Controlled Synthesis of Poly(pentafluorostyrene-ran-methyl methacrylate) Copolymers by Nitroxide Mediated Polymerization and Their Use as Dielectric Layers in Organic Thin-film Transistors
Abstract
1. Introduction
2. Materials and Methods
2.1. Materials
2.2. Synthesis of 2,3,4,5,6-pentafluorostyrene/methyl Methacrylate (PFS/MMA) Random Copolymers
2.3. Metal-Insulator-Metal (MIM) Capacitor Fabrication
2.4. Bottom-Gate Top-Contact (BGTC) Thin-Film Transistor Fabrication
2.5. Characterization
3. Results and Discussion
3.1. Copolymer Synthesis: Kinetics & Control
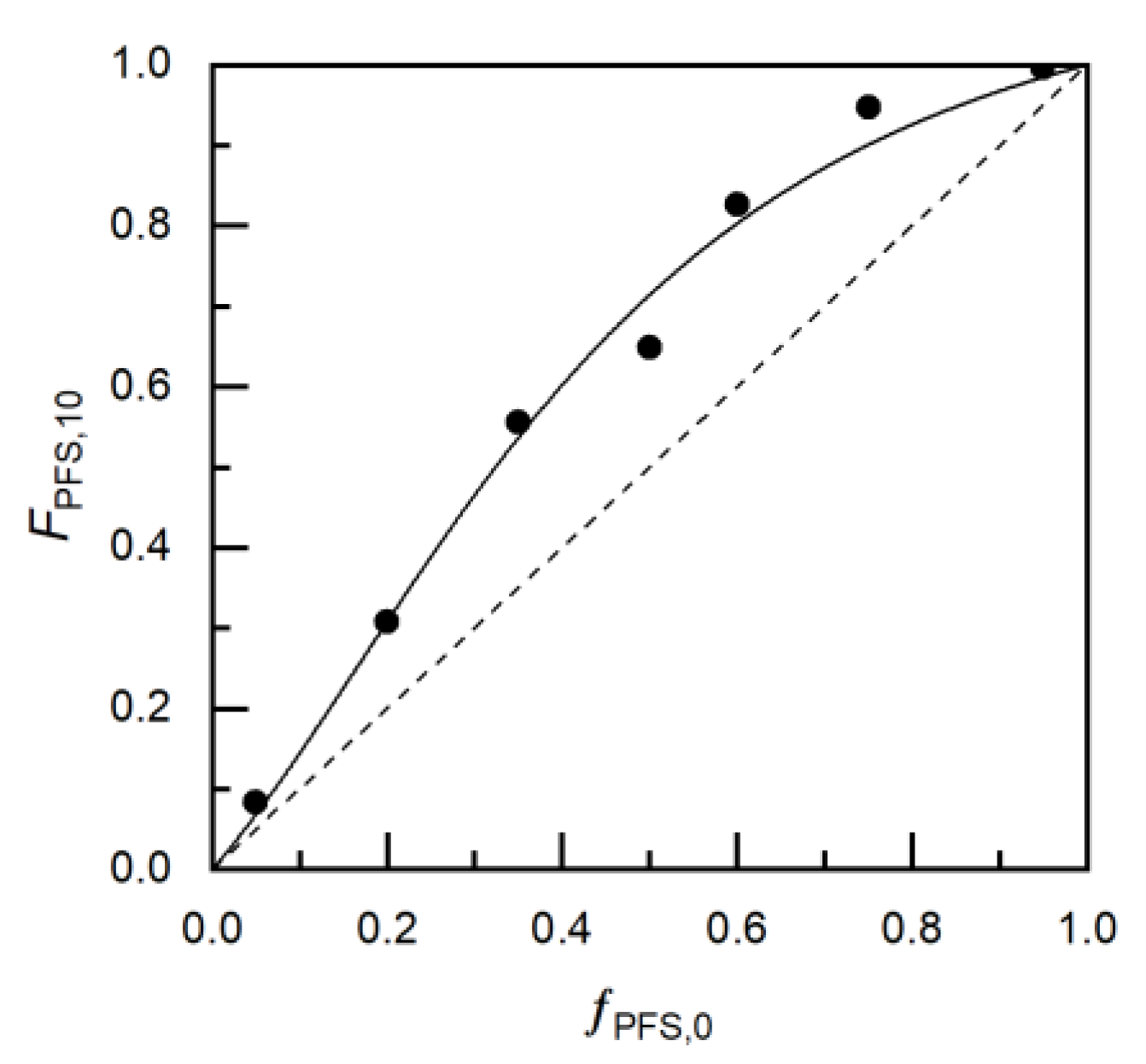
3.2. Reactivity Ratio Determination
3.3. Characterization of the Final Random Copolymers
3.4. Poly(PFS-ran-MMA) Copolymers as Dielectric Materials in Organic Thin-Film Transistors
4. Conclusions
Supplementary Materials
Author Contributions
Funding
Conflicts of Interest
References
- Yang, S.Y.; Shin, K.; Park, C.E. The Effect of Gate-Dielectric Surface Energy on Pentacene Morphology and Organic Field-Effect Transistor Characteristics. Adv. Funct. Mater. 2005, 15, 1806–1814. [Google Scholar] [CrossRef]
- Lee, H.S.; Kim, D.H.; Cho, J.H.; Hwang, M.; Jang, Y.; Cho, K. Effect of the Phase States of Self-Assembled Monolayers on Pentacene Growth and Thin-Film Transistor Characteristics. J. Am. Chem. Soc. 2008, 130, 10556–10564. [Google Scholar] [CrossRef] [PubMed]
- Zaumseil, J.; Sirringhaus, H. Electron and Ambipolar Transport in Organic Field-Effect Transistors. Chem. Rev. 2007, 107, 1296–1323. [Google Scholar] [CrossRef] [PubMed]
- Kim, S.H.; Jang, M.; Yang, H.; Park, C.E. Effect of Pentacene-Dielectric Affinity on Pentacene Thin Film Growth Morphology in Organic Field-Effect Transistors. J. Mater. Chem. 2010, 20, 5612–5620. [Google Scholar] [CrossRef]
- Kim, S.H.; Jang, M.; Yang, H.; Anthony, J.E.; Park, C.E. Physicochemically Stable Polymer-Coupled Oxide Dielectrics for Multipurpose Organic Electronic Applications. Adv. Funct. Mater. 2011, 21, 2198–2207. [Google Scholar] [CrossRef]
- Yang, H.; Yang, C.; Kim, S.H.; Jang, M.; Park, C.E. Dependence of Pentacene Crystal Growth on Dielectric Roughness for Fabrication of Flexible Field-Effect Transistors. ACS Appl. Mater. Interfaces 2010, 2, 391–396. [Google Scholar] [CrossRef]
