Influence of Different Carbon-Based Fillers on Electrical and Mechanical Properties of a PC/ABS Blend
Abstract
1. Introduction
2. Materials, Preparation and Methods
2.1. Materials
2.2. Preparation
2.3. Electrical and Physic-Mechanical Characterization
3. Results and Discussion
3.1. Electrical Properties
3.1.1. Electrical Volume Resistivity Characterization
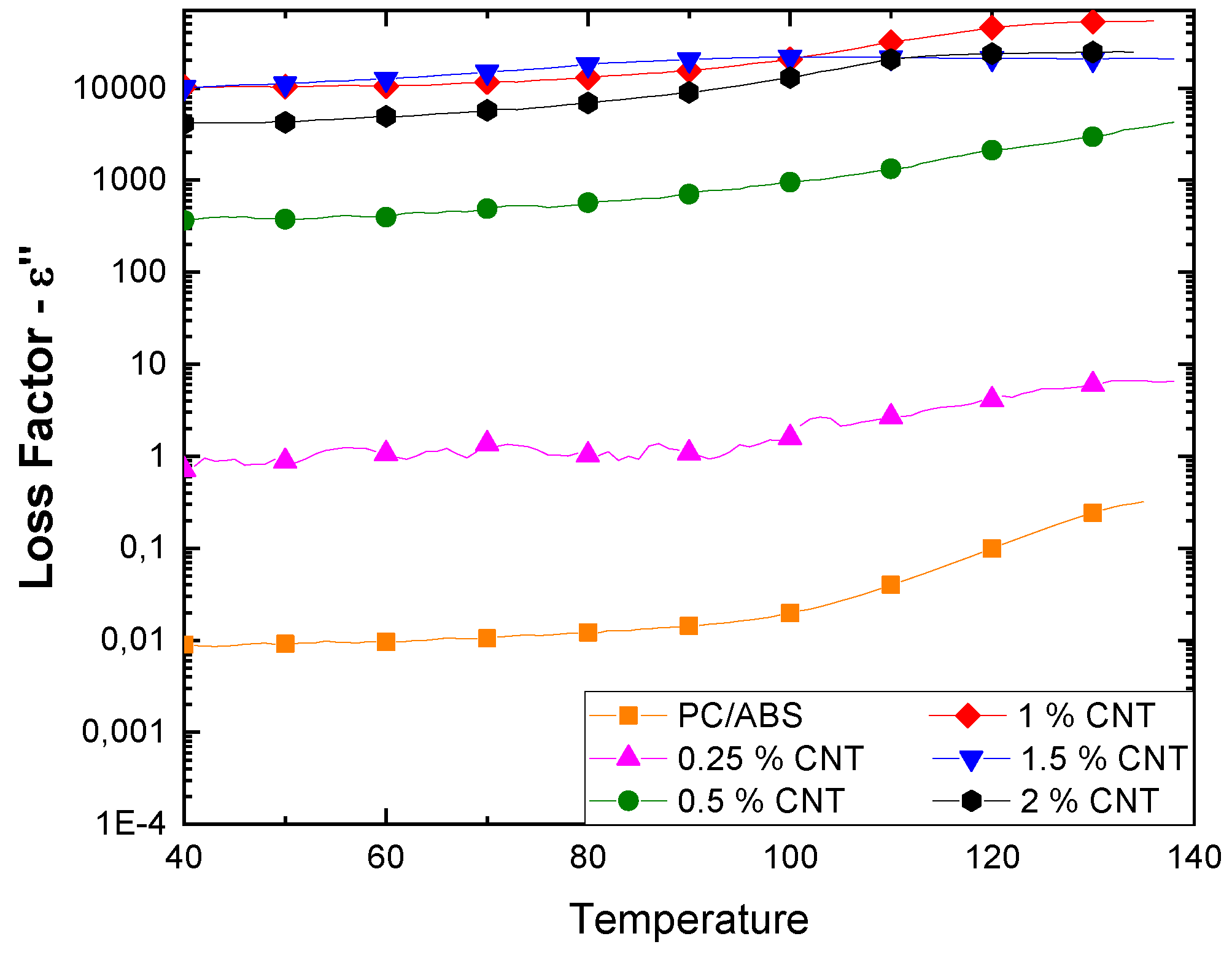
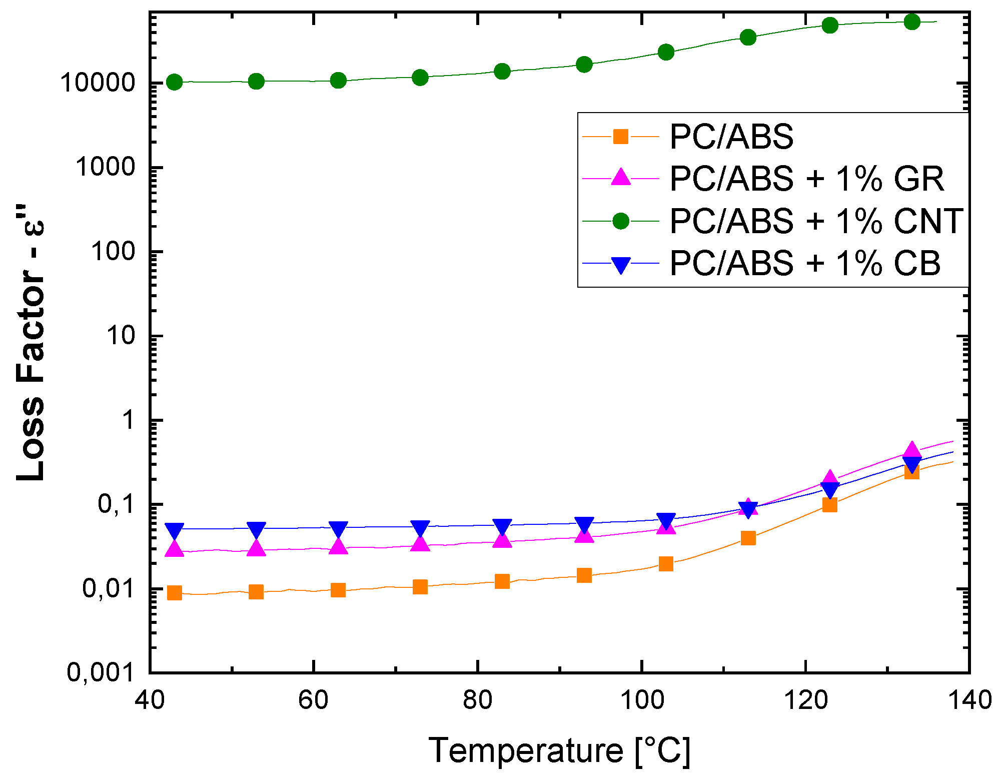
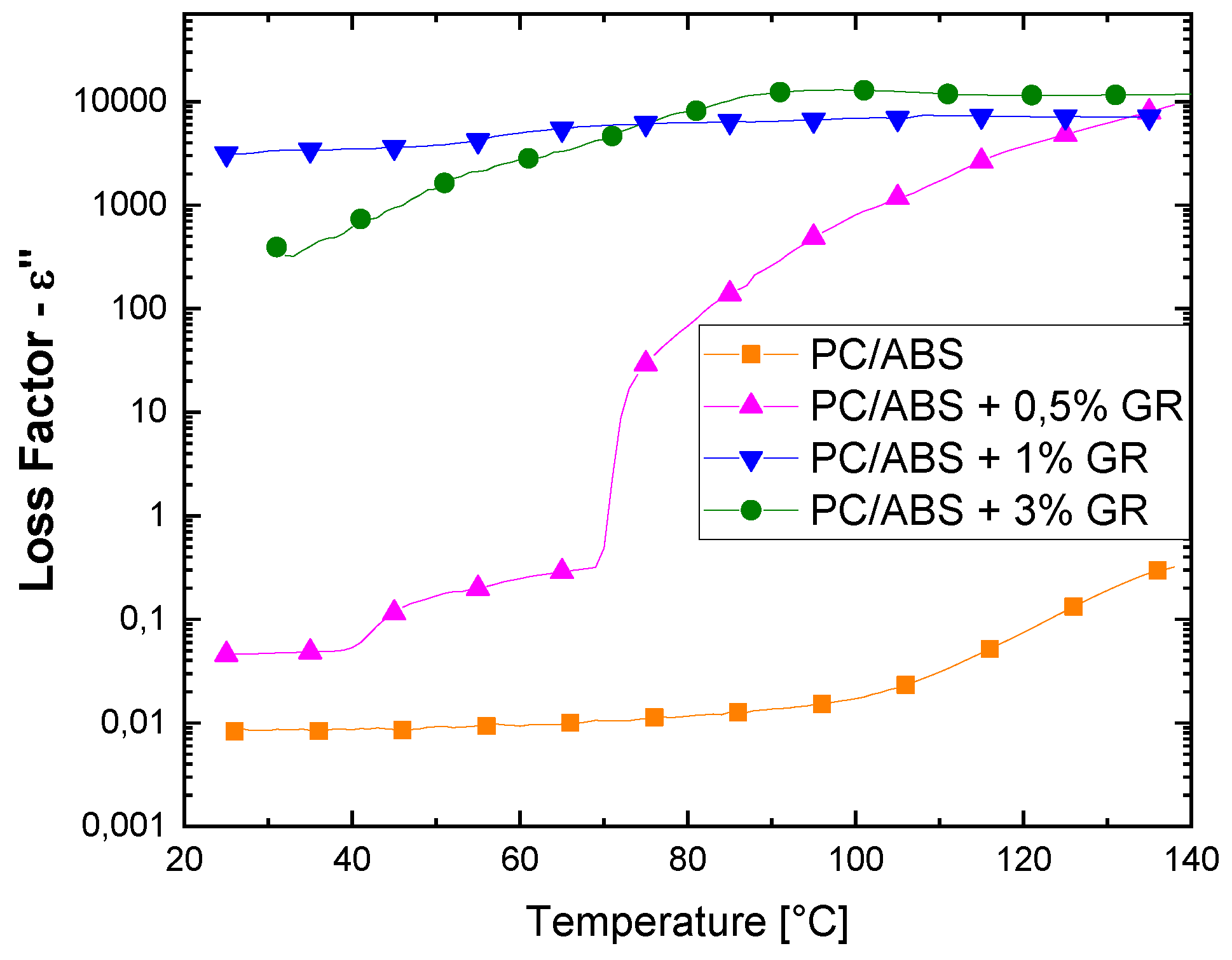
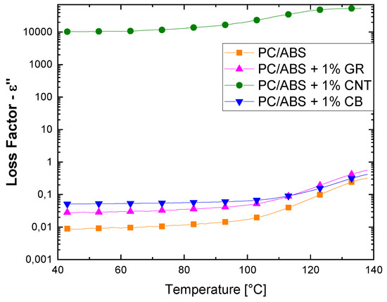
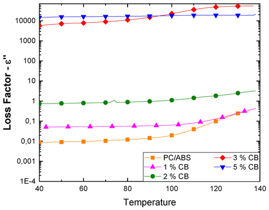
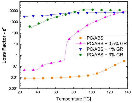
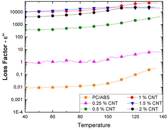
3.1.2. Dielectric Analysis
3.2. Mechanical Properties
3.2.1. Elastic Modulus
3.2.2. Tensile Strength
3.2.3. Impact Strength
3.3. Morphological Characterization
3.4. Reological Characterization
4. Conclusions
Author Contributions
Funding
Conflicts of Interest
References
- Rothon, R.N.; Hancock, M. General Principles Guiding Selection and Use of Particulate Materials. In Particulate-Filled Polymer Composites; iSmithers Rapra Publishing: Shropshire, UK, January 2003; pp. 5–52. ISBN 978-1-85957-382-2. [Google Scholar]
- Göktürk, H.S.; Fiske, T.J.; Kalyon, D.M. Effects of particle shape and size distributions on the electrical and magnetic properties of nickel/polyethylene composites. J. Appl. Polym. Sci. 1993, 50, 1891–1901. [Google Scholar] [CrossRef]
- Kalaitzidou, K.; Fukushima, H.; Drzal, L.T. A Route for polymer nanocomposites with engineered electrical Conductivity and percolation threshold. Materials 2010, 3, 1089–1103. [Google Scholar] [CrossRef]
