Preparation and Properties of a High-Performance EOEOEA-Based Gel-Polymer-Electrolyte Lithium Battery
Abstract
1. Introduction
2. Materials and Methods
2.1. Materials
2.2. Preparation of LiFePO4 Electrode
2.3. Preparation of EOEOEA-Based GPE
2.3.1. Preparation of 1 mol/L LiBF4 Electrolyte
2.3.2. Screening of Lithium Salts
2.3.3. Preparation of LiBF4-EOEOEA GPEs
2.4. Characterizations of GPE
2.5. Characterizations of Electrochemical Properties of GPE
2.5.1. Electrochemical Stability
2.5.2. Conductivity
2.5.3. Assembly of GPE Lithium Batteries
2.5.4. Assembly of Traditional LiBF4 Electrolyte Liquid Lithium Batteries
2.5.5. Electrochemical Performances of Lithium Batteries
3. Results and Discussions
3.1. Screening of Lithium Salts
3.2. Mechanism of Polymerization of EOEOEA and LiBF4 Electrolyte
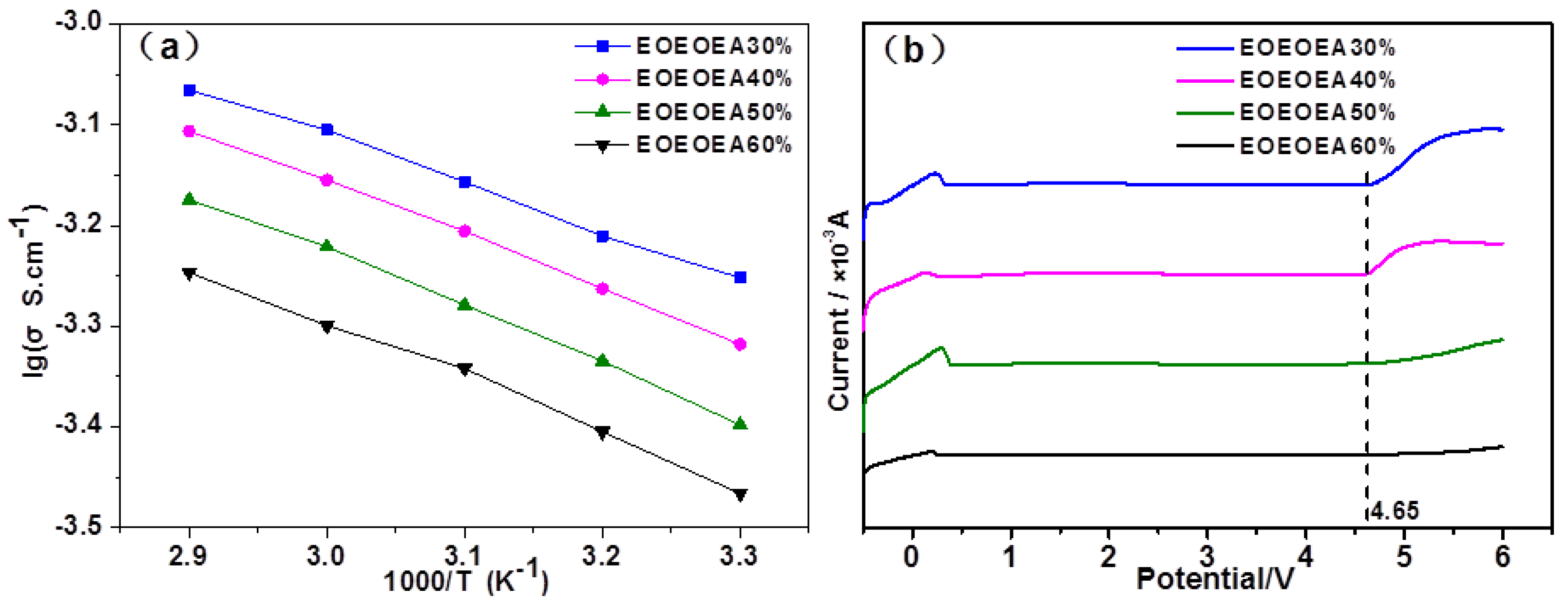
3.3. Electrochemical Properties of LiBF4-EOEOEA-Based GPEs
3.4. XRD Results of LiBF4-EOEOEA-Based GPEs
3.5. Thermal Analysis of LiBF4-EOEOEA-Based GPEs
3.6. Electrochemical Performances of LiBF4-EOEOEA-Based GPEs Lithium Batteries
4. Conclusions
Author Contributions
Funding
Acknowledgments
Conflicts of Interest
References
- Voigt, N.; van Wüllen, L. The effect of plastic-crystalline succinonitrile on the electrolyte system PEO:LiBF4: Insights from solid state NMR. Solid State Ion. 2014, 260, 65–75. [Google Scholar] [CrossRef]
- Goodenough, J.B.; Kim, Y. Challenges for Rechargeable Li Batteries. Chem. Mater. 2010, 22, 587–603. [Google Scholar] [CrossRef]
- Lin, D.; Yuen, P.Y.; Liu, Y.; Liu, W.; Liu, N.; Dauskardt, R.H.; Cui, Y.A. A Silica-Aerogel-Reinforced Composite Polymer Electrolyte with High Ionic Conductivity and High Modulus. Adv. Mater. 2018, 30, 1802661. [Google Scholar] [CrossRef] [PubMed]
- Zhang, P.; Li, L. Research progress of gel polymer electrolytes for lithium ion batteries. Acta Polym. Sin. 2012, 2011, 125–131. [Google Scholar] [CrossRef]
- Yu, T.; Han, Y. Preparation and Lithium Ion Transport Behavior for Li1.5Al0.5Ge1.5(PO4)3 Based Solid Composite Electrolyte. Chem. J. Chin. Univ. 2016, 37, 306–315. [Google Scholar]
- Yarmolenko, O.V.; Khatmullina, K.G.; Tulibaeva, G.Z.; Bogdanova, L.M.; Shestakov, A.F. Towards the mechanism of Li+ ion transfer in the net solid polymer electrolyte based on polyethylene glycol diacrylate–LiClO4. J. Solid State Electrochem. 2012, 16, 3371–3381. [Google Scholar] [CrossRef]
