Dielectric Polarization and Electrorheological Response of Poly(ethylaniline)-Coated Reduced Graphene Oxide Nanoflakes with Different Reduction Degrees
Abstract
1. Introduction
2. Materials and Methods
2.1. Preparation of PEANI/GO Composite Nanoflakes
2.2. Preparation of PEANI/rGO with Different Reduction Degrees
2.3. Preparation of ERFs
2.4. Characterization and Measurements
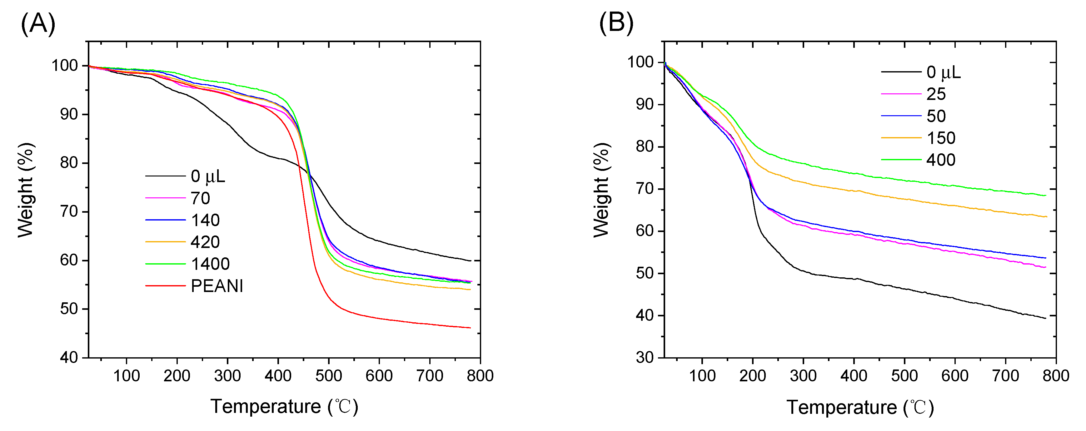
3. Results and Discussion
4. Conclusions
Supplementary Materials
Author Contributions
Funding
Acknowledgments
Conflicts of Interest
References
- Liu, Y.D.; Choi, H.J. Electrorheological fluids: Smart soft matter and characteristics. Soft Matter 2012, 8, 11961–11978. [Google Scholar] [CrossRef]
- Wen, W.; Huang, X.; Yang, S.; Lu, K.; Sheng, P. The giant electrorheological effect in suspensions of nanoparticles. Nat. Mater. 2003, 2, 727–730. [Google Scholar] [CrossRef] [PubMed]
- Liu, Y.; Davidson, R.; Taylor, P. Touch sensitive electrorheological fluid based tactile display. Smart Mater. Struct. 2005, 14, 1563–1568. [Google Scholar] [CrossRef]
- Choi, S.-B.; Han, Y.-M. Vibration control of electrorheological seat suspension with human-body model using sliding mode control. J. Sound Vib. 2007, 303, 391–404. [Google Scholar] [CrossRef]
- Kaku, T.; Kuriyagawa, T.; Yoshihara, N. Electrorheological fluid-assisted polishing of WC micro aspherical glass moulding dies. Int. J. Manuf. Technol. Manag. 2006, 9, 109–119. [Google Scholar] [CrossRef]
- Coulter, J.P.; Weiss, K.D.; Carlson, J.D. Engineering applications of electrorheological materials. J. Intell. Mater. Syst. Struct. 1993, 4, 248–259. [Google Scholar] [CrossRef]
- Yu, X.; Cheng, H.; Zhang, M.; Zhao, Y.; Qu, L.; Shi, G. Graphene-based smart materials. Nat. Rev. Mater. 2017, 2, 17046. [Google Scholar] [CrossRef]
- Zhang, W.L.; Choi, H.J. Graphene oxide based smart fluids. Soft Matter 2014, 10, 6601–6608. [Google Scholar] [CrossRef]
- Zhang, W.L.; Liu, Y.D.; Choi, H.J.; Kim, S.G. Electrorheology of graphene oxide. ACS Appl. Mater. Interfaces 2012, 4, 2267–2272. [Google Scholar] [CrossRef]
- Hong, J.Y.; Jang, J. Highly stable, concentrated dispersions of graphene oxide sheets and their electro-responsive characteristics. Soft Matter 2012, 8, 3348–3350. [Google Scholar] [CrossRef]
- Yin, J.; Chang, R.; Kai, Y.; Zhao, X. Highly stable and AC electric field-activated electrorheological fluid based on mesoporous silica-coated graphene nanosheets. Soft Matter 2013, 9, 3910–3914. [Google Scholar] [CrossRef]
- Li, Y.; Guan, Y.; Liu, Y.; Yin, J.; Zhao, X. Highly stable nanofluid based on polyhedral oligomeric silsesquioxane-decorated graphene oxide nanosheets and its enhanced electro-responsive behavior. Nanotechnology 2016, 27, 195702. [Google Scholar] [CrossRef] [PubMed]
