Improving the Flame Retardance of Polyisocyanurate Foams by Dibenzo[d,f][1,3,2]dioxaphosphepine 6-Oxide-Containing Additives
Abstract
1. Introduction
2. Materials and Methods
2.1. Chemicals
2.2. Foam Preparation
2.3. Characterization of Foam Properties
2.3.1. Mechanical Properties of the Foams
2.3.2. ATR-FTIR Analysis
2.3.3. Quantitative Phosphorus Content
2.3.4. Thermal Decomposition
2.4. Fire behavior
2.4.1. Vertical Flame Spread
2.4.2. Cone Calorimeter
3. Results and Discussion
3.1. Foam Compositions
3.2. Foam Properties
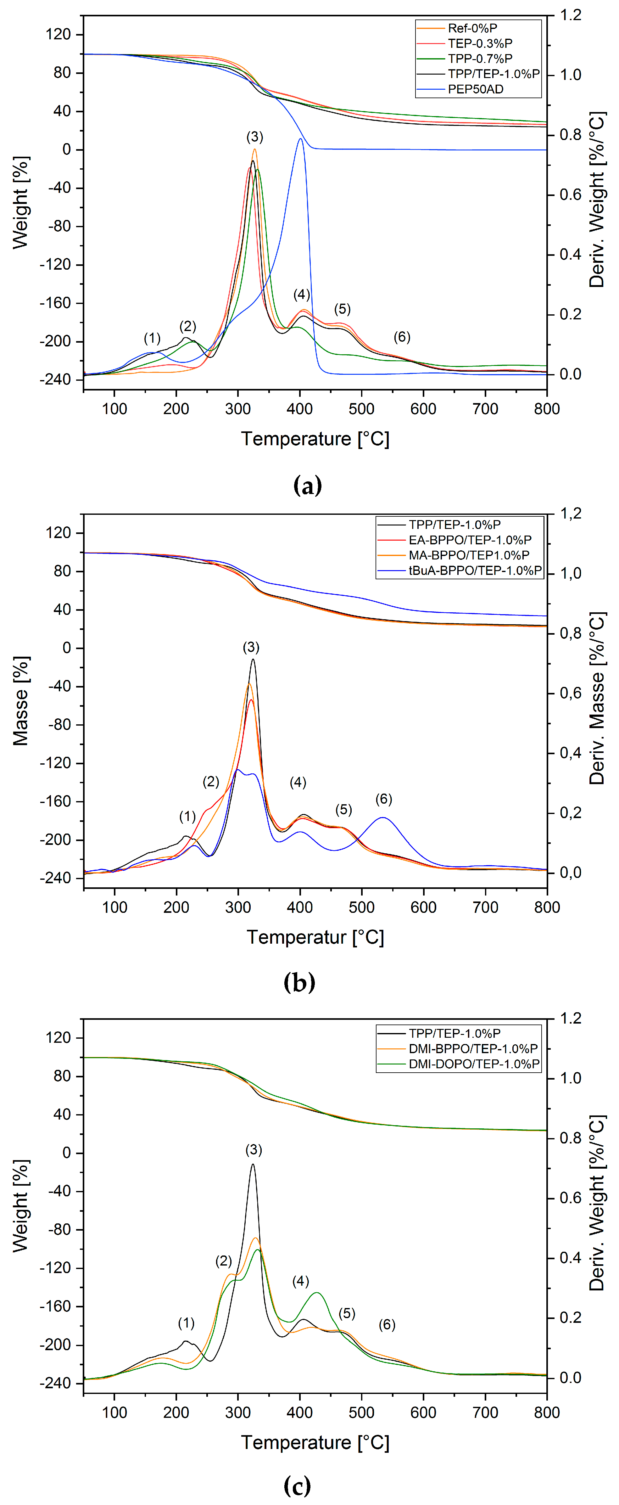
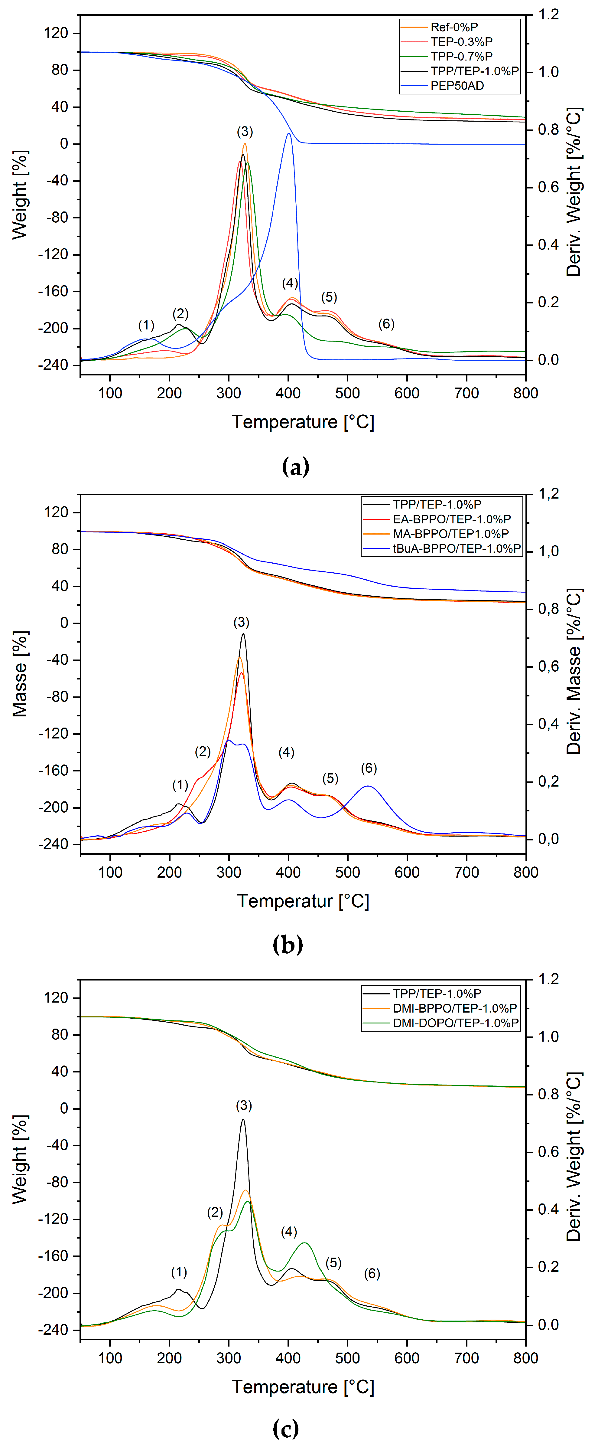
3.3. Thermal Decomposition of the Foams
3.4. Fire Behavior of the Foams
3.4.1. Vertical Flame Spread
3.4.2. Forced Flaming Combustion
4. Conclusions
Supplementary Materials
Author Contributions
Funding
Acknowledgments
Conflicts of Interest
References
- Engels, H.; Pirkl, H.; Albers, R.; Albach, R.; Krause, J.; Hoffmann, A.; Casselmann, H.; Dormish, J. Polyurethanes: Versatile materials and sustainable problem solvers for today’s challenges. Angew. Chem. Int. Ed. 2013, 52, 9422–9441. [Google Scholar] [CrossRef] [PubMed]
- Lorenzetti, A.; Modesti, M.; Besco, S.; Hrelja, D.; Donadi, S. Influence of phosphorus valency on thermal behaviour of flame retarded polyurethane foams. Polym. Degrad. Stab. 2011, 96, 1455–1461. [Google Scholar] [CrossRef]
- Günther, M.; Lorenzetti, A.; Schartel, B. Fire Phenomena of Rigid Polyurethane Foams. Polymers (Basel) 2018, 10, 1166. [Google Scholar] [CrossRef] [PubMed]
- Modesti, M.; Lorenzetti, A. Improvement on fire behaviour of water blown PIR—PUR foams: Use of an halogen-free flame retardant. Eur. Polym. J. 2003, 39, 263–268. [Google Scholar] [CrossRef]
- Modesti, M.; Lorenzetti, A. Flame retardancy of polyisocyanurate – polyurethane foams: use of different charring agents. Polym. Degrad. Stab. 2002, 78, 341–347. [Google Scholar] [CrossRef]
- Guillaume, E.; Fateh, T.; Schillinger, R.; Chiva, R.; Ukleja, S. Study of fire behaviour of facade mock-ups equipped with aluminium composite material-based claddings, using intermediate-scale test method. Fire Mater. 2018, 42, 561–577. [Google Scholar] [CrossRef]