- Modesti, M.; Besco, S.; Lorenzetti, A. ABS Based Nanocomposites. In Handbook of Polymernanocomposites. Processing, Performance and Application; Pandey, J.K., Reddy, K.R., Mohanty, A.K., Misra, M., Eds.; Springer: Berlin/Heidelberg, Germany, 2014; pp. 177–203. ISBN 978-3-642-38648-0. [Google Scholar]
- Gubbels, F.; Jerome, R.; Teyssie, P.; Vanlathem, E.; Deltour, R.; Calderone, A.; Parente, V.; Bredas, J.L. Selective localization of carbon black in immiscible polymer blends: A useful tool to design electrical conductive composites. Macromolecules 1994, 27, 1972–1974. [Google Scholar] [CrossRef]
- Sumita, M.; Sakata, K.; Hayakawa, Y.; Asai, S.; Miyasaka, K.; Tanemura, M. Double percolation effect on the electrical conductivity of conductive particles filled polymer blends. Colloid Polym. Sci. 1992, 270, 134–139. [Google Scholar] [CrossRef]
- Xu, X.-B.; Li, Z.-M.; Yu, R.-Z.; Lu, A.; Yang, M.-B.; Huang, R. Formation of in situ CB/PET microfibers in CB/PET/PE composites by slit die extrusion and hot stretching. Macromol. Mater. Eng. 2004, 289, 568–575. [Google Scholar] [CrossRef]
- Zhang, Q.; Xiong, H.; Yan, W.; Chen, D.; Zhu, M. Electrical conductivity and rheological behavior of multiphase polymer composites containing conducting carbon black. Polym. Eng. Sci. 2008, 48, 2090–2097. [Google Scholar] [CrossRef]
- Dai, K.; Xu, X.-B.; Li, Z.-M. Electrically conductive carbon black (CB) filled in situ microfibrillar poly(ethylene terephthalate) (PET)/polyethylene (PE) composite with a selective CB distribution. Polymer 2007, 48, 849–859. [Google Scholar] [CrossRef]
