Structural and Thermal Properties of Ethylene-Norbornene Copolymers Obtained Using Vanadium Homogeneous and SIL Catalysts
Abstract
1. Introduction
2. Materials and Methods
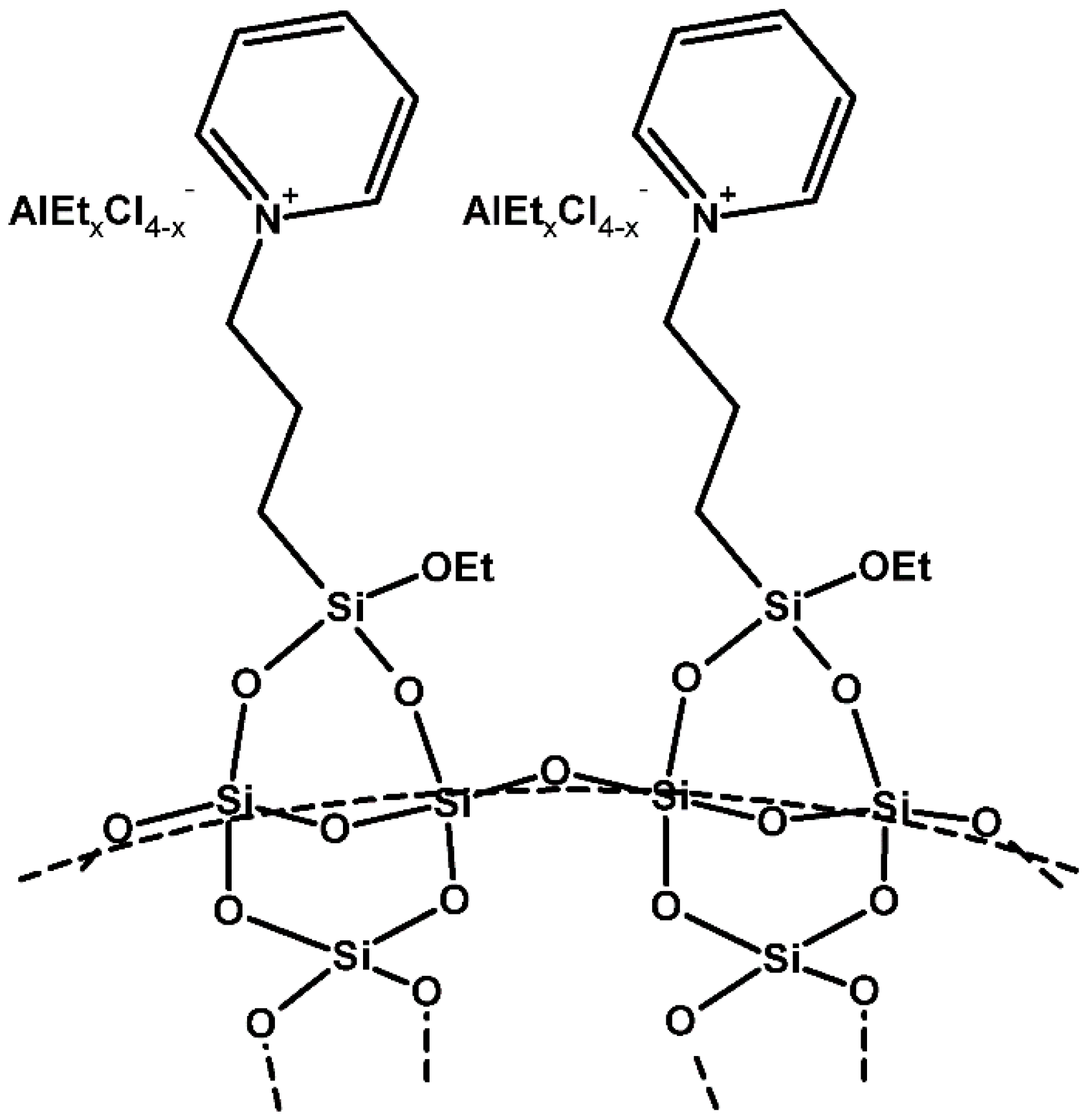
2.1. Compounds
2.2. Characterization Techniques
3. Results
3.1. Copolymers Composition
3.2. Unsaturation Group Study of E-NB Copolymers
3.3. Thermal Properties of Copolymers
4. Conclusions
Supplementary Materials
Author Contributions
Funding
Conflicts of Interest
References
- Leone, G.; Pierro, I.; Zanchin, G.; Forni, A.; Bertini, F.; Rapallo, A.; Ricci, G. Vanadium(III)–catalyzed copolymerization of ethylene with norbornene: Microstructure at tetrad level and reactivity ratios. J. Mol. Catal. A Chem. 2016, 424, 220–231. [Google Scholar] [CrossRef]
- Tritto, I.; Boggioni, L.; Scalcione, G.; Sidari, D.; Galotto, N.G. Novel norbornene copolymers with transition metal catalysts. J. Organomet. Chem. 2015, 798, 367–374. [Google Scholar] [CrossRef]
- Add a Layer of COC to Boost Polyolefin Film Properties. Available online: https://www.ptonline.com/articles/add-a-layer-of-coc-to-boost-polyolefin-film-properties (accessed on 25 October 2011).
