Buckling Analysis of Pultruded Glass Fiber Reinforced Polymer (GFRP) Angle Sections
Abstract
1. Introduction
2. Finite Element Analysis
3. Experimental Program
4. Results and Discussions
4.1. Experimental Results
Failure of GFRP Angle Sections
4.2. Finite Element Analysis
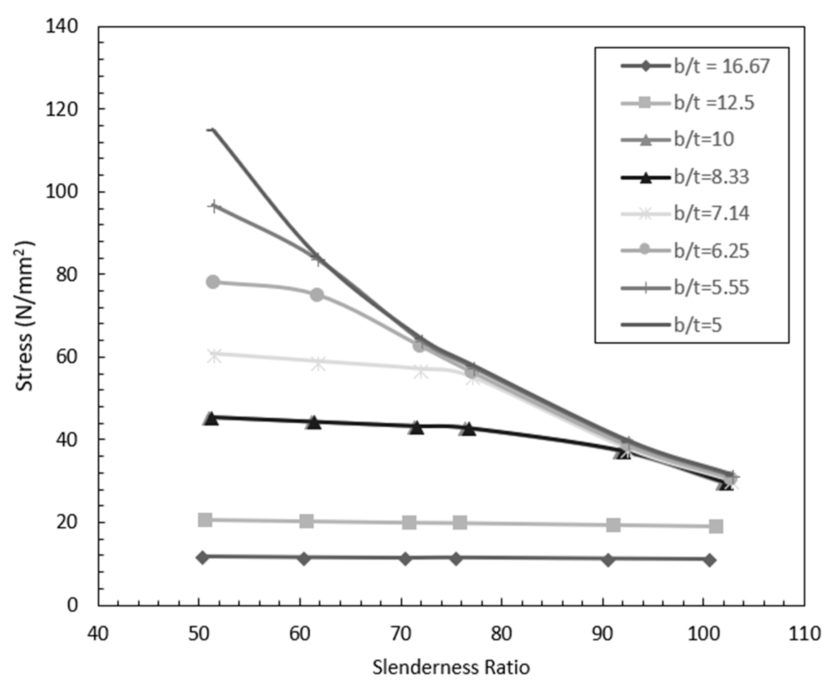
4.3. Effect of Width-To-Thickness Ratio
5. Conclusions
- Specimens of length 750 mm and 1000 mm buckled in overall flexural buckling mode with opening of the flanges. The failure was by rupture of fibers at the junction of the two flanges at mid height.
- Specimens of length 500 mm failed by torsional buckling with closing of the flanges near the loading end. The failure was by rupture of fibers in one of the flanges.
- Based on experimental study, it is observed that an increase in b/t ratio from 8.3 to 12.5 decreases the load carrying capacity by about 60%.
- Developed finite element model compares well with the experimental study.
- Based on the parametric study, it is observed that the buckling strength decreases with increase in slenderness ratio and width-to-thickness ratio.
- The influence of width-to-thickness ratio is more at lower slenderness ratios. However the study was limited to GFRP angles in the slenderness range of 50 to 100. Future studies can include slenderness ratios beyond these values to have a better understanding of the behavior.
