Preparation of Biodegradable Polyethylene Glycol Dimethacrylate Hydrogels via Thiol-ene Chemistry
Abstract
1. Introduction
2. Materials and Methods
2.1. Materials
2.2. Hydrogel Fabrication
2.3. Polymerisation Verification
2.4. Chemical Analysis
2.5. Compression Testing
2.6. Wettability Measurement
2.7. Thermal Properties
2.8. Surface Properties
2.9. Swelling Studies
2.10. Dynamic Mechanical Analysis
2.11. Raman Characterisation
2.12. Accelerated Degradation Study
3. Results
3.1. Polymerisation Verification
3.2. Chemical Analysis
3.3. Compression Testing
3.4. Wettability Measurements
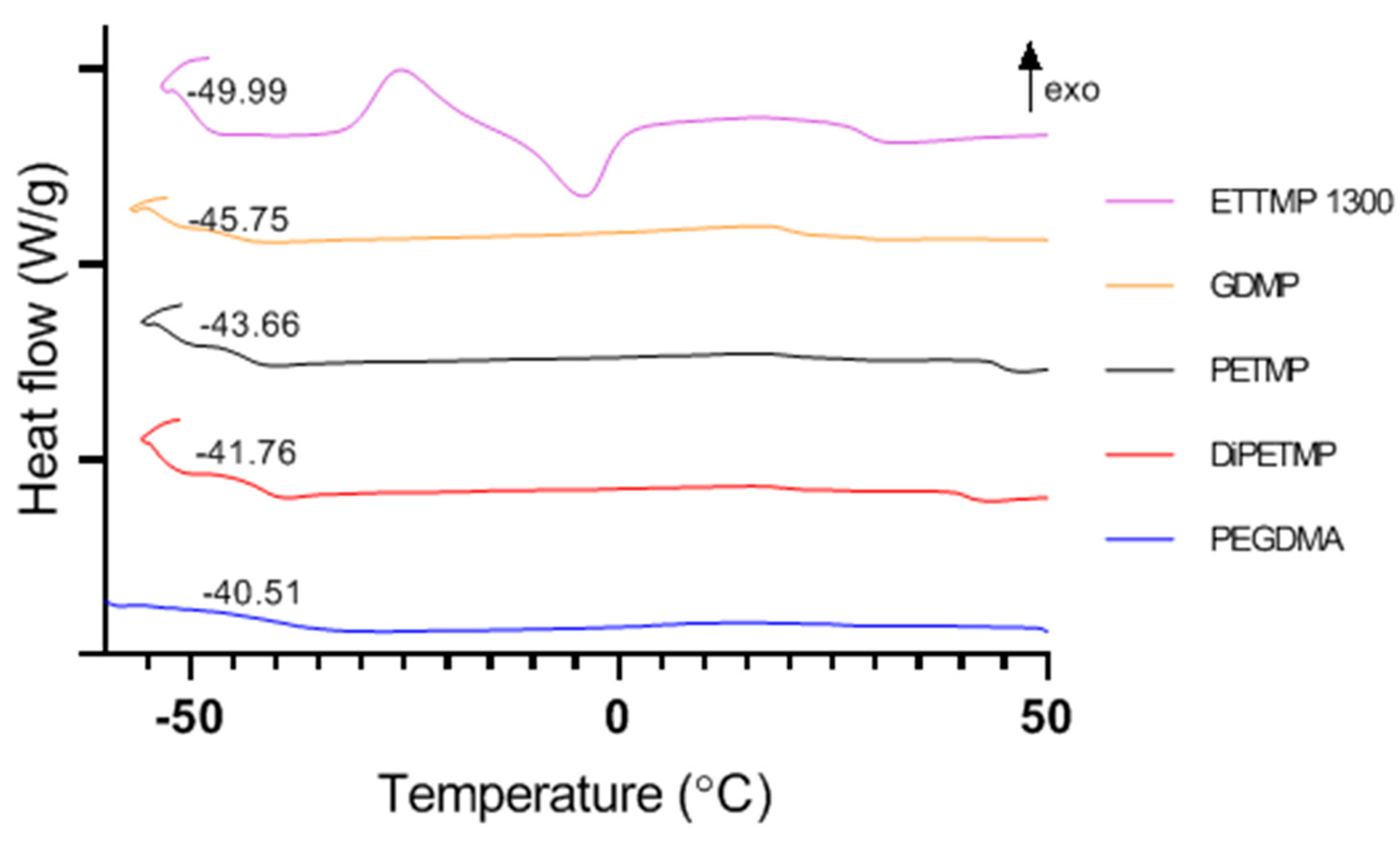
3.5. Thermal Properties
3.6. Surface Properties
3.7. Swelling and Gel Fraction Studies
3.8. Dynamic Mechanical Analysis
3.9. Raman Spectroscopic Analysis
3.10. Accelerated Degradation Study
4. Discussion
5. Conclusions
Author Contributions
Funding
Acknowledgments
Conflicts of Interest
References
- Murugan, R.; Ramakrishna, S. Nano-Featured Scaffolds for Tissue Engineering: A Review of Spinning Methodologies. Tissue Eng. 2006, 12, 435–447. [Google Scholar] [CrossRef] [PubMed]
- Fourniols, T.; Randolph, L.D.; Staub, A.; Vanvarenberg, K.; Leprince, J.G.; Préat, V.; des Rieux, A.; Danhier, F. Temozolomide-loaded photopolymerizable PEG-DMA-based hydrogel for the treatment of glioblastoma. J. Control. Release 2015, 210, 95–104. [Google Scholar] [CrossRef] [PubMed]
- El-Sherbiny, I.M.; Yacoub, M.H. Hydrogel scaffolds for tissue engineering: Progress and challenges Ibrahim. Glob. Cardiol. Sci. Pract. 2015, 38, 313–342. [Google Scholar] [CrossRef] [PubMed]
- Ifkovits, J.L.; Burdick, J.A. Review: Photopolymerizable and Degradable Biomaterials for Tissue Engineering Applications. Tissue Eng. 2007, 13, 2369–2385. [Google Scholar] [CrossRef] [PubMed]
- Patterson, J.; Hubbell, J.A. Enhanced proteolytic degradation of molecularly engineered PEG hydrogels in response to MMP-1 and MMP-2. Biomaterials 2010, 31, 7836–7845. [Google Scholar] [CrossRef] [PubMed]
- Nair, L.S.; Laurencin, C.T. Biodegradable polymers as biomaterials. Prog. Polym. Sci. 2007, 32, 762–798. [Google Scholar] [CrossRef]
- Morgan, C.R.; Magnotta, F.; Ketley, A.D. Thiol/Ene Photocurable Polymers. J. Polym. Sci. Polym. Chem. Ed. 1977, 15, 627–645. [Google Scholar] [CrossRef]
- Cramer, N.B.; Reddy, S.K.; O’Brien, A.K.; Bowman, C.N. Thiol-Ene Photopolymerization Mechanism and Rate Limiting Step Changes for Various Vinyl Functional Group Chemistries. Macromolecules 2003, 36, 7964–7969. [Google Scholar] [CrossRef]