- Advanced Resins for Your Leading Products. Available online: https://topas.com/products/topas-coc-polymers (accessed on 4 May 2020).
- Cyclo Olefin Copolymer (COC). Available online: https://us.mitsuichemicals.com/service/product/apel.htm (accessed on 13 August 2020).
- Boggioni, L.; Sidari, D.; Losio, S.; Stehling, U.M.; Auriemma, F.; Di Girolamo, R.; De Rosa, C.; Tritto, I. Ethylene–co–norbornene copolymerization in the presence of a chain transfer agent. Eur. Polym. J. 2018, 107, 54–66. [Google Scholar] [CrossRef]
- Li, X.; Hou, Z. Organometallic catalysts for copolymerization of cyclic olefins. Coord. Chem. Rev. 2008, 252, 1842–1869. [Google Scholar] [CrossRef]
- Wang, B.; Long, Y.-Y.; Li, Y.-G.; Men, Y.-F.; Li, Y.-S. Cyclic olefin copolymers of propylene with asymmetric Si-containing α,ω-diolefins: The tailored thermal and mechanical properties. Polymer 2015, 61, 108–114. [Google Scholar] [CrossRef]
- Kaminsky, W. Polymerization catalysis. Catal. Today 2000, 62, 23–34. [Google Scholar] [CrossRef]
- Kaminsky, W.; Arndt, M. Metallocenes for Polymer Catalysis, Polymer Synthesis/Polymer Catalysis; Springer: Berlin/Heidelberg, Germany, 1997; pp. 143–187. [Google Scholar]
- Boggioni, L.; Sidari, D.; Losio, S.; Stehling, U.M.; Auriemma, F.; Malafronte, A.; Di Girolamo, R.; De Rosa, C.; Tritto, I. Ethylene-co-norbornene Copolymerization Using a Dual Catalyst System in the Presence of a Chain Transfer Agent. Polymers 2019, 11, 554. [Google Scholar] [CrossRef]
- Boggioni, L.; Tritto, I. State of the art of cyclic olefin polymers. MRS Bull. 2013, 38, 245–251. [Google Scholar] [CrossRef]
- Frensdorff, H.K.; Pariser, R. Copolymerization as a Markov Chain. J. Chem. Phys. 1963, 39, 2303. [Google Scholar] [CrossRef]
- Budagumpi, S.; Keri, R.S.; Biffis, A.; Patil, S.A. Olefin poly/oligomerizations by metal precatalysts bearing non–heterocyclic N–donor ligands. Appl. Catal. A Gen. 2017, 535, 32–60. [Google Scholar] [CrossRef]
- Szeluga, U.; Moryc, P. Viscoelastic properties and morphology of dicyanate ester/epoxy co-polymers modified with polysiloxane and butadiene-acrylonitrile rubbers. J. Therm. Anal. Calorim. 2013, 114, 137–146. [Google Scholar] [CrossRef]
- Kolosov, N.A.; Tuskaev, V.A.; Gagieva, S.C.; Fedyanin, I.V.; Khrustalev, V.N.; Polyakova, O.V.; Bulychev, B.M. Vanadium (V) and titanium (IV) compounds with 2-[hydroxy(diaryl)methyl]-8-hydroxyquinolines: Synthesis, structure and catalytic behaviors to olefin polymerization. Eur. Polym. J. 2017, 87, 266–276. [Google Scholar] [CrossRef]
- Redshaw, C.; Walton, M.J.; Elsegood, M.R.J.; Prior, T.J.; Michiue, K. Vanadium(v) tetra-phenolate complexes: Synthesis, structural studies and ethylene homo-(co-)polymerization capability. RSC Adv. 2015, 5, 89783–89796. [Google Scholar] [CrossRef]