- Kim, S.H.; Yang, H.; Yang, S.Y.; Hong, K.; Choi, D.; Yang, C.; Chung, D.S.; Park, C.E. Effect of Water in Ambient Air on Hysteresis in Pentacene Field-Effect Transistors Containing Gate Dielectrics Coated with Polymers with Different Functional Groups. Org. Electron. Phys. Mater. Appl. 2008, 9, 673–677. [Google Scholar] [CrossRef]
- Lim, S.C.; Kim, S.H.; Lee, J.H.; Kim, M.K.; Kim, D.J.; Zyung, T. Surface-Treatment Effects on Organic Thin-Film Transistors. Synth. Met. 2005, 148, 75–79. [Google Scholar] [CrossRef]
- Prisawong, P.; Zalar, P.; Reuveny, A.; Matsuhisa, N.; Lee, W.; Yokota, T.; Someya, T. Vacuum Ultraviolet Treatment of Self-Assembled Monolayers: A Tool for Understanding Growth and Tuning Charge Transport in Organic Field-Effect Transistors. Adv. Mater. 2016, 28, 2049–2054. [Google Scholar] [CrossRef]
- Venables, J.A.; Spiller, G.D.T. Nucleation and Growth of Thin Films. In Surface Mobilities on Solid Materials; Springer: Boston, MA, USA, 1983; Volume 86, pp. 341–404. [Google Scholar]
- Kim, J.; Jang, J.; Kim, K.; Kim, H.; Kim, S.H.; Park, C.E. The Origin of Excellent Gate-Bias Stress Stability in Organic Field-Effect Transistors Employing Fluorinated-Polymer Gate Dielectrics. Adv. Mater. 2014, 26, 7241–7246. [Google Scholar] [CrossRef]
- Jang, M.; Lee, M.; Shin, H.; Ahn, J.; Pei, M.; Youk, J.H.; Yang, H. Balancing Surface Hydrophobicity and Polarizability of Fluorinated Dielectrics for Organic Field-Effect Transistors with Excellent Gate-Bias Stability and Mobility. Adv. Mater. Interfaces 2016, 3, 1–10. [Google Scholar] [CrossRef]
- Jeong, Y.J.; Kim, D.H.; Kang, Y.M.; An, T.K. Overcoating BaTiO3 Dielectrics with a Fluorinated Polymer to Produce Highly Reliable Organic Field-Effect Transistors. Thin Solid Films 2019, 685, 40–46. [Google Scholar] [CrossRef]
- Weber, R.L.; Ye, Y.; Schmitt, A.L.; Banik, S.M.; Elabd, Y.A.; Mahanthappa, M.K. Effect of Nanoscale Morphology on the Conductivity of Polymerized Ionic Liquid Block Copolymers. Macromolecules 2011, 44, 5727–5735. [Google Scholar] [CrossRef]
- Kassis, C.M.; Steehler, J.K.; Betts, D.E.; Guan, Z.; Romack, T.J.; DeSimone, J.M.; Linton, R.W. XPS Studies of Fluorinated Acrylate Polymers and Block Copolymers with Polystyrene. Macromolecules 1996, 29, 3247–3254. [Google Scholar] [CrossRef]
- Baradie, B.; Shoichet, M.S. Insight into the Surface Properties of Fluorocarbon-Vinyl Acetate Copolymer Films and Blends. Macromolecules 2003, 36, 2343–2348. [Google Scholar] [CrossRef]