- Zhang, W.L.; Park, B.J.; Choi, H.J. Colloidal graphene oxide/polyaniline nanocomposite and its electrorheology. Chem. Commun. 2010, 46, 5596–5598. [Google Scholar] [CrossRef] [PubMed]
- Sim, B.; Zhang, W.L.; Choi, H.J. Graphene oxide/poly(2-methylaniline) composite particle suspension and its electro-response. Mater. Chem. Phys. 2015, 153, 443–449. [Google Scholar] [CrossRef]
- Yin, J.; Wang, X.; Chang, R.; Zhao, X. Polyaniline decorated graphene sheet suspension with enhanced electrorheology. Soft Matter 2012, 8, 294–297. [Google Scholar] [CrossRef]
- Yin, J.; Chang, R.; Shui, Y.; Zhao, X. Preparation and enhanced electro-responsive characteristic of reduced graphene oxide/polypyrrole composite sheet suspensions. Soft Matter 2013, 9, 7468–7478. [Google Scholar] [CrossRef]
- Yin, J.; Shui, Y.; Chang, R.; Zhao, X. Graphene-supported carbonaceous dielectric sheets and their electrorheology. Carbon 2012, 50, 5247–5255. [Google Scholar] [CrossRef]
- Marcano, D.C.; Kosynkin, D.V.; Berlin, J.M.; Sinitskii, A.; Sun, Z.Z.; Slesarev, A.; Alemany, L.B.; Lu, W.; Tour, J.M. Improved synthesis of graphene oxide. ACS Nano 2010, 4, 4806–4814. [Google Scholar] [CrossRef]
- Li, L.; Yin, J.; Liu, Y.; Zhao, X. Graphene oxide vs. reduced graphene oxide as core substrate for core/shell-structured dielectric nanoplates with different electro-responsive characteristics. J. Mater. Chem. C 2015, 3, 5098–5108. [Google Scholar] [CrossRef]
- Baird, N.; Wang, H.Z. The polaron lattice and the mechanism of conduction for doped polyaniline. Chem. Phys. Lett. 1993, 202, 501–505. [Google Scholar] [CrossRef]
- Shokr, F.S.; Al-Gahtany, S.A. Synthesis, characterization, and charge transport mechanism of polyaniline/ZnSe nanocomposites for promising optoelectronic applications. Polym. Compos. 2018, 39, 1724–1730. [Google Scholar] [CrossRef]
- Takamori, D.Y.; Bizeto, M.A.; Fantini, M.C.d.A.; Rubinger, C.P.L.; Faez, R.; Martins, T.S. Polyaniline inclusion into ordered mesoporous silica matrices: Synthesis, characterization and electrical transport mechanism. Micropor. Mesopor. Mater. 2019, 274, 212–219. [Google Scholar] [CrossRef]
- Lin, Y.F.; Chen, C.H.; Xie, W.J.; Yang, S.H.; Hsu, C.S.; Lin, M.T.; Jian, W.B. Nano approach investigation of the conduction mechanism in polyaniline nanofibers. ACS Nano 2011, 5, 1541–1548. [Google Scholar] [CrossRef]
- Aunkor, M.T.H.; Mahbubul, I.M.; Saidur, R.; Metselaar, H.S.C. The green reduction of graphene oxide. RSC Adv. 2016, 6, 27807–27828. [Google Scholar] [CrossRef]
- Jakhar, R.; Yap, J.E.; Joshi, R. Microwave reduction of graphene oxide. Carbon 2020, 170, 277–293. [Google Scholar] [CrossRef]
- Singh, R.K.; Kumar, R.; Singh, D.P. Graphene oxide: Strategies for synthesis, reduction and frontier applications. RSC Adv. 2016, 6, 64993–65011. [Google Scholar] [CrossRef]