- Wang, J.-B.; Lu, L.-P.; Liu, J.-Y.; Li, Y.-S. [ONN]-type amine pyridine(s) phenolate-based oxovanadium(v) catalysts for ethylene homo- and copolymerization. Dalton Trans. 2014, 43, 12926–12934. [Google Scholar] [CrossRef] [PubMed]
- Nomura, K.; Zhang, S. Design of Vanadium Complex Catalysts for Precise Olefin Polymerization. Chem. Rev. 2011, 111, 2342–2362. [Google Scholar] [CrossRef] [PubMed]
- Hagen, H.; Boersma, J.; van Koten, G. Homogeneous vanadium-based catalysts for the Ziegler–Natta polymerization of α-olefins. Chem. Soc. Rev. 2002, 31, 357–364. [Google Scholar] [CrossRef]
- Ochędzan-Siodłak, W.; Bihun, A. Copolymerization of ethylene with norbornene or 1-octene using supported ionic liquid systems. Polym. Bull. 2017, 74, 2799–2817. [Google Scholar] [CrossRef]
- Elagab, H.A.; Alt, H.G. Ti, Zr and V complexes with N-allyl functionalized heterocyclic ligands as catalysts for ethylene polymerization. Polyhedron 2016, 115, 17–29. [Google Scholar] [CrossRef]
- Zanchin, G.; Gavezzoli, A.; Bertini, F.; Ricci, G.; Leone, G. Homo- and Copolymerization of Ethylene with Norbornene Catalyzed by Vanadium(III) Phosphine Complexes. Molecules 2019, 24, 2088. [Google Scholar] [CrossRef]
- Zanchin, G.; Vendier, L.; Pierro, I.; Bertini, F.; Ricci, G.; Lorber, C.; Leone, G. Homo- and Co-Polymerization of Ethylene with Cyclic Olefins Catalyzed by Phosphine Adducts of (Imido)vanadium(IV) Complexes. Organometallics 2018, 37, 3181–3195. [Google Scholar] [CrossRef]
- Zanchin, G.; Pierro, I.; Parisini, E.; Martí-Rujas, J.; Ricci, G.; Leone, G. Synthesis, structure and behavior of vanadium(III) diphosphine complexes in the homo- and co-polymerization of ethylene with norbornene: The ligand donor strength and bite angle make the difference. J. Organomet. Chem. 2018, 861, 142–150. [Google Scholar] [CrossRef]
- Ochędzan-Siodłak, W.; Bihun-Kisiel, A.; Siodłak, D.; Poliwoda, A.; Dziuk, B. Titanium and vanadium catalysts with oxazoline ligands for ethylene-norbornene (co)polymerization. Eur. Polym. J. 2018, 106, 148–155. [Google Scholar] [CrossRef]
- Wang, H.; Cheng, H.; Tanaka, R.; Shiono, T.; Cai, Z. Efficient control of ethylene–norbornene copolymerization behavior of a fluorenylamido-ligated titanium complex: Substituent effects of the amido ligand and copolymer properties. Polym. Chem. 2018, 9, 4492–4497. [Google Scholar] [CrossRef]
- Wu, J.-Q.; Li, Y.-S. Well-defined vanadium complexes as the catalysts for olefin polymerization. Coord. Chem. Rev. 2011, 255, 2303–2314. [Google Scholar] [CrossRef]