- Zhou, J.; Zhang, Q.Y.; Chen, S.J.; Zhang, H.P.; Ma, A.J.; Ma, M.L.; Liu, Q.; Tan, J.J. Influence of thiol and ene functionalities on thiol-ene networks: Photopolymerization, physical, mechanical, and optical properties. Polym. Test. 2013, 32, 608–616. [Google Scholar] [CrossRef]
- Lu, H.; Stansbury, J.W.; Bowman, C.N. Impact of Curing Protocol on Conversion and Shrinkage Stress. J. Dent. Res. 2005, 84, 822–826. [Google Scholar] [CrossRef] [PubMed]
- Shih, H.; Lin, C. Crosslinking and degradation of step-growth hydrogels formed by thiol-ene photo-click chemistry. Biomacromolecules 2012, 13, 1–28. [Google Scholar] [CrossRef] [PubMed]
- Rydholm, A.E.; Bowman, C.N.; Anseth, K.S. Degradable thiol-acrylate photopolymers: Polymerization and degradation behavior of an in situ forming biomaterial. Biomaterials 2005, 26, 4495–4506. [Google Scholar] [CrossRef] [PubMed]
- Lowe, A.B. Thiol-ene ’click’/coupling chemistry and recent applications in polymer and materials synthesis and modification. Polymer (Guildf) 2014, 55, 5517–5549. [Google Scholar] [CrossRef]
- Manzo, M.; Ioppolo, T. Untethered photonic sensor for wall pressure measurement. Opt. Lett. 2015, 40, 2257–2260. [Google Scholar] [CrossRef] [PubMed]
- Aimetti, A.A.; Machen, A.J.; Anseth, K.S. Poly(ethylene glycol) hydrogels formed by thiol-ene photopolymerization for enzyme-responsive protein delivery. Biomaterials 2009, 30, 6048–6054. [Google Scholar] [CrossRef] [PubMed]
- Das, R.K.; Zouani, O.F. A review of the effects of the cell environment physicochemical nanoarchitecture on stem cell commitment. Biomaterials 2014, 35, 5278–5293. [Google Scholar] [CrossRef]
- Guilak, F.; Cohen, D.M.; Estes, B.T.; Gimble, J.M.; Liedtke, W.; Chen, C.S. Control of Stem Cell Fate by Physical Interactions with the Extracellular Matrix. Cell Stem Cell 2009, 5, 17–26. [Google Scholar] [CrossRef]
- Reilly, G.C.; Engler, A.J. Intrinsic extracellular matrix properties regulate stem cell differentiation. J. Biomech. 2010, 43, 55–62. [Google Scholar] [CrossRef]
- Cramer, N.B.; Davies, T.; O’Brien, A.K.; Bowman, C.N. Mechanism and modeling of a thiol-ene photopolymerization. Macromolecules 2003, 36, 4631–4636. [Google Scholar] [CrossRef]
- Burget, D.; Mallein, C.; Fouassier, J.P. Photopolymerization of thiol-allyl ether and thiol-acrylate coatings with visible light photosensitive systems. Polymer (Guildf) 2004, 45, 6561–6567. [Google Scholar] [CrossRef]
- Oesterreicher, A.; Wiener, J.; Roth, M.; Moser, A.; Gmeiner, R.; Edler, M.; Pinter, G.; Griesser, T. Tough and degradable photopolymers derived from alkyne monomers for 3D printing of biomedical materials. Polym. Chem. 2016, 7, 5169–5180. [Google Scholar] [CrossRef]
