The Effect of Environmental Conditions on the Degradation Behavior of Biomass Pellets
Abstract
1. Introduction
2. Materials and Methods
2.1. Materials and Measurements
2.2. Storage Conditions
3. Results
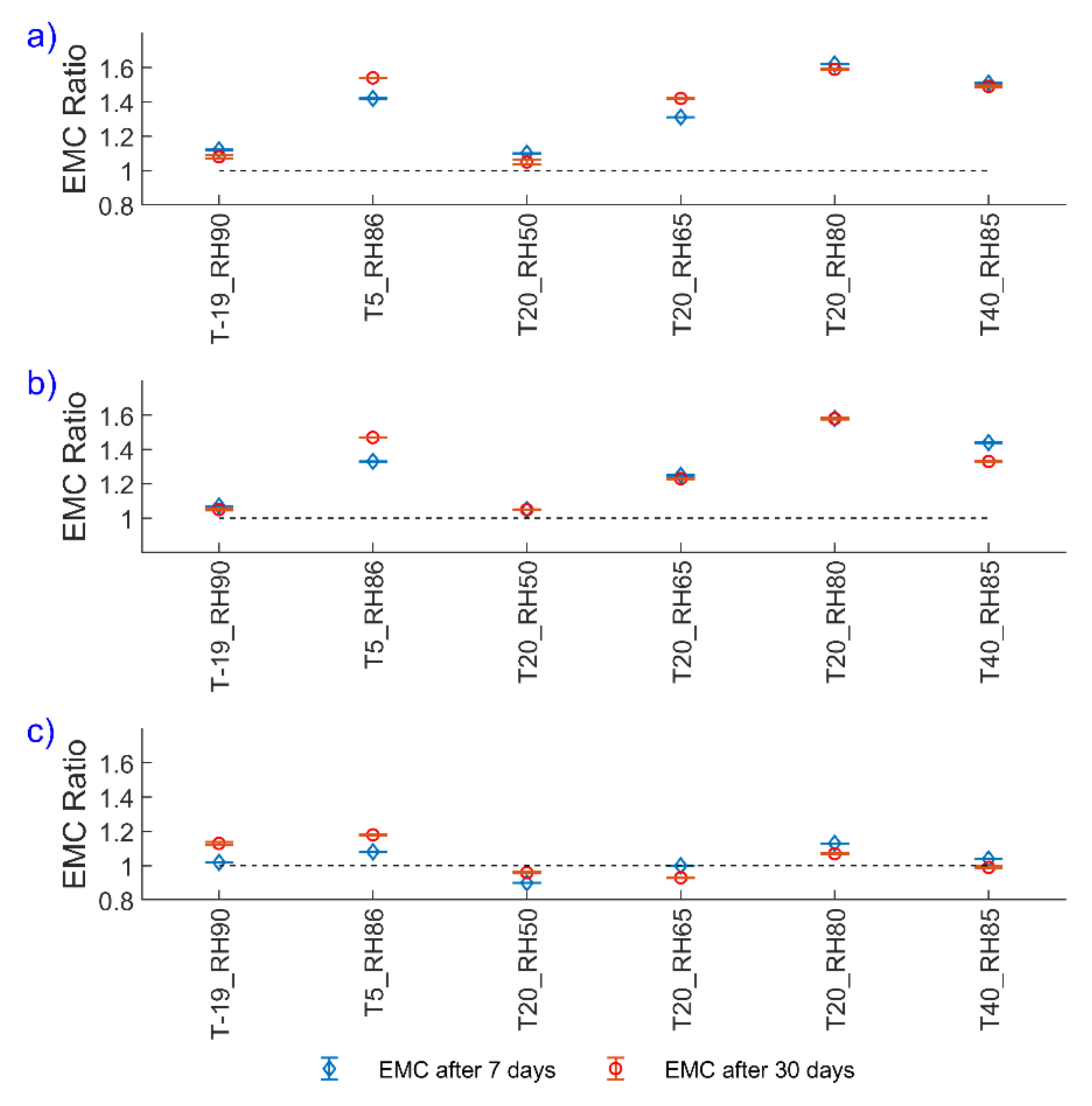
3.1. Moisture Uptake
3.2. Higher Heating Values