- Langeslay, R.R.; Kaphan, D.M.; Marshall, C.L.; Stair, P.C.; Sattelberger, A.P.; Delferro, M. Catalytic Applications of Vanadium: A Mechanistic Perspective. Chem. Rev. 2019, 119, 2128–2191. [Google Scholar] [CrossRef]
- Diteepeng, N.; Tang, X.; Hou, X.; Li, Y.-S.; Phomphrai, K.; Nomura, K. Ethylene polymerisation and ethylene/norbornene copolymerisation by using aryloxo-modified vanadium(v) complexes containing 2,6-difluoro-, dichloro-phenylimido complexes. Dalton Trans. 2015, 44, 12273–12281. [Google Scholar] [CrossRef]
- Liu, Y.; Xiang, H.-X.; Wang, K.-T.; Wu, G.; Li, Y.-B. Efficient Preparation of Cyclic Olefin Copolymers with Unreacted Double Bonds by Using Thermal Stable Non-Metallocene Vanadium Catalytic System. Macromol. Chem. Phys. 2019, 220, 1900008. [Google Scholar] [CrossRef]
- Wang, W.; Nomura, K. Notable Effects of Aluminum Alkyls and Solvents for Highly Efficient Ethylene (Co)polymerizations Catalyzed by (Arylimido)- (aryloxo)vanadium Complexes. Adv. Synth. Catal. 2006, 348, 743–750. [Google Scholar] [CrossRef]
- Wu, J.-Q.; Mu, J.-S.; Zhang, S.-W.; Li, Y.-S. Vanadium(V) complexes containing tetradentate amine trihydroxy ligands as catalysts for copolymerization of cyclic olefins. J. Polym. Sci. Part A Polym. Chem. 2010, 48, 1122–1132. [Google Scholar] [CrossRef]
- Desimoni, G.; Faita, G.; Jørgensen, K.A. C2-Symmetric Chiral Bis(Oxazoline) Ligands in Asymmetric Catalysis. Chem. Rev. 2006, 106, 3561–3651. [Google Scholar] [CrossRef]
- Phillips, A.M.F.; Suo, H.; Guedes da Silva, M.d.F.C.; Pombeiro, A.J.L.; Sun, W.-H. Recent developments in vanadium-catalyzed olefin coordination polymerization. Coord. Chem. Rev. 2020, 416, 213332. [Google Scholar] [CrossRef]
- Ben Zid, T.; Fadhli, M.; Khedher, I.; Fraile, J.M. New bis(oxazoline)–vanadyl complexes, supported by electrostatic interaction in Laponite clay, as heterogeneous catalysts for asymmetric oxidation of methyl phenyl sulfide. Microporous Mesoporous Mater. 2017, 239, 167–172. [Google Scholar] [CrossRef]
- Javadi, M.M.; Moghadam, M.; Mohammadpoor-Baltork, I.; Tangestaninejad, S.; Mirkhani, V. Epoxidation of alkenes and oxidation of sulfides catalyzed by a new binuclear vanadium bis-oxazoline complex. J. Iran. Chem. Soc. 2015, 12, 477–485. [Google Scholar] [CrossRef]
- Pastor, I.M.; Adolfsson, H. Novel highly modular C2-symmetric oxazoline ligands—Application in titanium-catalyzed diethylzinc additions to aldehydes. Tetrahedron Lett. 2002, 43, 1743–1746. [Google Scholar] [CrossRef]
- Tanaka, S.; Tada, M.; Iwasawa, Y. Enantioselectivity promotion by achiral surface functionalization on SiO2-supported Cu-bis(oxazoline) catalysts for asymmetric Diels–Alder reactions. J. Catal. 2007, 245, 173–183. [Google Scholar] [CrossRef]
