Photo-Oxidative and Soil Burial Degradation of Irrigation Tubes Based on Biodegradable Polymer Blends
Abstract
:1. Introduction
2. Experiment
2.1. Materials
2.2. Rheological, Mechanical, and Structural Characterization
2.3. Production of the Pipes
2.4. Accelerated Weathering Test
2.5. Soil Burial Test
3. Results and Discussion
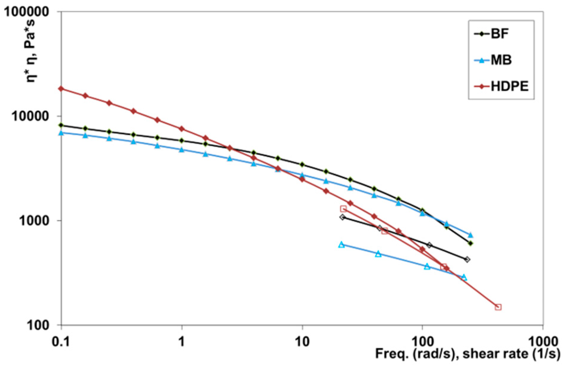
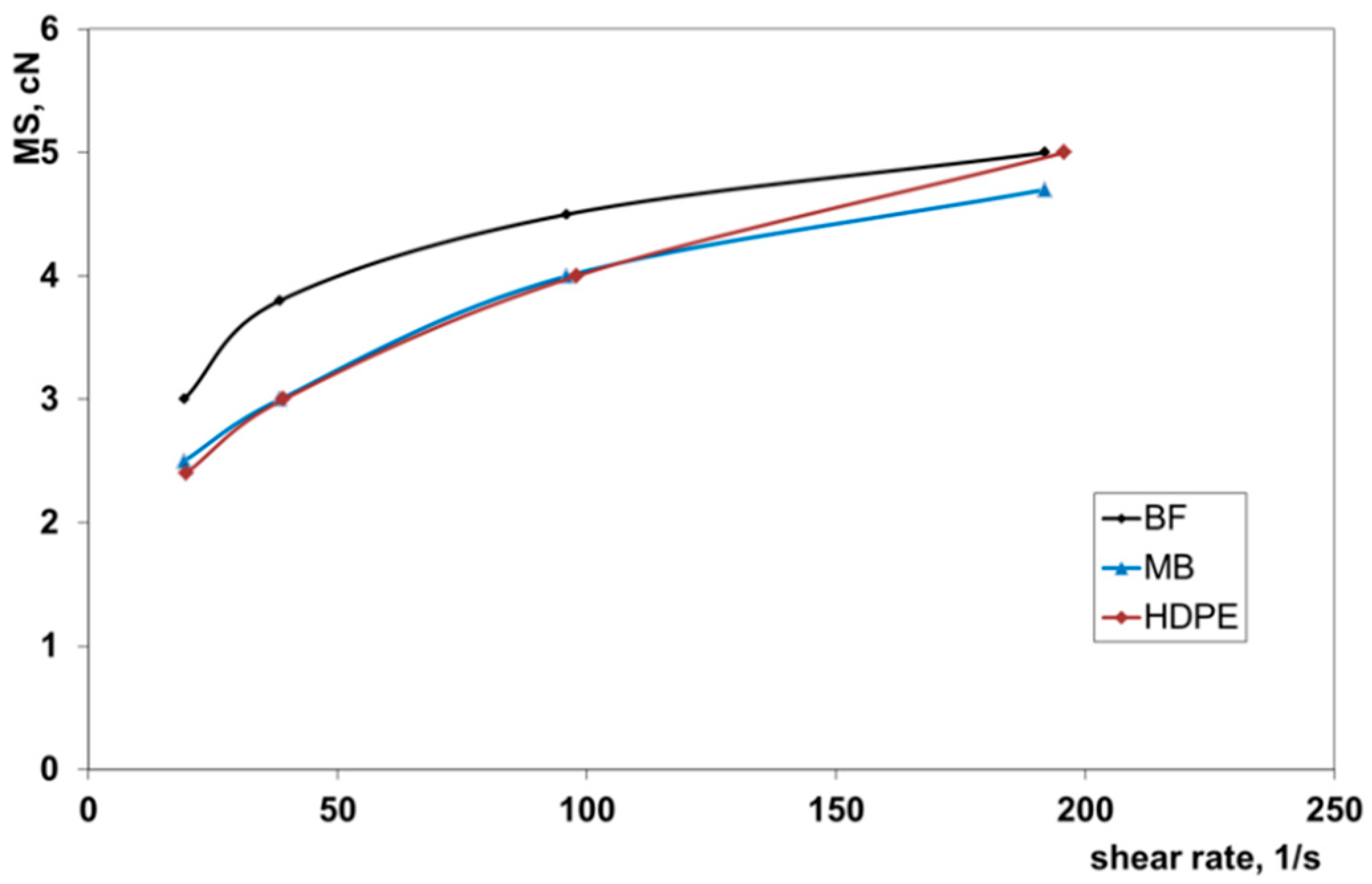
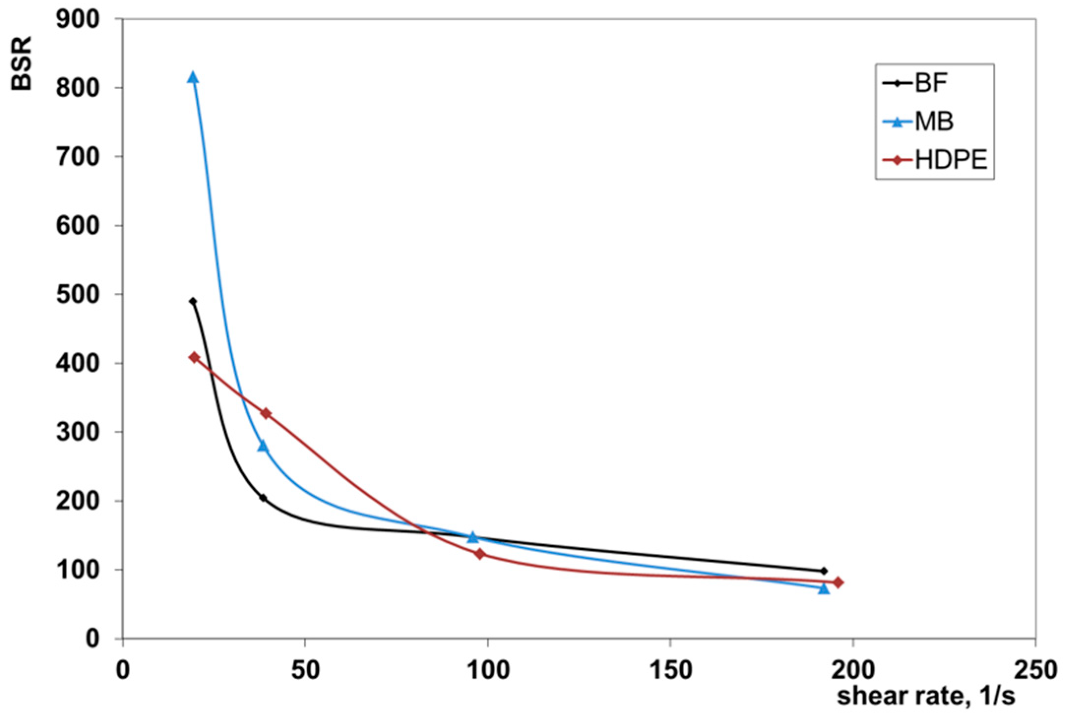
3.1. Rheological and Mechanical Properties
3.2. Soil Burial Test
4. Conclusions
Author Contributions
Funding
Acknowledgments
Conflicts of Interest
References
- Briassoulis, D.; Babou, E.; Hiskakis, M.; Scarascia, P.P.; Guarde, D.; Dejean, C. Review, mapping and analysis of the agricultural plastic waste generation and consolidation in Europe. Waste Manag. Res. 2013, 31, 1262–1278. [Google Scholar] [CrossRef] [PubMed]
- La Mantia, F.P.; Arrigo, R.; Morreale, M. Effect of the orientation and rheological behaviour of biodegradable polymer nanocomposites. Eur. Polym. J. 2014, 54, 11–17. [Google Scholar] [CrossRef]
- Morreale, M.; Mistretta, M.C.; Ceraulo, M.; La Mantia, F.P. Rheological behavior under shear and non-isothermal elongational flow of biodegradable polymers for foam extrusion. J. Polym. Environ. 2014, 22, 112–118. [Google Scholar] [CrossRef]
- La Mantia, F.P.; Ceraulo, M.; Mistretta, M.C.; Morreale, M. Rheological behaviour, mechanical properties and processability of biodegradable polymer systems for film blowing. J. Polym. Environ. 2018, 26, 749–756. [Google Scholar] [CrossRef]
- Avérous, L.; Pollet, E. Biodegradable polymers. In Environmental Silicate Nano-biocomposites. Green Energy and Technology; Avérous, L., Pollet, E., Eds.; Springer: London, UK, 2012; pp. 13–39. [Google Scholar]
- Brodhagen, M.; Peyron, M.; Miles, C.; Inglis, D.A. Biodegradable plastic agricultural mulches and key features of microbial degradation. Appl. Microbiol. Biotechnol. 2015, 99, 1039–1056. [Google Scholar] [CrossRef] [PubMed]