- McKenna, S.T.; Jones, N.; Peck, G.; Dickens, K.; Pawelec, W.; Oradei, S.; Harris, S.; Stec, A.A.; Hull, T.R. Fire behaviour of modern façade materials—Understanding the Grenfell Tower fire. J. Hazard. Mater. 2019, 368, 115–123. [Google Scholar] [CrossRef] [PubMed]
- Van der Veen, I.; de Boer, J. Phosphorus flame retardants: Properties, production, environmental occurrence, toxicity and analysis. Chemosphere 2012, 88, 1119–1153. [Google Scholar] [CrossRef]
- Matuschek, G. Thermal degradation of different fire retardant polyurethane foams. Thermochim. Acta 1995, 263, 59–71. [Google Scholar] [CrossRef]
- Levchik, S.V.; Weil, E.D. Flame retardants in commercial use or in advanced development in polycarbonates and polycarbonate blends. J. Fire Sci. 2006, 24, 137–151. [Google Scholar] [CrossRef]
- Polyurethan-Hartschaum. Pure life, ÜGPU-Qualitätsgemeinschaft. Available online: https://www.uegpu.de/pure-life/ (accessed on 24 June 2015).
- Levchik, S.V.; Weil, E.D. Thermal decomposition, combustion and fire-retardancy of polyurethanes—A review of the recent literature. Polym. Int. 2004, 53, 1585–1610. [Google Scholar] [CrossRef]
- Velencoso, M.; Battig, A.; Markwart, J.; Schartel, B.; Wurm, F. Molecular Firefighting—How Modern Phosphorus Chemistry Can Help Solve the Challenge of Flame Retardancy. Angew. Chem. Int. Ed. 2018, 57, 10450–10467. [Google Scholar] [CrossRef]
- Montchamp, J.L. Phosphorus Chemistry II: Synthetic Methods; Springer: Berlin, Germany, 2015. [Google Scholar]
- Schartel, B. Phosphorus-based flame retardancy mechanisms-old hat or a starting point for future development? Materials (Basel) 2010, 3, 4710–4745. [Google Scholar] [CrossRef]
- Braun, U.; Balabanovich, A.; Schartel, B.; Knoll, U.; Artner, J.; Ciesielski, M.; Döring, M.; Perez, R.; Sandler, J.; Altstädt, V.; et al. Influence of the oxidation state of phosphorus on the decomposition and fire behaviour of flame-retarded epoxy resin composites. Polymer (Guildf) 2006, 47, 8495–8508. [Google Scholar] [CrossRef]