- Bruno, A. Controlled Radical (Co)Polymerization of Fluoromonomers. Macromolecules 2010, 43, 10163–10184. [Google Scholar] [CrossRef]
- Brummelhuis, N.T.; Weck, M. RAFT Polymerization of Alternating Styrene-Pentafluorostyrene Copolymers. J. Polym. Sci. Part A Polym. Chem. 2014, 52, 1555–1559. [Google Scholar] [CrossRef]
- Fu, G.D.; Yuan, Z.; Kang, E.T.; Neoh, K.G.; Lai, D.M.; Huan, A.C.H. Nanoporous Ultra-Low-Dielectric-Constant Fluoropolymer Films via Selective UV Decomposition of Poly(Pentafluorostyrene)-Block-Poly(Methyl Methacrylate) Copolymers Prepared Using Atom Transfer Radical Polymerization. Adv. Funct. Mater. 2005, 15, 315–322. [Google Scholar] [CrossRef]
- Jankova, K.; Hvilsted, S. Preparation of Poly(2,3,4,5,6-Pentafluorostyrene) and Block Copolymers with Styrene by ATRP. Macromolecules 2003, 36, 1753–1758. [Google Scholar] [CrossRef]
- Becer, C.R.; Babiuch, K.; Pilz, D.; Hornig, S.; Heinze, T.; Gottschaldt, M.; Schubert, U.S. Clicking Pentafluorostyrene Copolymers: Synthesis, Nanoprecipitation, and Glycosylation. Macromolecules 2009, 42, 2387–2394. [Google Scholar] [CrossRef]
- Kannan, N.B.; Lessard, B.H. Copolymerization of 2,3,4,5,6-Pentafluorostyrene and Methacrylic Acid by Nitroxide-Mediated Polymerization: The Importance of Reactivity Ratios. Macromol. React. Eng. 2016, 1–11. [Google Scholar] [CrossRef]
- Hlalele, L.; Klumperman, B. In Situ Nmr and Modeling Studies of Nitroxide Mediated Copolymerization of Styrene and n -Butyl Acrylate. Macromolecules 2011, 44, 6683–6690. [Google Scholar] [CrossRef]
- Rowland, S.M.; Striegel, A.M. Characterization of Copolymers and Blends by Quintuple-Detector Size-Exclusion Chromatography. Anal. Chem. 2012, 84, 4812–4820. [Google Scholar] [CrossRef] [PubMed]
- Gudipati, C.S.; Tan, M.B.H.; Hussain, H.; Liu, Y.; He, C.; Davis, T.P. Synthesis of Poly(Glycidyl Methacrylate)-Block-Poly(Pentafluorostyrene) by RAFT: Precursor to Novel Amphiphilic Poly(Glyceryl Methacrylate)-Block- Poly(Pentafluorostyrene). Macromol. Rapid Commun. 2008, 29, 1902–1907. [Google Scholar] [CrossRef]
- Nicolas, J.; Guillaneuf, Y.; Lefay, C.; Bertin, D.; Gigmes, D.; Charleux, B. Nitroxide-Mediated Polymerization. Prog. Polym. Sci. 2012, 38, 63–235. [Google Scholar] [CrossRef]