- Xu, D.; Su, J.; Jin, J.; Sun, C.; Ruan, Y.; Chen, C.; Wen, Z. In Situ Generated Fireproof Gel Polymer Electrolyte with Li6.4Ga0.2La3Zr2O12As Initiator and Ion-Conductive Filler. Adv. Energy Mater. 2019, 9, 1900611. [Google Scholar] [CrossRef]
- Xiao, R.; Li, H. High-throughput design and optimization of fast lithium ion conductors by the combination of bond-valence method and density functional theory. Sci. Rep. 2015, 5, 14227. [Google Scholar] [CrossRef] [PubMed]
- Huang, S.; Cui, Z.; Qiao, L.; Xu, G.; Zhang, J.; Tang, K.; Liu, X.; Wang, Q.; Zhou, X.; Zhang, B.; et al. An in-situ polymerized solid polymer electrolyte enables excellent interfacial compatibility in lithium batteries. Electrochim. Acta 2019, 299, 820–827. [Google Scholar] [CrossRef]
- Tong, Y.; Lyu, H.; Xu, Y.; Thapaliya, B.P.; Li, P.; Sun, X.G.; Dai, S. All-solid-state interpenetrating network polymer electrolytes for long cycle life of lithium metal batteries. J. Mater. Chem. A 2018, 6, 14847–14855. [Google Scholar] [CrossRef]
- Zeng, X.X.; Yin, Y.X.; Li, N.W.; Du, W.C.; Guo, Y.G.; Wan, L.J. Reshaping Lithium Plating/Stripping Behavior via Bifunctional Polymer Electrolyte for Room-Temperature Solid Li Metal Batteries. J. Am. Chem. Soc. 2016, 138, 15825–15828. [Google Scholar] [CrossRef] [PubMed]
- Wang, A.; Bao, Y. Synthesis and characterization of a novel polymer electrolyte based on acrylonitrile/N-[4-(aminosulfonyl)phenyl]acrylamide copolymers. Chin. J. Polym. Sci. 2010, 28, 129–135. [Google Scholar] [CrossRef]
- Shim, J.; Kim, H.J.; Kim, B.G.; Kim, Y.S.; Kim, D.G.; Lee, J.C. 2D boron nitride nanoflakes as a multifunctional additive in gel polymer electrolytes for safe, long cycle life and high rate lithium metal batteries. Energy Environ. Sci. 2017, 10, 1911–1916. [Google Scholar] [CrossRef]
- Karuppasamy, K.; Reddy, P.A.; Srinivas, G.; Sharma, R.; Tewari, A.; Kumar, G.H.; Gupta, D. An efficient way to achieve high ionic conductivity and electrochemical stability of safer nonaflate anion-based ionic liquid gel polymer electrolytes (ILGPEs) for rechargeable lithium ion batteries. J. Solid State Electrochem. 2016, 21, 1145–1155. [Google Scholar] [CrossRef]
- Karuppasamy, K.; Kim, H.S.; Kim, D.; Vikraman, D.; Prasanna, K.; Kathalingam, A.; Sharma, R.; Rhee, H.W. An enhanced electrochemical and cycling properties of novel boronic Ionic liquid based ternary gel polymer electrolytes for rechargeable Li/LiCoO2 cells. Sci. Rep. 2017, 7, 11103. [Google Scholar] [CrossRef] [PubMed]