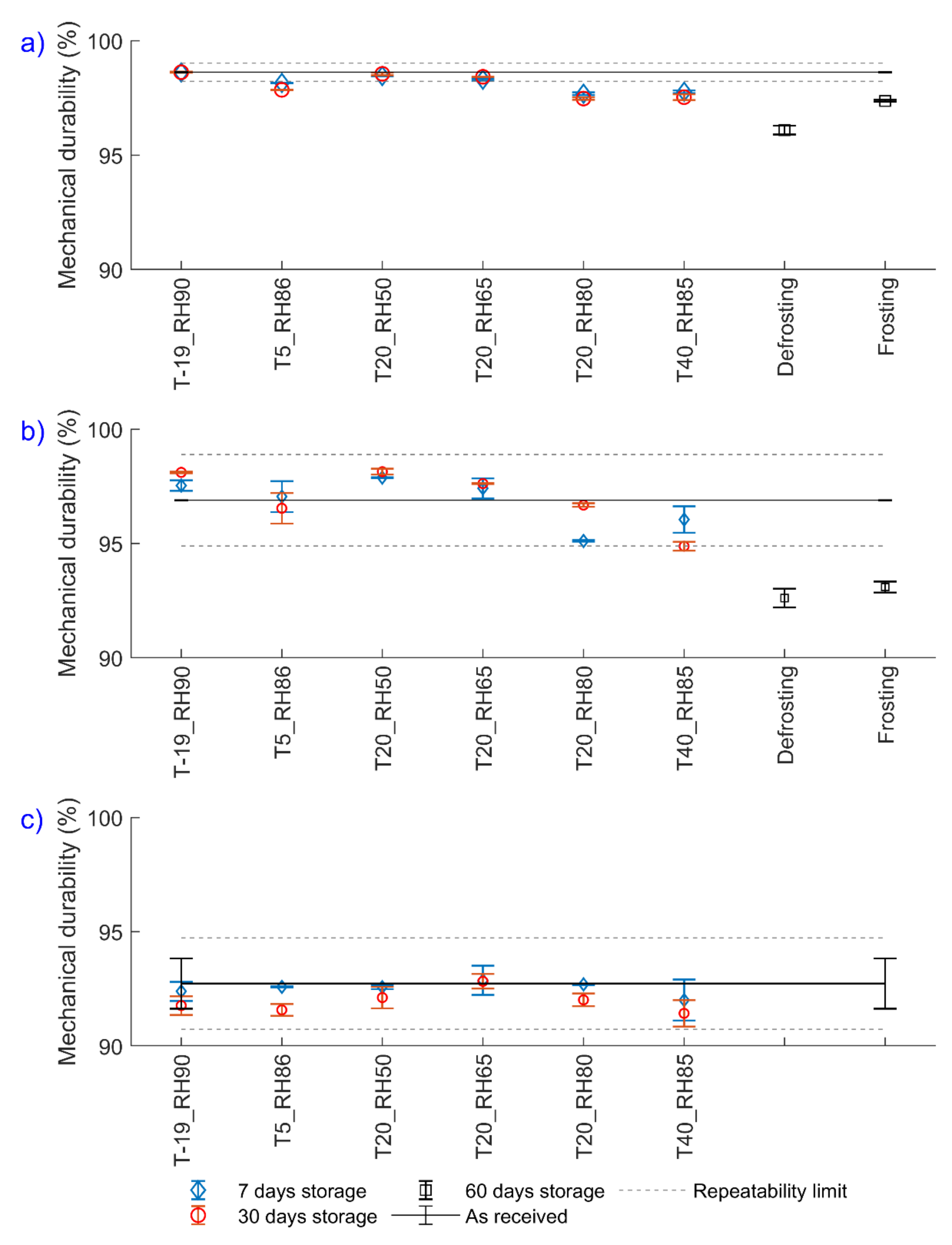
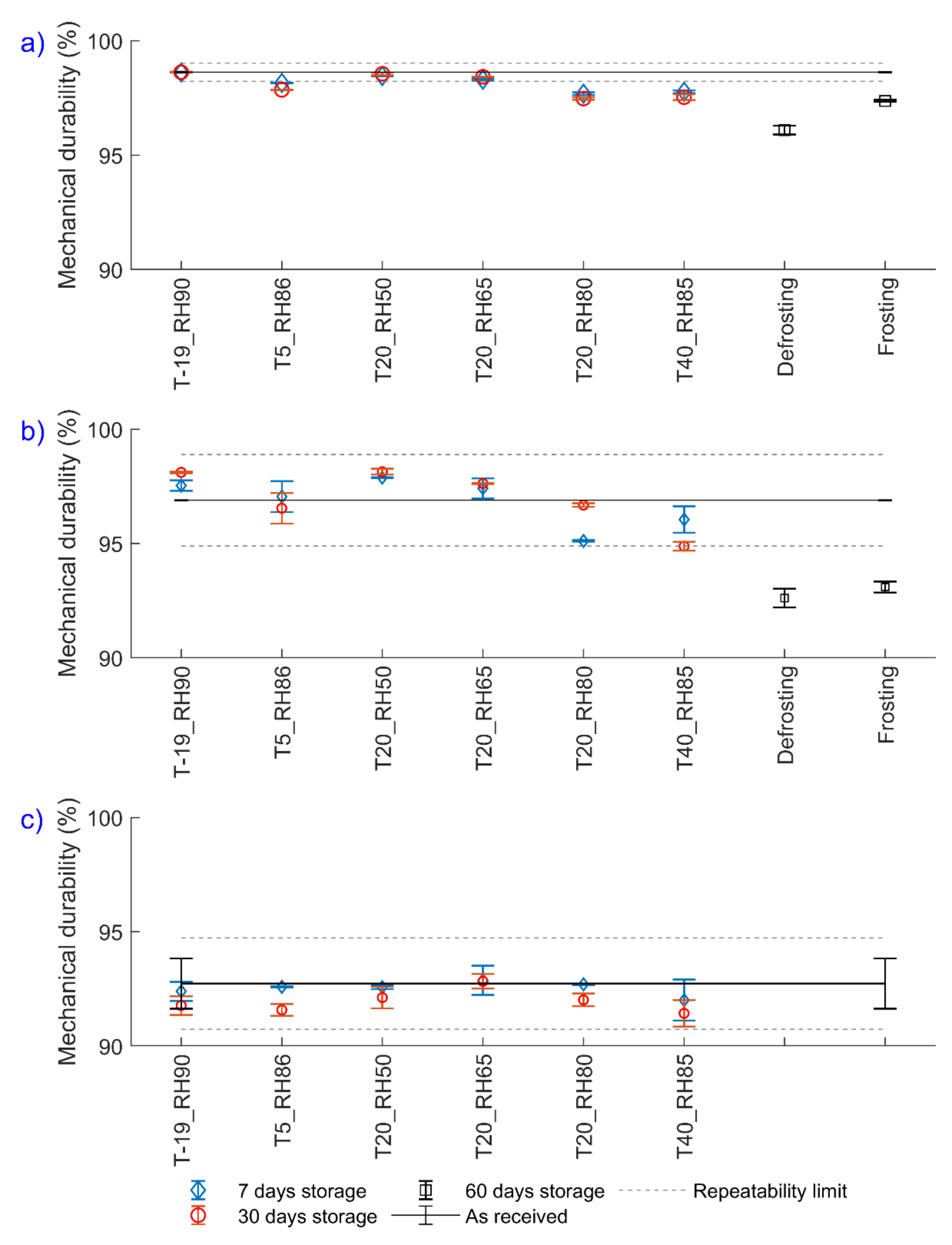
3.3. Mechanical Durability
4. Conclusions
Supplementary Materials
Author Contributions
Funding
Conflicts of Interest
References
- Lauri, P.; Havlík, P.; Kindermann, G.; Forsell, N.; Böttcher, H.; Obersteiner, M. Woody biomass energy potential in 2050. Energy Policy 2014, 66, 19–31. [Google Scholar] [CrossRef]
- Enerdata. Global Energy Statistical Yearbook 2019. 2019. Available online: https://yearbook.enerdata.net/total-energy/world-consumption-statistics.html (accessed on 15 February 2020).