- Dire, C.; Belleney, J.; Nicolas, J.; Bertin, D.; Magnet, S.; Charleux, B. β-Hydrogen Transfer from Poly(Methyl Methacrylate) Propagating Radicals to the Nitroxide SG1: Analysis of the Chain-End and Determination of the Rate Constant. J. Polym. Sci. Part A Polym. Chem. 2008, 46, 6333–6345. [Google Scholar] [CrossRef]
- Lessard, B.H.; Marić, M. Water-Soluble/Dispersible Carbazole-Containing Random and Block Copolymers by Nitroxide-Mediated Radical Polymerisation. Can. J. Chem. Eng. 2013, 91, 618–629. [Google Scholar] [CrossRef]
- Peltekoff, A.; Hiller, V.E.; Lopinski, G.P.; Melville, O.A.; Lessard, B.H. Unipolar Polymerized Ionic Liquid Copolymers as High Capacitance Electrolyte Gates for N-Type Transistors. ACS Appl. Polym. Mater. 2019. [Google Scholar] [CrossRef]
- Peltekoff, A.J.; Therrien, I.; Lessard, B.H. Nitroxide Mediated Polymerization of 1-(4-Vinylbenzyl)-3-Butylimidazolium Ionic Liquid Containing Homopolymers and Methyl Methacrylate Copolymers. Can. J. Chem. Eng. 2019, 97, 5–16. [Google Scholar] [CrossRef]
- Charleux, B.; Nicolas, J.; Guerret, O. Theoretical Expression of the Average Activation-Deactivation Equilibrium Constant in Controlled/Living Free-Radical Copolymerization Operating via Reversible Termination. Application to a Strongly Improved Control in Nitroxide-Mediated Polymerization Of. Macromolecules 2005, 38, 5485–5492. [Google Scholar] [CrossRef]
- Nicolas, J.; Brusseau, S.; Charleux, B. A Minimal Amount of Acrylonitrile Turns the Nitroxide-Mediated Polymerization of Methyl Methacrylate into an Almost Ideal Controlled/Living System. J. Polym. Sci. Part A Polym. Chem. 2010, 48, 34–47. [Google Scholar] [CrossRef]
- Darabi, A.; Cunningham, M.F. Preparation of Poly(Poly(Ethylene Glycol)Methyl Ether Methacrylate-Co-Styrene)-b-Poly(2-(Diethylamino)Ethyl Methacrylate-Co-Acrylonitrile) by Nitroxide-Mediated Polymerisation in Water. Polymer 2017, 115, 255–260. [Google Scholar] [CrossRef]
- Zaremski, M.; Eremeev, I.; Garina, E.; Borisova, O.; Korolev, B. Controlled Synthesis of Random, Block-Random and Gradient Styrene, Methyl Methacrylate and Acrylonitrile Terpolymers via Nitroxide-Mediated Free Radical Polymerization. J. Polym. Res. 2017, 24. [Google Scholar] [CrossRef]
- Mei, W.; Maric, M. Nitroxide-Mediated Polymerization of 2-Hydroxyethyl Methacrylate (HEMA) Controlled with Low Concentrations of Acrylonitrile and Styrene. Macromol. React. Eng. 2017, 11, 1–13. [Google Scholar] [CrossRef]