- He, X.; Schmohl, S.; Wiemhöfer, H.D. Direct Observation and Suppression Effect of Lithium Dendrite Growth for Polyphosphazene Based Polymer Electrolytes in Lithium Metal Cells. ChemElectroChem 2019, 6, 1166–1176. [Google Scholar] [CrossRef]
- Liu, W.; Lin, D.; Sun, J.; Zhou, G.; Cui, Y. Improved Lithium Ionic Conductivity in Composite Polymer Electrolytes with Oxide-Ion Conducting Nanowires. ACS Nano 2016, 10, 11407–11413. [Google Scholar] [CrossRef]
- Chen, X.; He, W.; Ding, L.X.; Wang, S.; Wang, H. Enhancing interfacial contact in all solid state batteries with a cathode-supported solid electrolyte membrane framework. Energy Environ. Sci. 2019, 12, 938–944. [Google Scholar] [CrossRef]
- Cui, Y.; Liang, X.; Chai, J.; Cui, Z.; Wang, Q.; He, W.; Liu, X.; Liu, Z.; Cui, G.; Feng, J. High Performance Solid Polymer Electrolytes for Rechargeable Batteries: A Self-Catalyzed Strategy toward Facile Synthesis. Adv. Sci. (Weinh) 2017, 4, 1700174. [Google Scholar] [CrossRef]
- Shi, G.; Ma, P.; Song, Y.; Bao, J.; Huang, Y.; Xu, G. Preparation and Properties of Solid Electrolytes Based on Polyurethane with High Lithium Salt Content. Fine Chem. 2018, 36, 737–743. [Google Scholar]
- Zhang, H.; Oteo, U.; Zhu, H.; Judez, X.; Martinez-Ibañez, M.; Aldalur, I.; Sanchez-Diez, E.; Li, C.; Carrasco, J.; Forsyth, M.; et al. Enhanced Lithium-Ion Conductivity of Polymer Electrolytes by Selective Introduction of Hydrogen into the Anion. Angew. Chem. Int. Ed. Engl. 2019, 58, 7829–7834. [Google Scholar] [CrossRef] [PubMed]
- Mackanic, D.G.; Michaels, W.; Lee, M.; Feng, D.; Lopez, J.; Qin, J.; Cui, Y.; Bao, Z. Crosslinked Poly(tetrahydrofuran) as a Loosely Coordinating Polymer Electrolyte. Adv. Energy Mater. 2018, 8, 1800703. [Google Scholar] [CrossRef]
- Zhang, J.; Zhao, J.; Yue, L.; Wang, Q.; Chai, J.; Liu, Z.; Zhou, X.; Li, H.; Guo, Y.; Cui, G.; et al. Safety-Reinforced Poly(Propylene Carbonate)-Based All-Solid-State Polymer Electrolyte for Ambient-Temperature Solid Polymer Lithium Batteries. Adv. Energy Mater. 2015, 5, 1501082. [Google Scholar] [CrossRef]
- Luo, J.; Wang, S.; Yang, X. Development of lithium-ion battery electrolyte based on TFSI-. Chin. J. Power Sources 2011, 135, 1444–1446. [Google Scholar]