- Podgórski, M.; Becka, E.; Chatani, S.; Claudino, M.; Bowman, C.N. Ester-free thiol-X resins: New materials with enhanced mechanical behavior and solvent resistance. Polym. Chem. 2015, 6, 2234–2240. [Google Scholar] [CrossRef] [PubMed]
- Trey, S.M.; Nilsson, C.; Malmström, E.; Johansson, M. Thiol-ene networks and reactive surfaces via photoinduced polymerization of allyl ether functional hyperbranched polymers. Prog. Org. Coat. 2010, 68, 151–158. [Google Scholar] [CrossRef]
- Burke, G.; Barron, V.; Geever, T.; Geever, L.; Devine, D.M.; Higginbotham, C.L. Evaluation of the materials properties, stability and cell response of a range of PEGDMA hydrogels for tissue engineering applications. J. Mech. Behav. Biomed. Mater. 2019, 99, 1–10. [Google Scholar] [CrossRef] [PubMed]
- Killion, J.A.; Kehoe, S.; Geever, L.M.; Devine, D.M.; Sheehan, E.; Boyd, D.; Higginbotham, C.L. Hydrogel/bioactive glass composites for bone regeneration applications: Synthesis and characterisation. Mater. Sci. Eng. C 2013, 33, 4203–4212. [Google Scholar] [CrossRef] [PubMed]
- Hurley, D.; Carter, D.; Lawrence, N.; Davis, M.; Walker, G.M.; Lyons, J.G.; Higginbotham, C.L. An investigation of the inter-molecular interaction, solid-state properties and dissolution properties of mixed copovidone hot-melt extruded solid dispersions. J. Drug Deliv. Sci. Technol. 2019, 53, 101132. [Google Scholar] [CrossRef]
- Bäckström, S.; Benavente, J.; Berg, R.W.; Stibius, K.; Larsen, M.S.; Bohr, H.; Helix-Nielsen, C. Tailoring Properties of Biocompatible PEG-DMA Hydrogels with UV Light. Mater. Sci. Appl. 2012, 3, 425–431. [Google Scholar] [CrossRef]
- Browning, M.; Cereceres, S.; Luong, P.T.; Cosgriff-Hernandez, E. Determination of the in vivo degradation mechanism of PEGDA hydrogels. J. Biomed. Mater. Res. Part A 2014, 102, 4244–4251. [Google Scholar]
- Lam, C.X.F.; Savalani, M.M.; Teoh, S.H.; Hutmacher, D.W. Dynamics of in vitro polymer degradation of polycaprolactone-based scaffolds: Accelerated versus simulated physiological conditions. Biomed. Mater. 2008, 3, 034108. [Google Scholar] [CrossRef]
- Bruno Bock Chemische Fabrik GmbH & Co, KG. BrunoBock Product Catalogue; Bruno Bock Chemische Fabrik GmbH & Co, KG: Marschacht, Germany, 2012; pp. 1–11. [Google Scholar]
- Wu, Y.H.; Park, H.B.; Kai, T.; Freeman, B.D.; Kalika, D.S. Water uptake, transport and structure characterization in poly(ethylene glycol) diacrylate hydrogels. J. Membr. Sci. 2010, 347, 197–208. [Google Scholar] [CrossRef]
- Decker, C.; Moussa, K. Photopolymerization of multifunctional monomers in condensed phase. J. Appl. Polym. Sci. 1987, 34, 1603–1618. [Google Scholar] [CrossRef]