- Joseph, P.; Tretsiakova-Mcnally, S. Reactive modifications of some chain- and step-growth polymers with phosphorus-containing compounds: Effects on flame retardance-a review. Polym. Adv. Technol. 2011, 22, 395–406. [Google Scholar] [CrossRef]
- Rabe, S.; Chuenban, Y.; Schartel, B. Exploring the modes of action of phosphorus-based flame retardants in polymeric systems. Materials (Basel) 2017, 10, 455. [Google Scholar] [CrossRef]
- Perret, B.; Pawlowski, K.H.; Schartel, B. Fire retardancy mechanisms of arylphosphates in polycarbonate (PC) and PC/acrylonitrile-butadiene-styrene: The key role of decomposition temperature. J. Therm. Anal. Calorim. 2009, 97, 949–958. [Google Scholar] [CrossRef]
- Velencoso, M.; Ramos, M.; Klein, R.; De Lucas, A.; Rodriguez, J. Thermal degradation and fire behaviour of novel polyurethanes based on phosphate polyols. Polym. Degrad. Stab. 2014, 101, 40–51. [Google Scholar] [CrossRef]
- Lorenzetti, A.; Modesti, M.; Gallo, E.; Schartel, B.; Besco, S.; Roso, M. Synthesis of phosphinated polyurethane foams with improved fire behaviour. Polym. Degrad. Stab. 2012, 97, 2364–2369. [Google Scholar] [CrossRef]
- Müller, P.; Bykov, Y.; Döring, M. New star-shaped phosphorus-containing flame retardants based on acrylates for epoxy resins. Polym. Adv. Technol. 2013, 24, 834–840. [Google Scholar] [CrossRef]
- Salmeia, K.; Gaan, S. An overview of some recent advances in DOPO-derivatives: Chemistry and flame retardant applications. Polym. Degrad. Stab. 2015, 113, 119–134. [Google Scholar] [CrossRef]
- Brehme, S.; Schartel, B.; Goebbels, J.; Fischer, O.; Pospiech, D.; Bykov, Y.; Döring, M. Phosphorus polyester versus aluminium phosphinate in poly(butylene terephthalate) (PBT): Flame retardancy performance and mechanisms. Polym. Degrad. Stab. 2011, 96, 875–884. [Google Scholar] [CrossRef]