- Qiang, M.A.; Yongsheng, H.U.; Hong, L.I.; Liquan, C.H.; Xuejie, H.U.; Zhibin, Z.H. An Sodium Bis(trifluoromethanesulfonyl)imide-based Polymer Electrolyte for Solid-State Sodium Batteries. Acta Phys. Chim. Sin. 2017, 34, 213–218. [Google Scholar]
- Kim, K.M.; Poliquit, B.Z.; Lee, Y.G.; Won, J.; Ko, J.M.; Cho, W.I. Enhanced separator properties by thermal curing of poly(ethylene glycol)diacrylate-based gel polymer electrolytes for lithium-ion batteries. Electrochim. Acta 2014, 120, 159–166. [Google Scholar] [CrossRef]
- Yu, S.; Schmohl, S.; Liu, Z.; Hoffmeyer, M.; Schön, N.; Hausen, F.; Tempel, H.; Kungl, H.; Wiemhöfer, H.D.; Eichel, R.A. Insights into a layered hybrid solid electrolyte and its application in long lifespan high-voltage all-solid-state lithium batteries. J. Mater. Chem. A 2019, 7, 3882–3894. [Google Scholar] [CrossRef]
- Chen, X.; Vereecken, P.M. Solid and Solid-Like Composite Electrolyte for Lithium Ion Batteries: Engineering the Ion Conductivity at Interfaces. Adv. Mater. Interfaces 2018, 6, 1800899. [Google Scholar] [CrossRef]
- Xu, K. Nonaqueous Liquid Electrolytes for Lithium-Based Rechargeable Batteries. Chem. Rev. 2004, 104, 4303–4418. [Google Scholar] [CrossRef]
- Feng, H.; Ma, C.; Dai, K.; Kuang, G.; Ivey, D.G.; Wei, W. High Ion Conducting Solid Composite Electrolytes with Enhanced Interfacial Compatibility for Lithium Metal Batteries. ChemElectroChem 2019, 6, 904–910. [Google Scholar] [CrossRef]
- Yang, K.; Zhang, Z.; Liao, Z.; Yang, L.; Hirano, S.I. Organic Ionic Plastic Crystal-polymer Solid Electrolytes with High Ionic Conductivity and Mechanical Ability for Solid-state Lithium Ion Batteries. ChemistrySelect 2018, 3, 12595–12599. [Google Scholar] [CrossRef]
- Yarmolenko, O.V.; Efimov, O.N.; Kotova, A.V.; Matveeva, I.A. Novel Plasticized Electrolytes Based on Oligourethane Methacrylate and Polypropylene Glycol Monomethacrylate. Russ. J. Electrochem. 2003, 39, 571–577. [Google Scholar] [CrossRef]
- Zhou, W.; Wang, Z.; Pu, Y.; Li, Y.; Xin, S.; Li, X.; Chen, J. Double-Layer Polymer Electrolyte for High-Voltage All-Solid-State Rechargeable Batteries. Adv. Mater. 2019, 31, e1805574. [Google Scholar] [CrossRef] [PubMed]
- Wu, Y.; Yuan, X. Lithium Ion Battery—Application and Practice; Chemical Industry Press: Beijing, China, 2011. [Google Scholar]
- Chai, J.; Liu, Z.; Ma, J.; Wang, J.; Liu, X.; Liu, H.; Zhang, J.; Cui, G.; Chen, L. In Situ Generation of Poly (Vinylene Carbonate) Based Solid Electrolyte with Interfacial Stability for LiCoO2 Lithium Batteries. Adv. Sci. (Weinh) 2017, 4, 1600377. [Google Scholar] [CrossRef] [PubMed]