- Thongruang, W.; Balik, C.M.; Spontak, R.J. Volume-exclusion effects in polyethylene blends filled with carbon black, graphite, or carbon fiber. J. Polym. Sci. Part Polym. Phys. 2002, 40, 1013–1025. [Google Scholar] [CrossRef]
- Modesti, M.; Besco, S.; Lorenzetti, A. Effect of Processing Conditions on the Morphology and Properties of Polymer Nanocomposites. In Optimization of Polymer Nanocomposite Properties; John Wiley & Sons, Ltd.: Weinheim, German, 2010; pp. 369–405. ISBN 978-3-527-62927-5. [Google Scholar]
- Modesti, M.; Besco, S.; Lorenzetti, A.; Zammarano, M.; Causin, V.; Marega, C.; Gilman, J.W.; Fox, D.M.; Trulove, P.C.; De Long, H.C.; et al. Imidazolium-modified clay-based ABS nanocomposites:A comparison between melt-blending and solution-sonication processes. Polym. Adv. Technol. 2008, 19, 1576–1583. [Google Scholar]
- Modesti, M.; Besco, S.; Lorenzetti, A.; Causin, V.; Marega, C.; Gilman, J.W.; Fox, D.M.; Trulove, P.C.; De Long, H.C.; Zammarano, M. ABS/clay nanocomposites obtained by a solution technique: Influence of clay organic modifiers. Polym. Degrad. Stab. 2007, 92, 2206–2213. [Google Scholar] [CrossRef]
- Besco, S.; Modesti, M.; Lorenzetti, A. Influence of processing parameters on the structure of melt blended polyethylene/organoclay nanocomposites produced by a masterbatch route. Polym. Eng. Sci. 2013, 53, 689–698. [Google Scholar]
- Donadi, S.; Modesti, M.; Lorenzetti, A.; Besco, S. PET/PA nanocomposite blends with improved gas barrier properties: Effect of processing conditions. J. Appl. Polym. Sci. 2011, 122, 3290–3297. [Google Scholar] [CrossRef]