- Ilic, D.; Williams, K.; Farnish, R.; Webb, E.; Liu, G. On the challenges facing the handling of solid biomass feedstocks. Biofuels Bioprod. Biorefining 2018, 12, 187–202. [Google Scholar] [CrossRef]
- Gilvari, H.; de Jong, W.; Schott, D.L. Quality parameters relevant for densification of bio-materials: Measuring methods and affecting factors-A review. Biomass Bioenergy 2019, 120, 117–134. [Google Scholar] [CrossRef]
- Nunes, L.J.R.; Matias, J.C.O.; Catalão, J.P.S. A review on torrefied biomass pellets as a sustainable alternative to coal in power generation. Renew. Sustain. Energy Rev. 2014, 40, 153–160. [Google Scholar] [CrossRef]
- Van der Stelt, M.J.C.; Gerhauser, H.; Kiel, J.H.A.; Ptasinski, K.J. Biomass upgrading by torrefaction for the production of biofuels: A review. Biomass Bioenergy 2011, 35, 3748–3762. [Google Scholar] [CrossRef]
- Calderón, C.; Gauthier, G.; Jossart, J.-M. Bioenergy Europe Statistical Report 2019—Key Findings. 2019. Available online: https://bioenergyeurope.org/statistical-report-2018/ (accessed on 21 January 2019).
- Magelli, F.; Boucher, K.; Bi, H.T.; Melin, S.; Bonoli, A. An environmental impact assessment of exported wood pellets from Canada to Europe. Biomass Bioenergy 2009, 33, 434–441. [Google Scholar] [CrossRef]
- Alakoski, E.; Jämsén, M.; Agar, D.; Tampio, E.; Wihersaari, M. From wood pellets to wood chips, risks of degradation and emissions from the storage of woody biomass—A short review. Renew. Sustain. Energy Rev. 2016, 54, 376–383. [Google Scholar] [CrossRef]
- Lehtikangas, P. Storage effects on pelletised sawdust, logging residues and bark. Biomass Bioenergy 2000, 19, 287–293. [Google Scholar] [CrossRef]
- Graham, S.; Eastwick, C.; Snape, C.; Quick, W. Mechanical degradation of biomass wood pellets during long term stockpile storage. Fuel Process. Technol. 2017, 160, 143–151. [Google Scholar] [CrossRef]
- Kymäläinen, M.; Mäkelä, M.R.; Hildén, K.; Kukkonen, J. Fungal colonisation and moisture uptake of torrefied wood, charcoal, and thermally treated pellets during storage. Eur. J. Wood Wood Prod. 2015, 73, 709–717. [Google Scholar] [CrossRef]
- Chico-Santamarta, L.; Chaney, K.; Godwin, R.J.; White, D.R.; Humphries, A.C. Physical quality changes during the storage of canola (Brassica napus L.) straw pellets. Appl. Energy 2012, 95, 220–226. [Google Scholar] [CrossRef]
- Lee, J.S.; Sokhansanj, S.; Lau, A.k.; Lim, C.J.; Bi, X.T.; Basset, V.; Yazdanpanah, F.; Melin, S. The effects of storage on the net calorific value of wood pellets. Can. Biosyst. Eng. 2015, 57. [Google Scholar] [CrossRef]
- Ramírez-Gómez, Á. Research needs on biomass characterization to prevent handling problems and hazards in industry. Part. Sci. Technol. 2016, 34, 432–441. [Google Scholar] [CrossRef]
- Tumuluru, J.S.; Wright, C.T.; Hess, J.R.; Kenney, K.L. A review of biomass densification systems to develop uniform feedstock commodities for bioenergy application. Biofuels Bioprod. Biorefining 2011, 5, 683–707. [Google Scholar] [CrossRef]