- Briassoulis, D.; Babou, E.; Hiskakis, M. Degradation behaviour and field performance of experimental biodegradable drip irrigation systems. J. Polym. Environ. 2011, 19, 341–361. [Google Scholar] [CrossRef]
- Wypych, G. Handbook of UV Degradation and Stabilization, 2nd ed.; ChemTec Publishing: Toronto, ON, Canada, 2015; pp. 1–420. [Google Scholar]
- Rizzarelli, P.; Rapisarda, M.; Perna, S.; Mirabella, E.F.; La Carta, S.; Puglisi, C.; Valenti, G. Determination of polyethylene in biodegradable polymer blends and in compostable carrier bags by Py-GC/MS and TGA. J. Anal. Appl. Pyrol. 2016, 117, 72–81. [Google Scholar] [CrossRef]
- Emadian, S.M.; Onay, T.T.; Demirel, B. Biodegradation of bioplastics in natural environments. Waste Manag. 2017, 59, 526–536. [Google Scholar] [CrossRef] [PubMed]
- Solaro, R.; Corti, A.; Chiellini, E. A new respirometric test simulating soil burial conditions for the evaluation of polymer biodegradation. J. Environ. Polym. Degr. 1998, 6, 203–208. [Google Scholar] [CrossRef]
- Kijchavengkul, T.; Auras, R.; Rubino, M.; Alvarado, E.; Montero, J.R.C.; Rosales, J.M. Atmospheric and soil degradation of aliphatic-aromatic polyester films. Polym. Degrad. Stab. 2010, 95, 99–107. [Google Scholar] [CrossRef]
- Rizzarelli, P.; Cirica, M.; Pastorelli, G.; Puglisi, C.; Valenti, G. Aliphatic poly(ester amide)s from sebacic acid and aminoalcohols of different chain length: Synthesis, characterization and soil burial degradation. Polym. Degrad. Stab. 2015, 121, 90–99. [Google Scholar] [CrossRef]
- Eubeler, J.P.; Zok, S.; Bernhard, M.; Knepper, T.P. Environmental biodegradation of synthetic polymers I. Test methodologies and procedures. Trends Anal. Chem. 2009, 28, 1057–1072. [Google Scholar] [CrossRef]