- Besco, S.; Brisotto, M.; Gianoncelli, A.; Depero, L.E.; Bontempi, E.; Lorenzetti, A.; Modesti, M. Processing and properties of polypropylene-based composites containing inertized fly ash from municipal solid waste incineration. J. Appl. Polym. Sci. 2013, 130, 4157–4164. [Google Scholar] [CrossRef]
- Modesti, M.; Lorenzetti, A.; Bon, D.; Besco, S. Effect of processing conditions on morphology and mechanical properties of compatibilized polypropylene nanocomposites. Polymer 2005, 46, 10237–10245. [Google Scholar]
- Potts, J.R.; Dreyer, D.R.; Bielawski, C.W.; Ruoff, R.S. Graphene-based polymer nanocomposites. Polymer 2011, 52, 5–25. [Google Scholar] [CrossRef]
- Du, J.-H.; Bai, J.; Cheng, H.-M. The present status and key problems of carbon nanotube based polymer composites. Express Polym. Lett. 2007, 1, 253–273. [Google Scholar]
- Singh, V.; Joung, D.; Zhai, L.; Das, S.; Khondaker, S.I.; Seal, S. Graphene based materials: Past, present and future. Prog. Mater. Sci. 2011, 56, 1178–1271. [Google Scholar] [CrossRef]
- Calvert, P. A recipe for strength. Nature 1999, 399, 210–211. [Google Scholar] [CrossRef]
- Moniruzzaman, M.; Winey, K.I. Polymer nanocomposites containing carbon nanotubes. Macromolecules 2006, 39, 5194–5205. [Google Scholar] [CrossRef]
- Mohanraj, G.T.; Chaki, T.K.; Chakraborty, A.; Khastgir, D. Measurement of AC conductivity and dielectric properties of flexible conductive styrene–butadiene rubber-carbon black composites. J. Appl. Polym. Sci. 2007, 104, 986–995. [Google Scholar] [CrossRef]