- ISO 17831-1:2015. Solid Biofuels- Determination of Mechanical Durability of Pellets and Briquettes- Part 1: Pellets; International Organization for Standardization: Geneva, Switzerland, 2015. [Google Scholar]
- ISO 16559: 2014. Solid Biofuels- Terminology, Definitions and Descriptions; International Organization for Standardization: Geneva, Switzerland, 2014. [Google Scholar]
- Hartley, I.D.; Wood, L.J. Hygroscopic properties of densified softwood pellets. Biomass Bioenergy 2008, 32, 90–93. [Google Scholar] [CrossRef]
- Bennamoun, L.; Harun, N.Y.; Afzal, M.T. Effect of Storage Conditions on Moisture Sorption of Mixed Biomass Pellets. Arab. J. Sci. Eng. 2018, 43, 1195–1203. [Google Scholar] [CrossRef]
- Singh, R.N. Equilibrium moisture content of biomass briquettes. Biomass Bioenergy 2004, 26, 251–253. [Google Scholar] [CrossRef]
- Theerarattananoon, K.; Wilson, J.; Ballard, R.; Mckinney, L.; Staggenborg, S.; Vadlani, P.; Pei, Z.J.; Wang, D. Physical properties of pellets made from sorghum stalk, corn stover, wheat straw, and big bluestem. Ind. Crops Prod. 2011, 33, 325–332. [Google Scholar] [CrossRef]
- Peng, J.H.; Bi, H.T.; Lim, C.J.; Sokhansanj, S. Study on density, hardness, and moisture uptake of torrefied wood pellets. Energy Fuels 2013, 27, 967–974. [Google Scholar] [CrossRef]
- Graham, S.; Ogunfayo, I.; Hall, M.R.; Snap, C.; Quick, W.; Weatherstone, S.; Eastwick, C. Changes in mechanical properties of wood pellets during artificial degradation in a laboratory environment. Fuel Process. Technol. 2016, 148, 395–402. [Google Scholar] [CrossRef]
- Dyjakon, A.; Noszczyk, T. The influence of freezing temperature storage on the mechanical durability of commercial pellets from biomass. Energies 2019, 12, 2627. [Google Scholar] [CrossRef]
- Wang, S.; Yuan, X.; Li, C.; Huang, Z.; Leng, L.; Zeng, G.; Li, H. Variation in the physical properties of wood pellets and emission of aldehyde/ketone under different storage conditions. Fuel 2016, 183, 314–321. [Google Scholar] [CrossRef]
- Thrän, D.; Witt, J.; Schaubach, K.; Kiel, J.; Carbo, M.; Maier, J.; Ndibe, C.; Koppejan, J.; Alakangas, E.; Majer, S.; et al. Moving torrefaction towards market introduction – Technical improvements and economic-environmental assessment along the overall torrefaction supply chain through the SECTOR project. Biomass Bioenergy 2016, 89, 184–200. [Google Scholar] [CrossRef]
- Deng, T.; Alzahrani, A.M.; Bradley, M.S. Influences of environmental humidity on physical properties and attrition of wood pellets. Fuel Process. Technol. 2019, 185, 126–138. [Google Scholar] [CrossRef]
- EN 14961-1:2010, Solid Biofuels- Fuels Specifications and Classes- Part 2: Wood Pellets for Non-industrial Use; European Committee for Standardization: Brussels, Belgium, 2010.
