nano-CaCO3 | [87] |
| 3 | Rigid PU foams | Castor oil-based polyol | Feldspar and kaolinite | [81] |
| 4 | Rigid PU foams | Rosin-based polyol | Expandable graphite and melamine polyphosphate, and layered double hydroxide | [85] |
| 5 | Rigid PU foams | ![]() | ![]() | [82] |
| 6 | PU foams | ![]() | ![]() | [83] |
| 7 | Rigid PU foams | ![]() | ![]() | [84] |
| 8 | Rigid PU foams | ![]() | Fly ash, ceramic, Teflon, antimony trioxide, polyvinyl chloride powder | [86] |
| N° | Type of PU | Bio-Based Molecule Used in Synthesis of PU | Flame Retardant | Flame Retardant Polyol | Ref. |
|---|---|---|---|---|---|
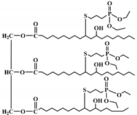
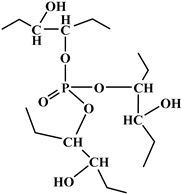
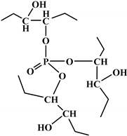
| 1 | Rigid PU foams | Soybean, orange peel, and castor oil | ![]() | ![]() | [92] |
| 2 | Rigid PU foams | Castor oil | ![]() | ![]() | [93] |
| 3 | Rigid PU foams | Limonene | ![]() | ![]() | [94] |
| 4 | Rigid PU foams | Soybean oil | ![]() | ![]() | [101] |
| 5 | PU foams | Soybean oils | ![]() | ![]() | [98] |
| 6 | PU coating | Gallic acid | ![]() | ![]() | [102] |
| 7 | PU sealant | Ricinoleic acid (obtained from castor oil) | ![]() | ![]() | [95] |
| 8 | Flexible PU sealant | Castor oil | ![]() ![]() | ![]() | [96] |
| 9 | Flexible PU | Castor oil | ![]() ![]() | ![]() | [97] |
| 10 | PU foams | Soybean oils | ![]() ![]() | ![]() ![]() | [99] |
| 11 | PU coating film | Cardanol | ![]() ![]() | ![]() ![]() | [100] |
© 2020 by the authors. Licensee MDPI, Basel, Switzerland. This article is an open access article distributed under the terms and conditions of the Creative Commons Attribution (CC BY) license (http://creativecommons.org/licenses/by/4.0/).
Share and Cite
Vahabi, H.; Rastin, H.; Movahedifar, E.; Antoun, K.; Brosse, N.; Saeb, M.R. Flame Retardancy of Bio-Based Polyurethanes: Opportunities and Challenges. Polymers 2020, 12, 1234. https://doi.org/10.3390/polym12061234
Vahabi H, Rastin H, Movahedifar E, Antoun K, Brosse N, Saeb MR. Flame Retardancy of Bio-Based Polyurethanes: Opportunities and Challenges. Polymers. 2020; 12(6):1234. https://doi.org/10.3390/polym12061234
Chicago/Turabian StyleVahabi, Henri, Hadi Rastin, Elnaz Movahedifar, Karina Antoun, Nicolas Brosse, and Mohammad Reza Saeb. 2020. "Flame Retardancy of Bio-Based Polyurethanes: Opportunities and Challenges" Polymers 12, no. 6: 1234. https://doi.org/10.3390/polym12061234
APA StyleVahabi, H., Rastin, H., Movahedifar, E., Antoun, K., Brosse, N., & Saeb, M. R. (2020). Flame Retardancy of Bio-Based Polyurethanes: Opportunities and Challenges. Polymers, 12(6), 1234. https://doi.org/10.3390/polym12061234




