- Fischer, O.; Pospiech, D.; Korwitz, A.; Sahre, K.; Häußler, L.; Friedel, P.; Fischer, D.; Harnisch, C.; Bykov, Y.; Döring, M. Synthesis and properties of phosphorus polyesters with systematically altered phosphorus environment. Polym. Degrad. Stab. 2011, 96, 2198–2208. [Google Scholar] [CrossRef]
- Lu, S.Y.; Hamerton, I. Recent developments in the chemistry of halogen-free flame retardant polymers. Prog. Polym. Sci. 2002, 27, 1661–1712. [Google Scholar] [CrossRef]
- Gaan, S.; Neisius, M.; Cuchere, O.; Liang, S.; Mispreuve, H. Flame retardant polyurethanes based on novel phosphonamidate additives. Fire Saf. Sci. 2014, 11, 821–831. [Google Scholar] [CrossRef][Green Version]
- Yang, H.; Song, L.; Hu, Y.; Yuen, R. Diphase flame-retardant effect of ammonium polyphosphate and dimethyl methyl phosphonate on polyisocyanurate-polyurethane foam. Polym. Adv. Technol. 2018, 29, 2917–2925. [Google Scholar] [CrossRef]
- Yuan, X.; Wang, D.; Chen, L.; Wang, X.L.; Wang, Y.Z. Inherent flame retardation of bio-based poly(lactic acid) by incorporating phosphorus linked pendent group into the backbone. Polym. Degrad. Stab. 2011, 96, 1669–1675. [Google Scholar] [CrossRef]
- Ding, H.; Huang, K.; Li, S.; Xu, L.; Xia, J.; Li, M. Synthesis of a novel phosphorus and nitrogen-containing bio-based polyol and its application in flame retardant polyurethane foam. J. Anal. Appl. Pyrolysis 2017, 128, 102–113. [Google Scholar] [CrossRef]
- Kim, S.; Linh, P.T.T.; Kang, J.; Kim, I. Phosphorus-containing thermoplastic poly(ether ester) elastomers showing intrinsic flame retardancy. J. Appl. Polym. Sci. 2017, 134, 1–11. [Google Scholar] [CrossRef]
- Lenz, J.; Pospiech, D.; Komber, H.; Paven, M.; Albach, R.; Mentizi, S. Synthesis of the H-phosphonate dibenzo [d,f][1,3,2] dioxaphosphepine 6-oxide and the phospha-Michael addition to unsaturated compounds. Tetrahedron 2018, 75, 1306–1310. [Google Scholar] [CrossRef]
- Ito, T.; Iwai, T.; Nakai, T.; Mihara, M.; Mizuno, T.; Ohno, T.; Ishikawa, A.; Kobayashi, J.I. Superacid-catalyzed Friedel–Crafts phosphination of 2-hydroxybiphenyls with phosphorus trichloride. Heteroat. Chem. 2016, 27, 336–342. [Google Scholar] [CrossRef]