Author Contributions
Funding
Acknowledgments
Conflicts of Interest
References
- Godat, A.; Légeron, F.; Gagné, V.; Marmion, B. Use of FRP pultruded members for electricity transmission towers. Compos. Struct. 2013, 105, 408–421. [Google Scholar] [CrossRef]
- Prasad Rao, N.; Rokade, R.P.; Balagopal, R. Failure investigation of GFRP communication towers. Eng. Fail. Anal. 2017, 79, 397–407. [Google Scholar] [CrossRef]
- Zureick, A.; Steffen, R. Behavior and design of concentrically loaded pultruded angle struts. J. Struct. Eng. N. Y. 2000, 126, 406–416. [Google Scholar] [CrossRef]
- Cardoso, D.C.T.; Togashi, B.S. Experimental investigation on the flexural-torsional buckling behavior of pultruded GFRP angle columns. Thin-Walled Struct. 2018, 125, 269–280. [Google Scholar] [CrossRef]
- Barbero, E.; Tomblin, J. Euler buckling of thin-walled composite columns. Thin-Walled Struct. 1993, 17, 237–258. [Google Scholar] [CrossRef]
- Barbero, E.; Tomblin, J. A phenomenological design equation for FRP columns with interaction between local and global buckling. Thin-Walled Struct. 1994, 18, 117–131. [Google Scholar] [CrossRef]
- Pecce, M.; Cosenza, E. Local buckling curves for the design of FRP profiles. Thin-Walled Struct. 2000, 37, 207–222. [Google Scholar] [CrossRef]
- Mottram, J.T. Determination of critical load for flange buckling in concentrically loaded pultruded columns. Compos. Part B Eng. 2004, 35, 35–47. [Google Scholar] [CrossRef]
- Ragheb, W.F. Local buckling analysis of pultruded FRP structural shapes subjected to eccentric compression. Thin-Walled Struct. 2010, 48, 709–717. [Google Scholar] [CrossRef]
- Nunes, F.; Correia, M.; Correia, J.R.; Silvestre, N.; Moreira, A. Experimental and numerical study on the structural behavior of eccentrically loaded GFRP columns. Thin-Walled Struct. 2013, 72, 175–187. [Google Scholar] [CrossRef]
- Cardoso, D.C.T.; Harries, K.A.; Batista, E.D.M. Compressive local buckling of pultruded GFRP I-sections: Development and numerical/experimental evaluation of an explicit equation. J. Compos. Constr. 2015, 19. [Google Scholar] [CrossRef]
- Nunes, F.; Correia, J.R.; Silvestre, N. Structural behaviour of hybrid FRP pultruded columns. Part 1: Experimental study. Compos. Struct. 2016, 139, 291–303. [Google Scholar] [CrossRef]
- Liu, T.Q.; Vieira, J.D.; Harries, K.A. Lateral torsional buckling and section distortion of pultruded GFRP I-sections subject to flexure. Compos. Struct. 2019, 225, 111151. [Google Scholar] [CrossRef]
- Shan, L.; Qiao, P. Flexural-torsional buckling of fiber-reinforced plastic composite open channel beams. Compos. Struct. 2005, 68, 211–224. [Google Scholar] [CrossRef]
- Doan, Q.H.; Thai, D. materials A Numerical Study of the Effect of Component Dimensions on the Critical Buckling Load of a GFRP Composite Strut under Uniaxial Compression. Materials 2020, 13, 931. [Google Scholar] [CrossRef] [PubMed]
- Hashem, Z.A.; Yuan, R.L. Short vs. long column behavior of pultruded glass-fiber reinforced polymer composites. Constr. Build. Mater. 2001, 15, 369–378. [Google Scholar] [CrossRef]
- Cardoso, D.C.T.; Harries, K.A.; Batista, E.D.M. Compressive strength equation for GFRP square tube columns. Compos. Part B Eng. 2014, 59, 1–11. [Google Scholar] [CrossRef]
- Puente, I.; Insausti, A.; Azkune, M. Buckling of GFRP columns: An empirical approach to design. J. Compos. Constr. 2006, 10, 529–537. [Google Scholar] [CrossRef]
- Laudiero, F.; Minghini, F.; Tullini, N. Buckling and postbuckling finite-element analysis of pultruded FRP profiles under pure compression. J. Compos. Constr. 2014, 18, 04013026. [Google Scholar] [CrossRef]