- Berger, M.A.; McCullough, R.L. Characterization and analysis of the electrical properties of a metal-filled polymer. Compos. Sci. Technol. 1985, 22, 81–106. [Google Scholar] [CrossRef]
- Tsangaris, G.M.; Psarras, G.C.; Kontopoulos, A.J. Dielectric permittivity and loss of an aluminum-filled epoxy resin. J. Non-Crystalline Solids 1991, 131–133, 1164–1168. [Google Scholar] [CrossRef]
- DeArmitt, C.; Breese, K. Filled polypropylene: A cost-performance comparison of common fillers. Plast. Addit. Compd. 2001, 3, 28–33. [Google Scholar] [CrossRef]
- Fu, S.-Y.; Feng, X.-Q.; Lauke, B.; Mai, Y.-W. Effects of particle size, particle/matrix interface adhesion and particle loading on mechanical properties of particulate–polymer composites. Compos. Part Eng. 2008, 39, 933–961. [Google Scholar] [CrossRef]
- Aktaş, S.; Diler, E.A. A review on the effects of micro-nano particle size and volume fraction on microstructure and mechanical properties of metal matrix composites manufactured via mechanical alloying. Int. Adv. Res. Eng. J. 2018, 2, 68–74. [Google Scholar]
- Jiang, B.; Liu, C.; Zhang, C.; Wang, B.; Wang, Z. The effect of non-symmetric distribution of fiber orientation and aspect ratio on elastic properties of composites. Compos. Part Eng. 2007, 38, 24–34. [Google Scholar] [CrossRef]
- Pradhan, S.; Lach, R.; Le, H.H.; Grellmann, W.; Radusch, H.-J.; Adhikari, R. Effect of Filler Dimensionality on Mechanical Properties of Nanofiller Reinforced Polyolefin Elastomers. Available online: https://www.hindawi.com/journals/isrn/2013/284504/ (accessed on 16 December 2019).