- Kandasamy, K.; Singh, H.B.; Butcher, R.J.; Jasinski, J.P. Synthesis, Structure and Catalytic Properties of VIV, MnIII, MoVI and UVI Complexes Containing Bidentate (N, O) Oxazine and Oxazoline Ligands. Inorg. Chem. 2004, 43, 5704–5713. [Google Scholar] [CrossRef] [PubMed]
- Bagherzadeh, M.; Esmailpour, P.; Abbasi, A.; Akbari, A.; Amini, M. Synthesis, crystal structure and catalytic activity of an oxo-diperoxo tungsten(VI) complex containing an oxazine ligand for selective oxidation of sulfides. J. Coord. Chem. 2018, 71, 3405–3414. [Google Scholar] [CrossRef]
- Selvam, T.; Machoke, A.; Schwieger, W. Supported ionic liquids on non-porous and porous inorganic materials—A topical review. Appl. Catal. A Gen. 2012, 445–446, 92–101. [Google Scholar] [CrossRef]
- Van Doorslaer, C.; Wahlen, J.; Mertens, P.; Binnemans, K.; De Vos, D. Immobilization of molecular catalysts in supported ionic liquid phases. Dalton Trans. 2010, 39, 8377–8390. [Google Scholar] [CrossRef]
- Ochędzan-Siodłak, W.; Dziubek, K. Metallocenes and post-metallocenes immobilized on ionic liquid-modified silica as catalysts for polymerization of ethylene. Appl. Catal. A Gen. 2014, 484, 134–141. [Google Scholar] [CrossRef]
- Ochędzan-Siodłak, W.; Bihun, A. Direct synthesis of fibrous high molecular weight polyethylene using vanadium catalysts supported on an SiO2 ionic liquid system. Polym. Int. 2015, 64, 1600–1606. [Google Scholar] [CrossRef]
- Ochędzan-Siodłak, W.; Bihun, A.; Olszowy, A.; Rajfur, M.; Jesionowski, T.; Siwińska-Stefańska, K. Ethylene polymerization using vanadium catalyst supported on silica modified by pyridinium ionic liquid. Polym. Int. 2016, 65, 1089–1097. [Google Scholar] [CrossRef]
- Tritto, I.; Boggioni, L.; Ferro, D.R. Metallocene catalyzed ethene- and propene co-norbornene polymerization: Mechanisms from a detailed microstructural analysis. Coord. Chem. Rev. 2006, 250, 212–241. [Google Scholar] [CrossRef]
- Białek, M.; Czaja, K.; Sacher-Majewska, B. Studies of structural composition distribution heterogeneity in ethylene/1-hexene copolymers using thermal fractionation technique (SSA): Effect of catalyst structure. Thermochim. Acta 2005, 429, 149–154. [Google Scholar] [CrossRef]
- Hosoda, S. Structural distribution of linear low-density polyethylenes. Polym. J. 1988, 20, 383–397. [Google Scholar] [CrossRef]
- Fineman, M.; Ross, S.D. Linear method for determining monomer reactivity ratios in copolymerization. J. Polym. Sci. 1950, 5, 259–262. [Google Scholar] [CrossRef]
- Tritto, I.; Boggioni, L.; Jansen, J.C.; Thorshaug, K.S.; Maria, C.; Ferro, D.R. Ethylene−norbornene copolymers from metallocene-based catalysts: Microstructure at tetrad level and reactivity ratios. Macromolecules 2002, 35, 616–623. [Google Scholar] [CrossRef]