- Tran, J.; Guégain, E.; Ibrahim, N.; Harrisson, S.; Nicolas, J. Efficient Synthesis of 2-Methylene-4-Phenyl-1,3-Dioxolane, a Cyclic Ketene Acetal for Controlling the NMP of Methyl Methacrylate and Conferring Tunable Degradability. Polym. Chem. 2016, 7, 4427–4435. [Google Scholar] [CrossRef]
- Delplace, V.; Guégain, E.; Harrisson, S.; Gigmes, D.; Guillaneuf, Y.; Nicolas, J. A Ring to Rule Them All: A Cyclic Ketene Acetal Comonomer Controls the Nitroxide-Mediated Polymerization of Methacrylates and Confers Tunable Degradability. Chem. Commun. 2015, 51, 12847–12850. [Google Scholar] [CrossRef]
- Wang, Z.J.; Maric, M. Synthesis of Narrow Molecular Weight Distribution Norbornene-Lactone Functionalized Polymers by Nitroxide-Mediated Polymerization: Candidates for 193-Nm Photoresist Materials. Polymers 2014, 6, 565–582. [Google Scholar] [CrossRef]
- Becer, C.R.; Kokado, K.; Weber, C.; Can, A.; Chujo, Y.; Schubert, U.S. Metal-Free Synthesis of Responsive Polymers: Cloud Point Tuning by Controlled “Click” Reaction. J. Polym. Sci. Part A Polym. Chem. 2010, 48, 1278–1286. [Google Scholar] [CrossRef]
- Beloqui, A. Polymer Chemistry Making the Best of It: Nitroxide-Mediated Polymerization of Methacrylates via the Copolymerization Approach with Functional. Polym. Chem. 2019. [Google Scholar] [CrossRef]
- Mchale, R.; Aldabbagh, F.; Zetterlund, P.B. The Role of Excess Nitroxide in the SG1 (N-Tert-Butyl-N-[1-Diethylphosphono-(2,2-Dimethylpropyl)] Nitroxide)-Mediated Polymerization of Methyl Methacrylate. J. Polym. Sci. Part A Polym. Chem. 2007, 45, 2194–2203. [Google Scholar] [CrossRef]
- Mayo, F.R.; Lewis, F.M.; Copolymerization, I. A Basis for Comparing the Behavior of Monomers in Copolymerization; the Copolymerization of Styrene and Methyl Methacrylate. J. Am. Chem. Soc. 1944, 66, 1594–1601. [Google Scholar] [CrossRef]
- Zapata-González, I.; Hutchinson, R.A.; Matyjaszewski, K.; Saldívar-Guerra, E.; Ortiz-Cisneros, J. Copolymer Composition Deviations from Mayo-Lewis Conventional Free Radical Behavior in Nitroxide Mediated Copolymerization. Macromol. Theory Simul. 2014, 23, 245–265. [Google Scholar] [CrossRef]
- Kazemi, N.; Duever, T.A.; Penlidis, A. Design of Experiments for Reactivity Ratio Estimation in Multicomponent Polymerizations Using the Error-in-Variables Approach. Macromol. Theory Simul. 2013, 22, 261–272. [Google Scholar] [CrossRef]