- Enders, D.; Saint-Dizier, A.; Lannou, M.I.; Lenzen, A. The phospha-Michael addition in organic synthesis. Eur. J. Org. Chem. 2006, 192, 29–49. [Google Scholar] [CrossRef]
- Pospiech, D.; Komber, H.; Jehnichen, D.; Häußler, L.; Voit, B. Biobased Aliphatic Polyesters with DOPO Substituents for Enhanced Flame Retardancy. Macromol. Chem. Phys. 2015, 216, 1447–1461. [Google Scholar] [CrossRef]
- George, S. Infrared and Raman Characteristic Group Frequencies Contents; John Wiley & Sons: Hoboken, NJ, USA, 2004. [Google Scholar]
- Modesti, M.; Lorenzetti, A. Experimental method for evaluating isocyanate conversion and trimer formation in polyisocyanate-polyurethane foams. Eur. Polym. J. 2001, 37, 949–954. [Google Scholar] [CrossRef]
- Schwarzer, M.; Korwitz, A.; Komber, H.; Häußler, L.; Dittrich, B.; Schartel, B.; Pospiech, D. Phosphorus-Containing Polymer Flame Retardants for Aliphatic Polyesters. Macromol. Mater. Eng. 2018, 303, 1700512. [Google Scholar] [CrossRef]
- Pan, L.; Li, G.; Su, Y.; Lian, J. Fire retardant mechanism analysis between ammonium polyphosphate and triphenyl phosphate in unsaturated polyester resin. Polym. Degrad. Stab. 2012, 97, 1801–1806. [Google Scholar] [CrossRef]
- Xiao, W.; He, P.; Hu, G.; He, B. Study on the flame-retardance and thermal stability of the acid anhydride-cured epoxy resin flame-retarded by triphenyl phosphate and hydrated alumina. J. Fire Sci. 2001, 19, 369–377. [Google Scholar] [CrossRef]
- Thirumal, M.; Singha, N.; Khastgir, D. Halogen-Free Flame-Retardant Rigid Polyurethane Foams: Effect of Alumina Trihydrate and Triphenylphosphate on the Properties of Polyurethane Foams. J. Appl. Polym. Sci. 2010, 116, 2260–2268. [Google Scholar] [CrossRef]
- Hull, R.; Kandola, B. Fire Retardancy of Polymers; Royal Society of Chemistry: Londone, UK, 2009. [Google Scholar]









| Entry | BPPO Added to… | R1 | Chemical Structure | Abbreviation |
|---|---|---|---|---|
| 1 | Methyl acrylate | ![]() | ![]() | MA-BPPO |
| 2 | Ethyl acrylate | ![]() | ![]() | EA-BPPO |
| 3 | Tert. Butyl acrylate | ![]() | ![]() | tBuA-BPPO |