- Hsieh, E.T.; Randall, J.C. Monomer sequence distributions in ethylene-1-hexene copolymers. Macromolecules 1982, 15, 1402–1406. [Google Scholar] [CrossRef]
- Busico, V.; Cipullo, R.; Friederichs, N.; Linssen, H.; Segre, A.; Van Axel Castelli, V.; van der Velden, G. H NMR analysis of chain unsaturations in ethene/1-octene copolymers prepared with metallocene catalysts at high temperature. Macromolecules 2005, 38, 6988–6996. [Google Scholar] [CrossRef]
- Kokko, E.; Pietikäinen, P.; Koivunen, J.; Seppälä, J.V. Long-chain-branched polyethene by the copolymerization of ethene and nonconjugated α,ω-dienes. J. Polym. Sci. Part A Polym. Chem. 2001, 39, 3805–3817. [Google Scholar] [CrossRef]
- Ochędzan-Siodłak, W.; Dziubek, K.; Czaja, K. Effect of immobilization of titanocene catalyst in aralkyl imidazolium chloroaluminate media on performance of biphasic ethylene polymerization and polyethylene properties. Polym. Bull. 2013, 70, 1–21. [Google Scholar] [CrossRef]
- Müller, A.J.; Michell, R.M.; Pérez, R.A.; Lorenzo, A.T. Successive self-nucleation and annealing (SSA): Correct design of thermal protocol and applications. Eur. Polym. J. 2015, 65, 132–154. [Google Scholar] [CrossRef]







| Item | Catalyst | NB Feed [mol/dm3] | CNB [mol%] | Mw × 10−3 [g/mol] | Mw/Mn | re | le | MD |
|---|---|---|---|---|---|---|---|---|
| 1 | C1 | 0.5 | 12.3 | 260 | 1.6 | 8.6 | 8.1 | 87.7 |
| 2 | 1.0 | 22.1 | 200 | 1.8 | 4.5 | 77.9 | ||
| 3 | 1.5 | 27.5 | 180 | 1.9 | 3.6 | 72.5 | ||
| 4 | C2 | 0.5 | 17.1 | 160 | 1.7 | 12.2 | 5.8 | 82.9 |
| 5 | 1.0 | 20.7 | 130 | 1.9 | 4.8 | 79.3 | ||
| 6 | 1.5 | 27.2 | 90 | 2.2 | 3.7 | 72.8 | ||
| 7 | C3 | 0.5 | 19.4 | 190 | 1.7 | 10.8 | 5.2 | 80.6 |
| 8 | 1.0 | 26.5 | 170 | 1.7 | 3.8 | 73.5 | ||
| 9 | 1.5 | 30.1 | 160 | 1.9 | 3.3 | 69.9 | ||
| 10 | C4 | 0.5 | 15.5 | 679 | 1.9 | 7.2 | 6.5 | 84.5 |
| 11 | 1.0 | 23.0 | 420 | 1.9 | 4.3 | 77.0 | ||
| 12 | 1.5 | 31.8 | 187 | 2.0 | 3.1 | 68.2 | ||
| 13 | SIL/C4 | 0.5 | 18.5 | 852 | 2.0 | 8.7 | 5.4 | 81.5 |
| 14 | 1.0 | 25.2 | 461 | 2.3 | 4.0 | 74.8 | ||
| 15 | 1.5 | 31.6 | 214 | 2.5 | 3.2 | 68.4 | ||
| 16 | C5 | 0.5 | 14.4 | 679 | 1.9 | 7.9 | 6.9 | 85.6 |
| 17 | 1.0 | 21.9 | 420 | 1.9 | 4.6 | 78.1 | ||
| 18 | 1.5 | 30.0 | 178 | 2.0 | 3.3 | 69.6 | ||
| 19 | SIL/C5 | 0.5 | 18.9 | 679 | 1.9 | 6.9 | 5.3 | 81.1 |
| 20 | 1.0 | 26.8 | 420 | 1.9 | 3.7 | 73.2 | ||
| 21 | 1.5 | 34.7 | 198 | 2.0 | 2.9 | 65.3 | ||
| 22 | C6 | 0.1 | 4.3 | 1047 | 2.5 | 6.5 | 23.3 | 95.7 |
| 23 | 1.0 | 23.6 | 470 | 2.9 | 4.2 | 76.4 | ||
| 24 | 1.5 | 32.9 | 157 | 2.0 | 3.0 | 67.1 | ||
| 25 | SIL/C6 | 0.1 | 5.7 | 1138 | 1.5 | 6.0 | 17.5 | 94.3 |
| 26 | 1.0 | 26.1 | 265 | 2.9 | 3.8 | 73.9 | ||
| 27 | 1.5 | 35.3 | 225 | 3.0 | 2.8 | 64.7 |