- Zhu, J.; Peng, H.; Rodriguez-Macias, F.; Margrave, J.L.; Khabashesku, V.N.; Imam, A.M.; Lozano, K.; Barrera, E.V. Reinforcing epoxy polymer composites through covalent integration of functionalized nanotubes. Adv. Funct. Mater. 2004, 14, 643–648. [Google Scholar] [CrossRef]
- Mistretta, M.C.; Ceraulo, M.; La Mantia, F.P.; Morreale, M. Compatibilization of polyethylene/polyamide 6 blend nanocomposite films. Polym. Compos. 2015, 36, 992–998. [Google Scholar] [CrossRef]
- Saghafi, H.; Fotouhi, M.; Minak, G. Improvement of the impact properties of composite laminates by means of nano-modification of the matrix—A review. Appl. Sci. 2018, 8, 2406. [Google Scholar] [CrossRef]
- Zhou, Z.; Wang, S.; Zhang, Y.; Zhang, Y. Effect of different carbon fillers on the properties of PP composites: Comparison of carbon black with multiwalled carbon nanotubes. J. Appl. Polym. Sci. 2006, 102, 4823–4830. [Google Scholar] [CrossRef]
- Ganß, M.; Satapathy, B.; Thunga, M.; Weidisch, R.; Pötschke, P.; Jehnichen, D. Structural interpretations of deformation and fracture behavior of polypropylene/multi-walled carbon nanotube composites. Acta Mater. 2008, 56, 2247–2261. [Google Scholar] [CrossRef]
- Besco, S.; Modesti, M.; Lorenzetti, A.; Donadi, S.; McNally, T. Effect of modified clay on the morphology and electric properties of PC/ABS-MWCNT composites. J. Appl. Polym. Sci. 2012, 124, 3617–3625. [Google Scholar] [CrossRef]
- Monemian, S.; Jafari, S.H.; Khonakdar, H.A.; Goodarzi, V.; Reuter, U.; Pötschke, P. MWNT-filled PC/ABS blends: Correlation of morphology with rheological and electrical response. J. Appl. Polym. Sci. 2013, 130, 739–748. [Google Scholar] [CrossRef]
- DeArmitt, C.; Hancock, M. Filled Thermoplastics. In Particulate-Filled Polymer Composites; Smithers Rapra Publishing: Shropshire, UK, 2003; pp. 357–424. ISBN 978-1-85957-382-2. [Google Scholar]
- White, J.L.; Crowder, J.W. The influence of carbon black on the extrusion characteristics and rheological properties of elastomers: Polybutadiene and butadiene–styrene copolymer. J. Appl. Polym. Sci. 1974, 18, 1013–1038. [Google Scholar] [CrossRef]















© 2019 by the authors. Licensee MDPI, Basel, Switzerland. This article is an open access article distributed under the terms and conditions of the Creative Commons Attribution (CC BY) license (http://creativecommons.org/licenses/by/4.0/).
Share and Cite
Dal Lago, E.; Cagnin, E.; Boaretti, C.; Roso, M.; Lorenzetti, A.; Modesti, M. Influence of Different Carbon-Based Fillers on Electrical and Mechanical Properties of a PC/ABS Blend. Polymers 2020, 12, 29. https://doi.org/10.3390/polym12010029
Dal Lago E, Cagnin E, Boaretti C, Roso M, Lorenzetti A, Modesti M. Influence of Different Carbon-Based Fillers on Electrical and Mechanical Properties of a PC/ABS Blend. Polymers. 2020; 12(1):29. https://doi.org/10.3390/polym12010029
Chicago/Turabian StyleDal Lago, Eleonora, Elisabetta Cagnin, Carlo Boaretti, Martina Roso, Alessandra Lorenzetti, and Michele Modesti. 2020. "Influence of Different Carbon-Based Fillers on Electrical and Mechanical Properties of a PC/ABS Blend" Polymers 12, no. 1: 29. https://doi.org/10.3390/polym12010029
APA StyleDal Lago, E., Cagnin, E., Boaretti, C., Roso, M., Lorenzetti, A., & Modesti, M. (2020). Influence of Different Carbon-Based Fillers on Electrical and Mechanical Properties of a PC/ABS Blend. Polymers, 12(1), 29. https://doi.org/10.3390/polym12010029