| 4 | Acrylamide | ![]() | ![]() | AM-BPPO |
| 5 | Phenyl acrylate | ![]() | ![]() | PA-BPPO |
| 6 | Dimethyl fumarate | ![]() | ![]() | SU-BPPO |
| 7 | Dimethyl itaconate | ![]() | ![]() | DMI-BPPO |
| 8 | Diphenyl fumarate | ![]() | ![]() | DPF-BPPO |
| 9 | p-Benzoquinone | ![]() | ![]() | HQ-BPPO |
| 10 | p-Benzoquinone | ![]() | ![]() | HP-BPPO |
| DOPO added to… | ||||
| 11 | Dimethyl itaconate | ![]() | ![]() | DMI-DOPO |
| 12 | p-Benzoquinone | ![]() | ![]() | HQ-DOPO |
| Ingredient | Amount |
|---|---|
| [g] | |
| Stabilizer (TEGOSTAB B 8421) | 4.0 |
| Emulsifier (Emulsogen TS100) | 2.0 |
| Triethyl phosphate (TEP) | 5.0 |
| PEG 400 | 16.0 |
| Catalyst (KAc 25 wt.% in diethylene glycol) | 2.5 |
| Polyester polyol (PEP50 AD) | 53.0 |
| Blowing Agent (pentane) | 15.0 |
| Flame Retardant a | x |
| Polyisocyanate (DESMODUR 44V70L) | 151.8 |
| Foam | P-content | Density | WAV | Pore size | Cream Time | Setting Time | Rising Time |
|---|---|---|---|---|---|---|---|
| [wt.%] | [kg·m−3] | [vol%] | [mm] | [s] | [s] | [s] | |
| Ref-0%P | 0.0 | 36 | 7 | 0.15 | 12 | 30 | 41 |
| TEP-0.3%P | 0.3 | 36 | 4 | 0.18 | 10 | 23 | 31 |
| TPP-0.7%P | 0.7 | 36 | 7 | 0.17 | 16 | 30 | 40 |
| TPP/TEP-1.0%P | 1.0 | 39 | 5 | 0.15 | 10 | 24 | 32 |
| TPP/TEP-1.3%P | 1.3 | 40 | 10 | 0.14 | 14 | 25 | 35 |
| TPP/TEP-1.5%P | 1.5 | 39 | 12 | 0.10 | 13 | 23 | 30 |
| MA-BPPO/TEP-1.0%P | 1.0 | 38 | 4 | 0.17 | 10 | 35 | 45 |
| MA-BPPO/TEP-1.2%P | 1.2 | 39 | 14 | 0.15 | 14 | 38 | 48 |
| MA-BPPO/TEP-1.4%P | 1.4 | 37 | 9 | 0.17 | 13 | 48 | 58 |
| EA-BPPO-0.7%P | 0.7 | 36 | 7 | 0.29 | 16 | 40 | 45 |
| EA-BPPO/TEP-1.0%P | 1.0 | 37 | 6 | 0.19 | 9 | 26 | 33 |
| EA-BPPO/TEP-1.3%P | 1.3 | 39 | 6 | 0.21 | 7 | 27 | 37 |
| EA-BPPO/TEP-1.4%P | 1.4 | 42 | 20 | 0.16 | 12 | 38 | 47 |
| EA-BPPO/TEP-1.5%P | 1.5 | 42 | 3 | 0.20 | 15 | 28 | 35 |
| tBuA-BPPO/TEP-1.0%P | 1.0 | 39 | 19 | 0.14 | 11 | 31 | 41 |
| AM-BPPO/TEP-1.0%P | 1.0 | 51 | 13 | 0.18 | 11 | 33 | 40 |
| AM-BPPO/TEP-1.3%P | 1.3 | 50 | 12 | 0.12 | 13 | 37 | 45 |