- Rizzarelli, P.; Degli Innocenti, F.; Valenti, G.; Rapisarda, M. Biodegradation of green polymer composites: Laboratory procedures and standard test methods. In Green Composites: Materials and Applications, 1st ed.; Inamuddin, M.P., Ed.; Springer: London, UK, 2019. [Google Scholar]
- Gregorova, A.; Riedl, E.; Sedlarik, V.; Stelzer, F. Effect of 4,4′-methylenediphenyl diisocyanate on thermal and mechanical properties of Bioflex/lactic acid polycondensate blends. Asia-Pac. J. Chem. Eng. 2012, 7, 317–323. [Google Scholar] [CrossRef]
- Rizzarelli, P.; Puglisi, C.; Montaudo, G. Soil burial and enzymatic degradation in solution of aliphatic co-polyesters. Polym. Degrad. Stab. 2004, 85, 855–863. [Google Scholar] [CrossRef]
- Ren, J.; Krishnamoorti, R. Nonlinear viscoelastic properties of layered-silicate-based intercalated nanocomposites. Macromolecules 2003, 36, 4443–4451. [Google Scholar] [CrossRef]
- Stloukal, P.; Verney, V.; Commereuc, S.; Rychly, J.; Matisova-Rychla, L.; Pis, V.; Koutny, M. Assessment of the interrelation between photooxidation and biodegradation of selected polyesters after artificial weathering. Chemospere 2012, 88, 1214–1219. [Google Scholar] [CrossRef] [PubMed]
- Yasuda, N.; Wang, Y.; Tsukegi, T.; Shirai, Y.; Nishida, H. Quantitative evaluation of photodegradation and racemization of poly(L-lactic acid) under UV-C irradiation. Polym. Degrad. Stab. 2010, 95, 1238–1243. [Google Scholar] [CrossRef]
- Mistretta, M.C.; Botta, L.; Vinci, A.D.; Ceraulo, M.; La Mantia, F.P. Photooxidation of poypropylene/graphene nanoplatelets nanocomposites. Polym. Deg. Stab. 2019, 160, 35–43. [Google Scholar] [CrossRef]
- Copinet, A.; Bertrand, C.; Govindin, S.; Coma, V.; Couturier, Y. Effects of ultraviolet light (315 nm), temperature and relative humidity on the degradation of polylactic acid plastic films. Chemosphere 2004, 55, 763–773. [Google Scholar] [CrossRef] [PubMed]