- Cho, Y.G.; Hwang, C.; Cheong, D.S.; Kim, Y.S.; Song, H.K. Gel/Solid Polymer Electrolytes Characterized by In Situ Gelation or Polymerization for Electrochemical Energy Systems. Adv. Mater. 2019, 31, e1804909. [Google Scholar] [CrossRef] [PubMed]
- Zhao, J.; Zhang, J.; Hu, P.; Ma, J.; Wang, X.; Yue, L.; Xu, G.; Qin, B.; Liu, Z.; Zhou, X. A sustainable and rigid-flexible coupling cellulose-supported poly(propylene carbonate) polymer electrolyte towards 5 V high voltage lithium batteries. Electrochim. Acta 2016, 188, 23–30. [Google Scholar] [CrossRef]
- Zhang, X.; Wang, S.; Xue, C.; Xin, C.; Lin, Y.; Shen, Y.; Li, L.; Nan, C.W. Self-Suppression of Lithium Dendrite in All-Solid-State Lithium Metal Batteries with Poly(vinylidene difluoride)-Based Solid Electrolytes. Adv. Mater. 2019, 31, e1806082. [Google Scholar] [CrossRef] [PubMed]
- Liu, S.; Xia, X. In Situ Solid Electrolyte Interphase from Spray Quenching on Molten Li: A New Way to Construct High-Performance Lithium-Metal Anodes. Adv. Mater. 2019, 31, e1806470. [Google Scholar] [CrossRef]












© 2019 by the authors. Licensee MDPI, Basel, Switzerland. This article is an open access article distributed under the terms and conditions of the Creative Commons Attribution (CC BY) license (http://creativecommons.org/licenses/by/4.0/).
Share and Cite
Ding, W.; Wei, C.; Wang, S.; Zou, L.; Gong, Y.; Liu, Y.; Zang, L. Preparation and Properties of a High-Performance EOEOEA-Based Gel-Polymer-Electrolyte Lithium Battery. Polymers 2019, 11, 1296. https://doi.org/10.3390/polym11081296
Ding W, Wei C, Wang S, Zou L, Gong Y, Liu Y, Zang L. Preparation and Properties of a High-Performance EOEOEA-Based Gel-Polymer-Electrolyte Lithium Battery. Polymers. 2019; 11(8):1296. https://doi.org/10.3390/polym11081296
Chicago/Turabian StyleDing, Wenwen, Chun Wei, Shiqi Wang, Linmin Zou, Yongyang Gong, Yuanli Liu, and Limin Zang. 2019. "Preparation and Properties of a High-Performance EOEOEA-Based Gel-Polymer-Electrolyte Lithium Battery" Polymers 11, no. 8: 1296. https://doi.org/10.3390/polym11081296
APA StyleDing, W., Wei, C., Wang, S., Zou, L., Gong, Y., Liu, Y., & Zang, L. (2019). Preparation and Properties of a High-Performance EOEOEA-Based Gel-Polymer-Electrolyte Lithium Battery. Polymers, 11(8), 1296. https://doi.org/10.3390/polym11081296