| AM-BPPO/TEP-1.5%P | 1.5 | 57 | 3 | 0.17 | 20 | 50 | 50 |
| PA-BPPO/TEP-1.0%P | 1.0 | 39 | 16 | 0.18 | 12 | 32 | 40 |
| SU-BPPO/TEP-1.0%P | 1.0 | 50 | 23 | 0.23 | 12 | 70 | 42 |
| DPF-BPPO/TEP-1.0%P a | 1.0 | - | - | - | 15 | >200 | 51 |
| DMI-BPPO/TEP-1.0%P | 1.0 | 35 | 16 | 0.16 | 11 | 37 | 46 |
| DMI-BPPO/TEP-1.5%P | 1.5 | 47 | 13 | 0.15 | 10 | 30 | 41 |
| HQ-BPPO/TEP-1.0%P | 1.0 | 55 | 8 | 0.19 | 10 | 15 | 15 |
| HQ-BPPO/TEP-1.5%P | 1.5 | 58 | 22 | 0.33 | 5 | 15 | 15 |
| HP-BPPO/TEP-1.0%P | 1.0 | 39 | 14 | 0.19 | 6 | 22 | 29 |
| DMI-DOPO/TEP-1.0%P | 1.0 | 35 | 11 | 0.14 | 12 | 31 | 40 |
| DMI-DOPO/TEP-1.5%P | 1.5 | 42 | 19 | 0.20 | 13 | 44 | 50 |
| HQ-DOPO/TEP-1.0%P | 1.0 | 39 | 2 | 0.19 | 8 | 23 | 30 |
| HQ-DOPO/TEP-1.5%P | 1.5 | 45 | 23 | 0.19 | 5 | 16 | 16 |
| Foam | P-content | Fmax | F60%a |
|---|---|---|---|
| [wt.%] | [kPa] | [kPa] | |
| Ref-0%P | 0 | 271 | 197 |
| TEP-0.3%P | 0.3 | 347 | 255 |
| TPP/TEP-1.0%P | 1.0 | 353 | 261 |
| TPP-0.7%P | 0.7 | 282 | 184 |
| EA-BPPO/TEP-1.0%P | 1.0 | 363 | 234 |
| MA-BPPO/TEP-1.0%P | 1.0 | 314 | 245 |
| Foam | P-Content | TGA Tmax | TGA Residue | Fire Residue |
|---|---|---|---|---|
| [wt.%] | [°C] | [wt.%] | [wt.%] | |
| Ref-0%P | 0.0 | 326 | 26.6 | 22.3 |
| TEP-0.3%P | 0.3 | 319 | 26.4 | 26.7 |
| TPP-0.7%P | 0.7 | 330 | 29.3 | 44.7 |
| TPP/TEP-1.0%P | 1.0 | 324 | 24.0 | 36.4 |
| TPP/TEP-1.3%P | 1.3 | 328 | 23.8 | 27.8 |
| TPP/TEP-1.5%P | 1.5 | 331 | 19.6 | 28.6 |
| MA-BPPO/TEP-1.0%P | 1.0 | 318 | 22.9 | 28.3 |
| MA-BPPO/TEP-1.2%P | 1.2 | 320 | 24.6 | 33.1 |
| MA-BPPO/TEP-1.4%P | 1.4 | 315 | 25.0 | 34.1 |
| EA-BPPO-0.7%P | 0.7 | 331 | 24.6 | 28.2 |
| EA-BPPO/TEP-1.0%P | 1.0 | 321 | 22.6 | 28.6 |
| EA-BPPO/TEP-1.3%P | 1.3 | 314 | 21.3 | 29.2 |
| EA-BPPO/TEP-1.4%P | 1.4 | 329 | 22.0 | - |
| EA-BPPO/TEP-1.5%P | 1.5 | 319 | 23.7 | 35.7 |
| tBuA-BPPO/TEP-1.0%P | 1.0 | 308 | 33.4 | 27.0 |
| AM-BPPO/TEP-1.0%P | 1.0 | 316 | 30.0 | - |
| AM-BPPO/TEP-1.3%P | 1.3 | 295 | 31.2 | - |
| AM-BPPO/TEP-1.5%P | 1.5 | 319 | 30.3 | - |
| PA-BPPO/TEP-1.0%P | 1.0 | 320 | 34.6 | - |