- EN 14775:2004. Solid Biofuels—Determination of Ash Content; European Committee for Standardization: Brussels, Belgium, 2004. [Google Scholar]
- ISO 18134-2:2017. Solid Biofuels—Determination of Moisture Content- Oven Dry Method- Part 2: Total Moisture- Simplified Method; International Organization for Standardization: Geneva, Switzerland, 2017. [Google Scholar]
- EN 16127. Solid Biofuels—Determination of Length and Diameter of Pellets; European Committee for Standardization: Brussels, Belgium, 2012. [Google Scholar]
- EN 15103. Solid biofuels—Determination of Bulk Density; European Committee for Standardization: Brussels, Belgium, 2010. [Google Scholar]
- EN 14774-2:2009. Solid Biofuels—Determination of Moisture Content—Oven Dry Method—Part 2: Total Moisture—Simplified Method; European Committee for Standardization: Brussels, Belgium, 2009. [Google Scholar]
- BS 1016-5:1967. Methods for Analysis and Testing of Coal and Coke. Gross Calorific Value of Coal and Coke; British Standard Organization: London, UK, 1967. [Google Scholar]
- Yazdanpanah, F.; Sokhansanj, S.; Rezaei, H.; Lim, C.J.; Lau, A.K.; Bi, X.T.; Melin, S.; Tumuluru, J.S.; Kim, C.S. Measurement of off-gases in wood pellet storage. In Advances in Gas Chromatography; IntechOpen: London, UK, 2014; pp. 1–33. [Google Scholar]
- He, X.; Lau, A.K.; Sokhansanj, S.; Lim, C.J.; Bi, X.T.; Melin, S.; Keddy, T. Moisture sorption isotherms and drying characteristics of aspen (Populus tremuloides). Biomass Bioenergy 2013, 57, 161–167. [Google Scholar] [CrossRef]
- Whittaker, C.; Shield, I. Factors affecting wood, energy grass and straw pellet durability—A review. Renew. Sustain. Energy Rev. 2017, 71, 1–11. [Google Scholar] [CrossRef]
- Williams, O.; Taylor, S.; Lester, E.; Kingman, S.; Giddings, D.; Eastwick, C. Applicability of mechanical tests for biomass pellet characterisation for bioenergy applications. Materials 2018, 11, 1329. [Google Scholar] [CrossRef]





| Ref. | Type of Pellets | Quality Parameter | Assessment Method | Storage Conditions | Storage Time | Key Results |
|---|---|---|---|---|---|---|
| [10] | Pellets from sawdust, logging residues, and bark | Mechanical durability, Moisture, LHV2 | 6 kg of pellets in an octagonal tumbler, fines were sieved using a 3 mm sieve | 20 °C and RH of 85–90% | 5 months | -11% increase in moisture uptake -Lower mechanical durability value -No change in the heating values |
| [11] | White and steam exploded pellets made of softwood and hardwood chips | Mechanical durability | 100 g of pellets tumbled in a Dural (II) tester; fines were sieved using a 4.75 mm sieve | Outdoor uncovered or outdoor with covered roof | 20 months | -82% drop in the mechanical durability of steam-exploded pellets stored outdoor and 3% drop for white pellets stored indoor |
| [12] | Untreated and thermally treated birch and spruce pellets | Mechanical durability | ISO standard 17831-1 | Outdoor under cover and uncovered | 5 months | -High moisture uptake tendency for pellets stored uncovered -Mechanical durability decreased highly in uncovered storage conditions for up to 26% for torrefied pellets and up to 6% for steam explosion pellets -Untreated pellets were totally disintegrated after uncovered storage |
| [13] | Canola pellets | Mechanical durability | ISO standard 17831-1 | Enclosed shed | 48 weeks | -Small changes in the mechanical durability |
| [14] | Wood pellets | LHV1 | - | 15–25 °C | 180 days | -Increase in calorific value due to a decreased moisture content |
| [19] | Softwood pellets | EMC2 | Weight difference | Up to 93% RH 22°C | 10 days | -Linear correlation between the EMC and RH between 15 and 80% |
| [20] | Spruce, Pine and mixed biomass pellets | EMC | Weight difference | 20–90% RH 15 to 25°C | 4–8 days | -Temperature has negligible effect on EMC - EMC at high RH depends on pellet type |
| [21] | Biomass, Cotton stalk, and woody saw mill | EMC | Weight difference | 20–80% RH | - | -No difference in EMC of different biomass types at storage up to 70% RH |