- Kazemi, N.; Duever, T.A.; Penlidis, A. Reactivity Ratio Estimation from Cumulative Copolymer Composition Data. Macromol. React. Eng. 2011, 5, 385–403. [Google Scholar] [CrossRef]
- Kazemi, N.; Duever, T.A.; Penlidis, A. A Powerful Estimation Scheme with the Error-in-Variables-Model for Nonlinear Cases: Reactivity Ratio Estimation Examples. Comput. Chem. Eng. 2013, 48, 200–208. [Google Scholar] [CrossRef]
- Lessard, B.H.; Guillaneuf, Y.; Mathew, M.; Liang, K.; Clement, J.L.; Gigmes, D.; Hutchinson, R.A.; Marić, M. Understanding the Controlled Polymerization of Methyl Methacrylate with Low Concentrations of 9-(4-Vinylbenzyl)-9 H -Carbazole Comonomer by Nitroxide-Mediated Polymerization: The Pivotal Role of Reactivity Ratios. Macromolecules 2013, 46, 805–813. [Google Scholar] [CrossRef]
- Boileau, N.T.; Melville, O.A.; Mirka, B.; Cranston, R.; Lessard, B.H. P and N Type Copper Phthalocyanines as Effective Semiconductors in Organic Thin-Film Transistor Based DNA Biosensors at Elevated Temperatures. RSC Adv. 2019, 9, 2133–2142. [Google Scholar] [CrossRef]
- Boileau, N.T.; Cranston, R.; Mirka, B.; Melville, O.A.; Lessard, B.H. Metal Phthalocyanine Organic Thin-Film Transistors: Changes in Electrical Performance and Stability in Response to Temperature and Environment. RSC Adv. 2019, 9, 21478–21485. [Google Scholar] [CrossRef]
- Comeau, Z.J.; Boileau, N.T.; Lee, T.; Melville, O.A.; Rice, N.A.; Troung, Y.; Harris, C.S.; Lessard, B.H.; Shuhendler, A.J. On-the-Spot Detection and Speciation of Cannabinoids Using Organic Thin-Film Transistors. ACS Sens. 2019, 4, 2706–2715. [Google Scholar] [CrossRef]
- Calhoun, M.F.; Sanchez, J.; Olaya, D.; Gershenson, M.E.; Podzorov, V. Electronic Functionalization of the Surface of Organic Semiconductors with Self-Assembled Monolayers. Nat. Mater. 2008, 7, 84–89. [Google Scholar] [CrossRef]
- Kim, K.; An, T.K.; Kim, J.; Jeong, Y.J.; Jang, J.; Kim, H.; Baek, J.Y.; Kim, Y.H.; Kim, S.H.; Park, C.E. Grafting Fluorinated Polymer Nanolayer for Advancing the Electrical Stability of Organic Field-Effect Transistors. Chem. Mater. 2014, 26, 6467–6476. [Google Scholar] [CrossRef]
- Ruiz, R.; Choudhary, D.; Nickel, B.; Toccoli, T.; Chang, K.-C.; Mayer, A.C.; Clancy, P.; Blakely, J.M.; Headrick, R.L.; Iannotta, S.; et al. Pentacene Thin Film Growth. Chem. Mater. 2004, 16.23, 4497–4508. [Google Scholar] [CrossRef]