| Materials | Modulus (MPa) | Tensile Strength (MPa) | Elongation at Break (%) |
|---|---|---|---|
| MB | 81 | 12.5 | 400 |
| BF | 167 | 12.4 | 167 |
| HDPE | 316 | 21.3 | 700 |
| Temperature Test | Degradation Time in Soil | Sample | |
|---|---|---|---|
| (°C) | (Days) | T1 | T2 |
| / | 0 | ![]() | ![]() |
| 30 | 60 | ![]() | ![]() |
| 70 | ![]() | ![]() | |
| 50 | 58 | ![]() | ![]() |
| 68 | ![]() | ![]() | |
| 78 | ![]() | ![]() | |
© 2019 by the authors. Licensee MDPI, Basel, Switzerland. This article is an open access article distributed under the terms and conditions of the Creative Commons Attribution (CC BY) license (http://creativecommons.org/licenses/by/4.0/).
Share and Cite
Rapisarda, M.; La Mantia, F.P.; Ceraulo, M.; Mistretta, M.C.; Giuffrè, C.; Pellegrino, R.; Valenti, G.; Rizzarelli, P. Photo-Oxidative and Soil Burial Degradation of Irrigation Tubes Based on Biodegradable Polymer Blends. Polymers 2019, 11, 1489. https://doi.org/10.3390/polym11091489
Rapisarda M, La Mantia FP, Ceraulo M, Mistretta MC, Giuffrè C, Pellegrino R, Valenti G, Rizzarelli P. Photo-Oxidative and Soil Burial Degradation of Irrigation Tubes Based on Biodegradable Polymer Blends. Polymers. 2019; 11(9):1489. https://doi.org/10.3390/polym11091489
Chicago/Turabian StyleRapisarda, Marco, Francesco Paolo La Mantia, Manuela Ceraulo, Maria Chiara Mistretta, Carmelo Giuffrè, Roberto Pellegrino, Graziella Valenti, and Paola Rizzarelli. 2019. "Photo-Oxidative and Soil Burial Degradation of Irrigation Tubes Based on Biodegradable Polymer Blends" Polymers 11, no. 9: 1489. https://doi.org/10.3390/polym11091489
APA StyleRapisarda, M., La Mantia, F. P., Ceraulo, M., Mistretta, M. C., Giuffrè, C., Pellegrino, R., Valenti, G., & Rizzarelli, P. (2019). Photo-Oxidative and Soil Burial Degradation of Irrigation Tubes Based on Biodegradable Polymer Blends. Polymers, 11(9), 1489. https://doi.org/10.3390/polym11091489