| [22] | Latin species3 | EMC | Weight difference | 40–85% RH | - | -RH and EMC relationships were similar for all biomass samples |
| [23] | Torrefied wood pellets | EMC | Weight difference | 90% RH 30 °C | 25 h | -The higher the torrefaction degree, the lower the moisture uptake |
| [24] | Softwood pellets Torrefied mixed wood Steam exploded pellets | Mechanical durability | 100 g of pellets tumbled in a Dural (II) tester, fines were sieved using a 4.75 mm sieve | Various RH and Temperatures | Up to 18 days | -Decreased mechanical durability up to 14% for steam exploded pellets and 70% for white pellets at 90%RH and 30 °C |
| [25] | 8 different biomass pellets | Mechanical durability | ISO standard 17831-1 | −28 °C | 5 days | -Change in mechanical durability was negligible for pellets with high durability, while for pellets with lower durability, there was a notable decrease in mechanical durability |
| [26] | Cedar wood pellets | Hardness | Meyer hardness | 30–90% RH 30–70 °C | 5 days | -Hardness decreased by increasing the RH and temperature |
| [27] | Wood and torrefied biomass | Dry matter loss | - | 95% RH 22 °C | 20 days | -White wood are more prone to biological degradation in compare to torrefied pellets |
| Mechanical durability, EMC | ISO standard 17831-1 | Outdoor | 1 year | -Torrefied pellets show less tendency to uptake moisture than wood pellets -Outdoor storage is unsuitable for torrefied pellets | ||
| [28] | Pine and recycle wood | Mechanical strength | Three-point bending test | 20–95% RH 30 °C | 4 days | -Linear relationship between EMC and RH |
| EMC | 10 g of sample heated at 105 °C for 25 min | -Bulk density and flexural stress decreased with an increased RH | ||||
| Bulk density | Using a standard 1 L container |
| Pellet Properties | Brown Pellets | White Pellets | Torrefied Pellets |
|---|---|---|---|
| Diameter (mm) | 6.1 ± 0.1 | 6.4 ± 0.1 | 6.0 ± 0.0 |
| Density (kg·m−3) | 1209 ± 60 | 1169 ± 32 | 1304 ± 40 |
| Bulk Density (kg·m−3) | 660 | 600 | 660 |
| HHV (MJ·kg−1) | 21.2 | 20.5 | 17.8 |
| Mechanical durability (%) | 98.6 | 96.9 | 92.7 |
| Proximate Analysis | |||
| Moisture content (%) | 7.2 | 8 | 9.3 |
| Ash content (%) | 0.7 | 0.7 | 16.7 |
| Fixed carbon (%) | 17.7 | 17.9 | 16.0 |
| Volatile matters (%) | 74.4 | 73.0 | 58.0 |
| Storage Code | Storage Type | Temperature (°C) | RH (%) | Example Countries |
|---|---|---|---|---|
| T−19_RH90 | Freezer | −19 | 90 | Sweden, Norway, Finland, Canada |
| T5_RH86 | Climate room | 5 | 86 | The Netherlands, Germany, France |
| T20_RH50 | Climate room | 20 | 50 | Italy, Portugal, Poland, UK |
| T20_RH65 | Climate room | 20 | 65 | |
| T20_RH80 | Climate room | 20 | 80 | |
| T40_RH85 | Climate chamber | 40 | 85 | Spain, USA, Brazil |
© 2020 by the authors. Licensee MDPI, Basel, Switzerland. This article is an open access article distributed under the terms and conditions of the Creative Commons Attribution (CC BY) license (http://creativecommons.org/licenses/by/4.0/).
Share and Cite
Gilvari, H.; Cutz, L.; Tiringer, U.; Mol, A.; de Jong, W.; Schott, D.L. The Effect of Environmental Conditions on the Degradation Behavior of Biomass Pellets. Polymers 2020, 12, 970. https://doi.org/10.3390/polym12040970
Gilvari H, Cutz L, Tiringer U, Mol A, de Jong W, Schott DL. The Effect of Environmental Conditions on the Degradation Behavior of Biomass Pellets. Polymers. 2020; 12(4):970. https://doi.org/10.3390/polym12040970
Chicago/Turabian StyleGilvari, Hamid, Luis Cutz, Urša Tiringer, Arjan Mol, Wiebren de Jong, and Dingena L. Schott. 2020. "The Effect of Environmental Conditions on the Degradation Behavior of Biomass Pellets" Polymers 12, no. 4: 970. https://doi.org/10.3390/polym12040970
APA StyleGilvari, H., Cutz, L., Tiringer, U., Mol, A., de Jong, W., & Schott, D. L. (2020). The Effect of Environmental Conditions on the Degradation Behavior of Biomass Pellets. Polymers, 12(4), 970. https://doi.org/10.3390/polym12040970