- Melville, O.A.; Grant, T.M.; Mirka, B.; Boileau, N.; Lessard, B.H. Ambipolarity and Air Stability of Silicon Phthalocyanine Organic Thin-Film Transistors. Adv. Elect. Mater. 2019, 5, 1900087. [Google Scholar] [CrossRef]
- Grant, T.M.; Melville, O.A.; Lessard, B.H. Silicon Phthalocyanines as N-Type Semiconductors in Organic Thin Film Transistors. J. Mater. Chem. C 2018, 6, 5482–5488. [Google Scholar] [CrossRef]








| Exp ID a) | MAMA-SG1 b) | SG1 c) | PFS | MMA | Xylenes | ||||||
|---|---|---|---|---|---|---|---|---|---|---|---|
| mmol | mg | mmol | mg | mmol | g | mmol | g | mmol | g | mL | |
| PFS/MMA-05/95 | 0.4 | 152.6 | 0.06 | 17.7 | 4.8 | 0.93 | 90.6 | 9.07 | 94.2 | 10.0 | 11.6 |
| PFS/MMA-10/90 | 0.4 | 152.6 | 0.06 | 17.7 | 9.1 | 1.77 | 82.2 | 8.23 | 94.2 | 10.0 | 11.6 |
| PFS/MMA-20/80 | 0.4 | 152.6 | 0.06 | 17.7 | 16.8 | 3.26 | 67.3 | 6.74 | 94.2 | 10.0 | 11.6 |
| PFS/MMA-35/65 | 0.4 | 152.6 | 0.06 | 17.7 | 26.3 | 5.11 | 48.9 | 4.89 | 94.2 | 10.0 | 11.6 |
| PFS/MMA-50/50 | 0.4 | 152.6 | 0.06 | 17.7 | 34.0 | 6.60 | 34.0 | 3.40 | 94.2 | 10.0 | 11.6 |
| PFS/MMA-60/40 | 0.4 | 152.6 | 0.06 | 17.7 | 38.3 | 7.44 | 25.6 | 2.56 | 94.2 | 10.0 | 11.6 |
| PFS/MMA-75/25 | 0.4 | 152.6 | 0.06 | 17.7 | 44.0 | 8.53 | 14.7 | 1.47 | 94.2 | 10.0 | 11.6 |
| PFS/MMA-90/10 | 0.4 | 152.6 | 0.06 | 17.7 | 48.7 | 9.46 | 5.4 | 0.54 | 94.2 | 10.0 | 11.6 |
| PFS/MMA-95/05 | 0.4 | 152.6 | 0.06 | 17.7 | 50.2 | 9.74 | 2.6 | 0.26 | 94.2 | 10.0 | 11.6 |
| PFS/MMA-100 | 0.4 | 152.6 | 0.06 | 17.7 | 51.5 | 10.00 | 0.0 | 0.00 | 94.2 | 10.0 | 11.6 |
| Exp ID a) | fPFS,0b) | FPFS,10b) | kp[P•] (s−1) c) | Polymerization Time | Final Conversion d) (X) |
|---|---|---|---|---|---|
| PFS/MMA-05/95 | 0.05 | 0.08 | (6.30 ± 0.66) × 10−5 | 4 h | 0.61 |
| PFS/MMA-10/90 | 0.10 | - | (5.88 ± 0.47) × 10−5 | 5 h | 0.56 |
| PFS/MMA-20/80 | 0.20 | 0.31 | (4.41 ± 0.21) × 10−5 | 5 h | 0.43 |
| PFS/MMA-35/65 | 0.35 | 0.56 | (2.50 ± 0.19) × 10−5 | 5 h | 0.32 |
| PFS/MMA-50/50 | 0.50 | 0.65 | (7.93 ± 0.75) × 10−6 | 5 h | 0.52 |
| PFS/MMA-60/40 | 0.60 | 0.83 | (4.47 ± 0.40) × 10−6 | 6 h | 0.11 |
| PFS/MMA-75/25 | 0.75 | 0.95 | (3.07 ± 0.38) × 10−6 | 6 h | 0.19 |
| PFS/MMA-90/10 | 0.90 | - | (2.50 ± 0.07) × 10−6 | 7 h | 0.08 |
| PFS/MMA-95/05 | 0.95 | 0.99 | (2.37 ± 0.06) × 10−6 | 7 h | 0.08 |
| PFS/MMA-100 | 100 | 1.00 | (9.03 ± 1.28) × 10−7 | 10 h | 0.38 |
| FPFS1) | Đ 3) | Tg4) | |||
|---|---|---|---|---|---|