| a Item | Catalyst | bCNB [mol%] | b Tetrad | |||||||||
|---|---|---|---|---|---|---|---|---|---|---|---|---|
| EEEE | NEEE | NEEN | ENEE | NNEE | NENE | NNEN | ENNE | NNNE | NNNN | |||
| 1 | C1 | 27.5 | 0.651 | 0.068 | 0.045 | 0.110 | 0.004 | 0.107 | 0.005 | 0.007 | 0.005 | 0.000 |
| 6 | C2 | 27.2 | 0.738 | 0.049 | 0.029 | 0.104 | 0.000 | 0.064 | 0.015 | 0.001 | 0.000 | 0.000 |
| 9 | C3 | 30.1 | 0.587 | 0.073 | 0.062 | 0.117 | 0.000 | 0.126 | 0.035 | 0.000 | 0.000 | 0.000 |
| 12 | C4 | 31.8 | 0.651 | 0.072 | 0.059 | 0.109 | 0.003 | 0.104 | 0.000 | 0.002 | 0.000 | 0.000 |
| 15 | SIL/C4 | 31.6 | 0.613 | 0.074 | 0.056 | 0.093 | 0.006 | 0.130 | 0.004 | 0.012 | 0.012 | 0.000 |
| 18 | C5 | 30.0 | 0.669 | 0.078 | 0.062 | 0.031 | 0.007 | 0.125 | 0.011 | 0.008 | 0.009 | 0.000 |
| 21 | SIL/C5 | 34.7 | 0.680 | 0.084 | 0.058 | 0.014 | 0.003 | 0.133 | 0.005 | 0.003 | 0.020 | 0.000 |
| 24 | C6 | 32.9 | 0.666 | 0.067 | 0.040 | 0.112 | 0.002 | 0.107 | 0.000 | 0.002 | 0.004 | 0.000 |
| 27 | SIL/C6 | 35.3 | 0.620 | 0.071 | 0.055 | 0.110 | 0.007 | 0.120 | 0.000 | 0.009 | 0.008 | 0.000 |
| Item | Catalyst | aCNB [mol%] | DI | |||
|---|---|---|---|---|---|---|
| F1 | F2 | F3 | F4 | |||
| 15 | SIL/C4 | 31.6 | 0.52 | 1.00 | 0.13 | - |
| 27 | SIL/C6 | 35.3 | 0.17 | 0.30 | 0.24 | 1.00 |
Publisher’s Note: MDPI stays neutral with regard to jurisdictional claims in published maps and institutional affiliations. |
© 2020 by the authors. Licensee MDPI, Basel, Switzerland. This article is an open access article distributed under the terms and conditions of the Creative Commons Attribution (CC BY) license (http://creativecommons.org/licenses/by/4.0/).
Share and Cite
Groch, P.; Bihun-Kisiel, A.; Piontek, A.; Ochędzan-Siodłak, W. Structural and Thermal Properties of Ethylene-Norbornene Copolymers Obtained Using Vanadium Homogeneous and SIL Catalysts. Polymers 2020, 12, 2433. https://doi.org/10.3390/polym12112433
Groch P, Bihun-Kisiel A, Piontek A, Ochędzan-Siodłak W. Structural and Thermal Properties of Ethylene-Norbornene Copolymers Obtained Using Vanadium Homogeneous and SIL Catalysts. Polymers. 2020; 12(11):2433. https://doi.org/10.3390/polym12112433
Chicago/Turabian StyleGroch, Paweł, Anna Bihun-Kisiel, Aleksandra Piontek, and Wioletta Ochędzan-Siodłak. 2020. "Structural and Thermal Properties of Ethylene-Norbornene Copolymers Obtained Using Vanadium Homogeneous and SIL Catalysts" Polymers 12, no. 11: 2433. https://doi.org/10.3390/polym12112433
APA StyleGroch, P., Bihun-Kisiel, A., Piontek, A., & Ochędzan-Siodłak, W. (2020). Structural and Thermal Properties of Ethylene-Norbornene Copolymers Obtained Using Vanadium Homogeneous and SIL Catalysts. Polymers, 12(11), 2433. https://doi.org/10.3390/polym12112433