- Ren, P.G.; Yan, D.X.; Ji, X.; Chen, T.; Li, Z.M. Temperature dependence of graphene oxide reduced by hydrazine hydrate. Nanotechnology 2011, 22, 055705. [Google Scholar] [CrossRef]
- Zeng, X.R.; Ko, T.M. Structures and properties of chemically reduced polyanilines. Polymer 1998, 39, 1187–1195. [Google Scholar] [CrossRef]
- Li, W.G.; Wan, M.X. Stability of Polyaniline synthesized by a doping–dedoping–redoping method. J. Appl. Polym. Sci. 1999, 71, 615–621. [Google Scholar] [CrossRef]
- Xu, J.J.; Wang, K.; Zu, S.Z.; Han, B.H.; Wei, Z.X. Hierarchical nanocomposites of polyaniline nanowire arrays on graphene oxide sheets with synergistic effect for energy storage. ACS Nano 2010, 4, 5019–5026. [Google Scholar] [CrossRef]
- Whittle, M.; Bullough, W.A.; Peel, D.J.; Firoozian, R. Dependence of electrorheological response on conductivity and polarization time. Phys. Rev. E 1994, 49, 5249–5259. [Google Scholar] [CrossRef] [PubMed]
- Havriliak, S.; Negami, S. A complex plane representation of dielectric and mechanical relaxation processes in some polymers. Polymer 1967, 8, 161–210. [Google Scholar] [CrossRef]
- Zheng, C.; Liu, Y.; Dong, Y.; He, F.; Zhao, X.; Yin, J. Low-temperature interfacial polymerization and enhanced electro-responsive characteristic of poly(ionic liquid)s@polyaniline core-shell microspheres. Macromol. Rapid Commun. 2019, 40, 1800351. [Google Scholar] [CrossRef]
- Zheng, C.; Lei, Q.; Zhao, J.; Zhao, X.; Yin, J. The effect of dielectric polarization rate difference of filler and matrix on the electrorheological responses of poly(ionic liquid)/polyaniline composite particles. Polymers 2020, 12, 703. [Google Scholar] [CrossRef] [PubMed]
- Wübbenhorst, M.; Turnhout, J.V. Analysis of complex dielectric spectra. I. One-dimensional derivative techniques and three-dimensional modelling. J. Non-Cryst. Solids 2002, 305, 40–49. [Google Scholar] [CrossRef]
- Lopez-Lopez, M.T.; Gomez-Ramirez, A.; Rodriguez-Arco, L.; Duran, J.D.; Iskakova, L.; Zubarev, A. Colloids on the frontier of ferrofluids. Rheological properties. Langmuir 2012, 28, 6232–6245. [Google Scholar] [CrossRef]
- Cho, M.S.; Cho, Y.H.; Choi, H.J.; Jhon, M.S. Synthesis and electrorheological characteristics of polyaniline-coated poly(methyl methacrylate) microsphere: Size effect. Langmuir 2003, 19, 5875–5881. [Google Scholar] [CrossRef]
- Wang, Z.; Zhao, J.; Zheng, C.; Liu, Y.; Zhao, X.; Yin, J. Enhanced interfacial polarization and electro-responsive characteristic of di-ionic poly(ionic liquid)s. Polymer 2019, 182, 121847. [Google Scholar] [CrossRef]
- Zhang, W.L.; Tian, J.; Zeng, H.; Liu, J.; Tian, Y. Promoted electro-responsive performances in an interface-confined oxidized niobium carbide MXene. Chem. Eng. J. 2019, 366, 321–329. [Google Scholar] [CrossRef]
- Ikazaki, F.; Kawai, A.; Uchida, K.; Kawakami, T.; Edamura, K.; Sakurai, K.; Anzai, H.; Asako, Y. Mechanisms of electrorheology: The effect of the dielectric property. J. Phys. D Appl. Phys. 1998, 31, 336–347. [Google Scholar] [CrossRef]