- Dobić, S.N.; Filipović, J.M.; Tomić, S.L. Synthesis and characterization of poly(2-hydroxyethyl methacrylate/itaconic acid/poly(ethylene glycol) dimethacrylate) hydrogels. Chem. Eng. J. 2012, 179, 372–380. [Google Scholar] [CrossRef]
- Silverstein, R.M. Webster Spectrometric Identification of Organic Compounds; Sixth; John Wiley & Sons: New York, NY, USA, 1998; ISBN 978-81-265-0972-0. [Google Scholar]
- Coates, J. Interpretation of Infrared Spectr A Practical Approach Interpretation of Infrared Spectra A Practical Approach. Encycl. Anal. Chem. 2000, 12, 10815–10837. [Google Scholar]
- Miller, F.A.; Wlkins, C.H. Infrared Spectra and Characteristic Frequencies of Inorganic Ions. Anal. Chem. 1952, 24, 1253–1294. [Google Scholar] [CrossRef]
- Bazylewski, P.; Divigalpitiya, R.; Fanchini, G. In situ Raman spectroscopy distinguishes between reversible and irreversible thiol modifications in l-cysteine. RSC Adv. 2017, 7, 2964–2970. [Google Scholar] [CrossRef]
- Schulz, H.; Baranska, M. Identification and quantification of valuable plant substances by IR and Raman spectroscopy. Vib. Spectrosc. 2007, 43, 13–25. [Google Scholar] [CrossRef]
- Even-Ram, S.; Artym, V.; Yamada, K.M. Matrix Control of Stem Cell Fate. Cell 2006, 126, 645–647. [Google Scholar] [CrossRef]
- Ligon, S.C.; Liska, R.; Stampfl, J.; Gurr, M.; Mülhaupt, R. Polymers for 3D Printing and Customized Additive Manufacturing. Chem. Rev. 2017, 117, 10212–10290. [Google Scholar] [CrossRef]
- Ligon-Auer, S.C.; Schwentenwein, M.; Gorsche, C.; Stampfl, J.; Liska, R. Toughening of photo-curable polymer networks: A review. Polym. Chem. 2016, 7, 257–286. [Google Scholar] [CrossRef]
- Arima, Y.; Iwata, H. Effect of wettability and surface functional groups on protein adsorption and cell adhesion using well-defined mixed self-assembled monolayers. Biomaterials 2007, 28, 3074–3082. [Google Scholar] [CrossRef]
- Zhong, S.-P. Method of Providing A Substrate With Hydrophilic Coating and Substrates, Particularly Medical Devices, Provided With Such Coatings. U.S. Patent 5,702,754, 30 December 1997. [Google Scholar]
- Otitoju, T.A.; Ahmad, A.L.; Ooi, B.S. Recent advances in hydrophilic modification and performance of polyethersulfone (PES) membrane via additive blending. RSC Adv. 2018, 8, 22710–22728. [Google Scholar] [CrossRef]
- Moffat, A.C.; Osselton, D.M.; Widdop, B.; Watts, J. Clarke’s Analysis of Drugs and Poison; Pharmaceutical Press: London, UK, 2011; ISBN 9780127059501. [Google Scholar]
- Pedro, R.N.; Hendlin, K.; Kriedberg, C.; Monga, M. Wire-Based Ureteral Stents: Impact on Tensile Strength and Compression. Urology 2007, 70, 1057–1059. [Google Scholar] [CrossRef]