- Cintra, G.G.; Cardoso, D.C.T.; Vieira, J.D. Parameters affecting local buckling response of pultruded GFRP I-columns: Experimental and numerical investigation. Compos. Struct. 2019, 222, 110897. [Google Scholar] [CrossRef]
- Selvaraj, M.; Kulkarni, S.M.; Rameshbabu, R. Performance Analysis of a Overhead Power Transmission Line Tower Using Polymer Composite Material. Procedia Mater. Sci. 2014, 5, 1340–1348. [Google Scholar] [CrossRef]
- Selvaraj, M.; Kulkarni, S.M.; Babu, R.R. Structural evaluation of FRP Pultruded Sections in overhead transmission line Towers. Int. J. Civ. Struct. Eng. 2012, 2, 943–949. [Google Scholar] [CrossRef]
- Balagopal, R.; Prasad Rao, N.; Rokade, R.P. Investigation on Buckling Behaviour of GFRP Angle Sections with Bolted Connections in Lattice Towers. J. Inst. Eng. Ser. A 2020, 101, 327–342. [Google Scholar] [CrossRef]










| S.No. | Size of GFRP Angle Section | Length (mm) | Longitudinal Modulus of Elasticity (MPa) | b/t | l/r | Buckling Load (kN) | |
|---|---|---|---|---|---|---|---|
| Experiment | FEA | ||||||
| 1 | 102 × 102 × 12.5 | 152 | 50.50 | 8 | 79 | 56 kN | 64.4 kN |
| FRP Angle Section (mm) | Section Area (mm2) | Centre of Gravity Cxx, Cyy (mm) | Radius of Gyration (mm) | Moment of Inertia ×104 (mm4) | |||||
|---|---|---|---|---|---|---|---|---|---|
| rxx, ryy | ruu | rvv | Ixx, Iyy | Iuu | Ivv | Ixy | |||
| 50 × 50 × 4 | 384 | 13.9 | 15.5 | 19.5 | 9.9 | 9.26 | 14.7 | 3.8 | 5.5 |
| 50 × 50 × 6 | 564 | 14.7 | 15.2 | 19.2 | 9.8 | 13.1 | 20.8 | 5.4 | 7.7 |
| S.No. | Size of GFRP Angle Section | Length (mm) | Slenderness Ratio | Ultimate Strength (kN) | PFEA/PEXP | |
|---|---|---|---|---|---|---|
| Experiment (PEXP) | FEA (PFEA) | |||||
| 1 | 50 × 50 × 4 mm | 500 | 50.50 | 11.56 | 13.92 | 1.204 |
| 2 | 50 × 50 × 4 mm | 750 | 75.75 | 7.85 | 8.31 | 1.059 |
| 3 | 50 × 50 × 6 mm | 500 | 51.00 | 27.00 | 28.83 | 1.068 |
| 4 | 50 × 50 × 6 mm | 750 | 76.50 | 21.56 | 22.68 | 1.052 |
| 5 | 50 × 50 × 6 mm | 1000 | 102.00 | 18.15 | 19.92 | 1.098 |
| Mean | 1.096 | |||||
| Standard Deviation | 0.0563 | |||||
| Size of the GFRP Angle Section (mm) | Width-To-Thickness Ratio (b/t) | Area of Cross-Section (mm2) | Least Radius of Gyration (mm) |
|---|---|---|---|
| 50 × 50 × 3 | 16.7 | 291 | 9.95 |
| 50 × 50 × 4 | 12.5 | 384 | 9.88 |
| 50 × 50 × 5 | 10.0 | 475 | 9.83 |
| 50 × 50 × 6 | 8.3 | 564 | 9.79 |
| 50 × 50 × 7 | 7.1 | 651 | 9.76 |
| 50 × 50 × 8 | 6.3 | 736 | 9.74 |
| 50 × 50 × 9 | 5.6 | 819 | 9.73 |
| 50 × 50 × 10 | 5.0 | 900 | 9.73 |
Publisher’s Note: MDPI stays neutral with regard to jurisdictional claims in published maps and institutional affiliations. |
© 2020 by the authors. Licensee MDPI, Basel, Switzerland. This article is an open access article distributed under the terms and conditions of the Creative Commons Attribution (CC BY) license (http://creativecommons.org/licenses/by/4.0/).
Share and Cite
Sirajudeen, R.S.; Sekar, R. Buckling Analysis of Pultruded Glass Fiber Reinforced Polymer (GFRP) Angle Sections. Polymers 2020, 12, 2532. https://doi.org/10.3390/polym12112532
Sirajudeen RS, Sekar R. Buckling Analysis of Pultruded Glass Fiber Reinforced Polymer (GFRP) Angle Sections. Polymers. 2020; 12(11):2532. https://doi.org/10.3390/polym12112532
Chicago/Turabian StyleSirajudeen, Rahima Shabeen, and Rajesh Sekar. 2020. "Buckling Analysis of Pultruded Glass Fiber Reinforced Polymer (GFRP) Angle Sections" Polymers 12, no. 11: 2532. https://doi.org/10.3390/polym12112532
APA StyleSirajudeen, R. S., & Sekar, R. (2020). Buckling Analysis of Pultruded Glass Fiber Reinforced Polymer (GFRP) Angle Sections. Polymers, 12(11), 2532. https://doi.org/10.3390/polym12112532