- He, K.; Wen, Q.; Wang, C.; Wang, B.; Yu, S.; Hao, C.; Chen, K. A facile synthesis of hierarchical flower-like TiO2 wrapped with MoS2 sheets nanostructure for enhanced electrorheological activity. Chem. Eng. J. 2018, 349, 416–427. [Google Scholar] [CrossRef]
- Liu, Y.; Wang, B.; Dong, Y.; Zhao, X.; Yin, J. Distinctly different electroresponsive electrorheological effect in low-molecular-weight and polymerized ionic liquids: Rheological and dielectric relaxation studies. J. Phys. Chem. B 2018, 122, 12184–12193. [Google Scholar] [CrossRef] [PubMed]
- Zhao, J.; Lei, Q.; He, F.; Zheng, C.; Liu, Y.; Zhao, X.; Yin, J. Nonmonotonic influence of size of quaternary ammonium countercations on micromorphology, polarization, and electroresponse of anionic poly(ionic liquid)s. J. Phys. Chem. B 2020, 124, 2920–2929. [Google Scholar] [CrossRef] [PubMed]







| Hydrazine (μL) | △ε′1 | △ε′2 | △ε′ | 1 (S) | 2 (S) | Ea1 (kJ/mol) | Ea2 (kJ/mol) |
|---|---|---|---|---|---|---|---|
| 70 | 1.75 | 3.27 | 5.02 | 1.36 × 10−4 | 3.00 × 10−5 | 30.8 | 33.5 |
| 140 | 1.17 | 3.49 | 4.66 | 4.50 × 10−4 | 6.00 × 10−6 | 52.4 | 37.0 |
| 420 | 0.89 | 3.46 | 4.35 | 1.50 × 10−3 | 7.80 × 10−7 | 50.7 | 22.9 |
| 1400 | 0.48 | 4.50 | 4.98 | 2.30 × 10−3 | 5.50 × 10−8 | 47.8 | 7.1 |
Publisher’s Note: MDPI stays neutral with regard to jurisdictional claims in published maps and institutional affiliations. |
© 2020 by the authors. Licensee MDPI, Basel, Switzerland. This article is an open access article distributed under the terms and conditions of the Creative Commons Attribution (CC BY) license (http://creativecommons.org/licenses/by/4.0/).
Share and Cite
Wang, Y.; Yang, M.; Chen, H.; Zhao, X.; Yin, J. Dielectric Polarization and Electrorheological Response of Poly(ethylaniline)-Coated Reduced Graphene Oxide Nanoflakes with Different Reduction Degrees. Polymers 2020, 12, 2528. https://doi.org/10.3390/polym12112528
Wang Y, Yang M, Chen H, Zhao X, Yin J. Dielectric Polarization and Electrorheological Response of Poly(ethylaniline)-Coated Reduced Graphene Oxide Nanoflakes with Different Reduction Degrees. Polymers. 2020; 12(11):2528. https://doi.org/10.3390/polym12112528
Chicago/Turabian StyleWang, Yudong, Min Yang, Honggang Chen, Xiaopeng Zhao, and Jianbo Yin. 2020. "Dielectric Polarization and Electrorheological Response of Poly(ethylaniline)-Coated Reduced Graphene Oxide Nanoflakes with Different Reduction Degrees" Polymers 12, no. 11: 2528. https://doi.org/10.3390/polym12112528
APA StyleWang, Y., Yang, M., Chen, H., Zhao, X., & Yin, J. (2020). Dielectric Polarization and Electrorheological Response of Poly(ethylaniline)-Coated Reduced Graphene Oxide Nanoflakes with Different Reduction Degrees. Polymers, 12(11), 2528. https://doi.org/10.3390/polym12112528