- Liu, X.; Won, Y.; Ma, P.X. Porogen-induced surface modification of nano-fibrous poly(l-lactic acid) scaffolds for tissue engineering. Biomaterials 2006, 27, 3980–3987. [Google Scholar] [CrossRef]













| Monomer | PEGDMA (g) | Thiol (g) | Photoinitiator (mg) | 
|---|---|---|---|
| PEGDMA | 13.00 | 0.00 | 13.00 | 
| PETMP | 7.00 | 5.70 | 12.70 | 
| DiPETMP | 5.20 | 7.88 | 13.08 | 
| PETMA | 5.00 | 8.60 | 13.60 | 
| ETTMP 700 | 4.00 | 9.33 | 13.33 | 
| ETTMP 1300 | 2.50 | 10.83 | 13.33 | 
| TMPMP | 5.50 | 7.31 | 12.81 | 
| TEMPIC | 5.00 | 8.76 | 13.76 | 
| GDMA | 10.00 | 3.50 | 13.50 | 
| GDMP | 9.00 | 3.77 | 12.77 | 
| PCL4MP | 4.00 | 9.00 | 13.00 | 
| Monomer | Reactive Groups | Molecular Weight | SH Content (%) [30] | Polymerization Success (Yes/No) | 
|---|---|---|---|---|
| PETMP | 4 | 489 | 26.0 | Yes | 
| DiPETMP | 6 | 909 | 24.1 | Yes | 
| PETMA | 4 | 433 | 29.5 | No | 
| ETTMP 700 | 3 | 700 | 13.5 | No | 
| ETTMP 1300 | 3 | 1300 | 7.1 | Yes | 
| TMPMP | 3 | 399 | 24.0 | No | 
| TEMPIC | 3 | 526 | 18.4 | No | 
| GDMA | 2 | 210 | 30.5 | No | 
| GDMP | 2 | 238 | 26.8 | Yes | 
| PCL4MP | 4 | 1350 | 9.1 | No | 
| Monomer | Mean Tg (°C) | 
|---|---|
| PEGDMA | −39.04 ± 1.82 | 
| DiPETMP | −41.88 ± 0.95 | 
| PETMP | −43.47 ± 0.27 | 
| GDMP | −45.66 ± 0.13 | 
| ETTMP 1300 | −49.86 ± 0.18 | 
| Monomer of Interest (NaOH Concentration) | Week 4 | Week 5 | Week 6 | Week 7 | Week 8 | 
|---|---|---|---|---|---|
| PEGDMA (5 M) |  |  |  |  |  | 
| PEGDMA (5 mM) | |||||
| DiPETMP (5 mM) | 
© 2019 by the authors. Licensee MDPI, Basel, Switzerland. This article is an open access article distributed under the terms and conditions of the Creative Commons Attribution (CC BY) license (http://creativecommons.org/licenses/by/4.0/).
Share and Cite
Burke, G.; Cao, Z.; Devine, D.M.; Major, I. Preparation of Biodegradable Polyethylene Glycol Dimethacrylate Hydrogels via Thiol-ene Chemistry. Polymers 2019, 11, 1339. https://doi.org/10.3390/polym11081339
Burke G, Cao Z, Devine DM, Major I. Preparation of Biodegradable Polyethylene Glycol Dimethacrylate Hydrogels via Thiol-ene Chemistry. Polymers. 2019; 11(8):1339. https://doi.org/10.3390/polym11081339
Chicago/Turabian StyleBurke, Gavin, Zhi Cao, Declan M. Devine, and Ian Major. 2019. "Preparation of Biodegradable Polyethylene Glycol Dimethacrylate Hydrogels via Thiol-ene Chemistry" Polymers 11, no. 8: 1339. https://doi.org/10.3390/polym11081339
APA StyleBurke, G., Cao, Z., Devine, D. M., & Major, I. (2019). Preparation of Biodegradable Polyethylene Glycol Dimethacrylate Hydrogels via Thiol-ene Chemistry. Polymers, 11(8), 1339. https://doi.org/10.3390/polym11081339
 
        



 
                         
       