| 0.08 | 0.0767 | 21,100 | 25,310 | 1.20 | 110 |
| 0.18 | 0.0706 | 14,720 | 18,970 | 1.29 | 107 |
| 0.32 | 0.0632 | 13,790 | 15,860 | 1.15 | 100 |
| 0.57 | 0.0529 | 10,650 | 11,910 | 1.13 | 90 |
| 0.81 | 0.0455 | 10,550 | 13,060 | 1.24 | 88 |
| 0.89 | 0.0435 | 51,700 | 73,250 | 1.42 | 84 |
| 1.00 | 0.0411 | 17,400 | 19,900 | 1.14 | 79 |
| FPFS a) | μ (cm2/Vs) b) | ION/OFF b) | VT (V) b) |
|---|---|---|---|
| 0.08 | 1.23 ± 0.144 × 10−3 | 7.51 × 103 | −16.35 ± 0.94 |
| 0.18 | 2.27 ± 0.473 × 10−3 | 1.83 × 104 | −14.69 ± 1.22 |
| 0.32 | 2.41 ± 0.301 × 10−3 | 3.37 × 104 | −6.35 ± 0.58 |
| 0.57 | 2.42 ± 0.423 × 10−3 | 1.07 × 104 | −4.15 ± 1.18 |
| 0.81* | - | - | - |
| 0.89* | - | - | - |
| 1.00* | - | - | - |
© 2020 by the authors. Licensee MDPI, Basel, Switzerland. This article is an open access article distributed under the terms and conditions of the Creative Commons Attribution (CC BY) license (http://creativecommons.org/licenses/by/4.0/).
Share and Cite
Peltekoff, A.J.; Tousignant, M.N.; Hiller, V.E.; Melville, O.A.; Lessard, B.H. Controlled Synthesis of Poly(pentafluorostyrene-ran-methyl methacrylate) Copolymers by Nitroxide Mediated Polymerization and Their Use as Dielectric Layers in Organic Thin-film Transistors. Polymers 2020, 12, 1231. https://doi.org/10.3390/polym12061231
Peltekoff AJ, Tousignant MN, Hiller VE, Melville OA, Lessard BH. Controlled Synthesis of Poly(pentafluorostyrene-ran-methyl methacrylate) Copolymers by Nitroxide Mediated Polymerization and Their Use as Dielectric Layers in Organic Thin-film Transistors. Polymers. 2020; 12(6):1231. https://doi.org/10.3390/polym12061231
Chicago/Turabian StylePeltekoff, Alexander J., Mathieu N. Tousignant, Victoria E. Hiller, Owen A. Melville, and Benoît H. Lessard. 2020. "Controlled Synthesis of Poly(pentafluorostyrene-ran-methyl methacrylate) Copolymers by Nitroxide Mediated Polymerization and Their Use as Dielectric Layers in Organic Thin-film Transistors" Polymers 12, no. 6: 1231. https://doi.org/10.3390/polym12061231
APA StylePeltekoff, A. J., Tousignant, M. N., Hiller, V. E., Melville, O. A., & Lessard, B. H. (2020). Controlled Synthesis of Poly(pentafluorostyrene-ran-methyl methacrylate) Copolymers by Nitroxide Mediated Polymerization and Their Use as Dielectric Layers in Organic Thin-film Transistors. Polymers, 12(6), 1231. https://doi.org/10.3390/polym12061231