| SU-BPPO/TEP-1.0%P | 1.0 | 334 | 28.5 | - |
| DMI-BPPO/TEP-1.0%P | 1.0 | 334 | 29.1 | 33.2 |
| DMI-BPPO/TEP-1.5%P | 1.5 | 319 | 23.6 | - |
| HQ-BPPO/TEP-1.0%P | 1.0 | 334 | 33.5 | 31.7 |
| HQ-BPPO/TEP-1.5%P | 1.5 | 315 | 28.9 | - |
| HP-BPPO/TEP-1.0%P | 1.0 | 321 | 28.1 | - |
| DMI-DOPO/TEP-1.0%P | 1.0 | 331 | 23.9 | 29.4 |
| DMI-DOPO/TEP-1.5%P | 1.5 | 278 | 24.5 | - |
| HQ-DOPO/TEP-1.0%P | 1.0 | 325 | 23.3 | 38.0 |
| HQ-DOPO/TEP-1.5%P | 1.5 | 327 | 23.8 | - |
| Foam | P-content | Density | VFS |
|---|---|---|---|
| [wt.%] | [kg·m−3] | [cm] | |
| Ref-0%P | 0.0 | 36 | >20 |
| TEP-0.3%P | 0.3 | 36 | 18 |
| TPP-0.7%P | 0.7 | 36 | 15 |
| TPP/TEP-1.0%P | 1.0 | 39 | 14 |
| TPP/TEP-1.3%P | 1.3 | 40 | 13 |
| TPP/TEP-1.5%P | 1.5 | 39 | 12 |
| MA-BPPO/TEP-1.0%P | 1.0 | 35 | 15 |
| MA-BPPO/TEP-1.2%P | 1.2 | 47 | 14 |
| MA-BPPO/TEP-1.4%P | 1.4 | 35 | 13 |
| EA-BPPO-0.7%P | 0.7 | 36 | 17 |
| EA-BPPO/TEP-1.0%P | 1.0 | 42 | 16 |
| EA-BPPO/TEP-1.3%P | 1.3 | 38 | 13 |
| EA-BPPO/TEP-1.4%P | 1.4 | 39 | 13 |
| EA-BPPO/TEP-1.5%P | 1.5 | 37 | <10 |
| tBuA-BPPO/TEP-1.0%P | 1.0 | 37 | 15 |
| AM-BPPO/TEP-1.0%P | 1.0 | 51 | 18 |
| AM-BPPO/TEP-1.3%P | 1.3 | 50 | 18 |
| AM-BPPO/TEP-1.5%P | 1.5 | 57 | 18 |
| PA-BPPO/TEP-1.0%P | 1.0 | 39 | 11 |
| SU-BPPO/TEP-1.0%P | 1.0 | 50 | 18 |
| DMI-BPPO/TEP-1.0%P | 1.0 | 39 | 15 |
| DMI-BPPO/TEP-1.5%P | 1.5 | 42 | <10 |
| HQ-BPPO/TEP-1.0%P | 1.0 | 55 | 18 |
| HQ-BPPO/TEP-1.5%P | 1.5 | 58 | 18 |
| HP-BPPO/TEP-1.0%P | 1.0 | 39 | 17 |
| DMI-DOPO/TEP-1.0%P | 1.0 | 42 | 14 |
| DMI-DOPO/TEP-1.5%P | 1.5 | 39 | 16 |
| HQ-DOPO/TEP-1.0%P | 1.0 | 39 | <10 |
| HQ-DOPO/TEP-1.5%P | 1.5 | 45 | <10 |
| Foam | PHRR | MARHE | THR | Residue | EHC | TSR |
|---|---|---|---|---|---|---|
| [kW·m−2] | [kW·m−2] | [MJ·m−2] | [wt.%] | [MJ·kg−1] | [m2·m−2] | |
| Ref-0%P | 233 | 172 | 24 | 22.3 | 2.0 | 551 |
| TEP-0.3%P | 178 | 128 | 26 | 26.7 | 2.1 | 392 |
| TPP-0.7%P | 205 | 145 | 27 | 44.7 | 2.1 | 755 |
| TPP/TEP-1.0%P | 164 | 111 | 20 | 36.4 | 1.8 | 324 |
| TPP/TEP-1.3%P | 163 | 114 | 24 | 27.8 | 1.8 | 407 |
| TPP/TEP-1.5%P | 162 | 112 | 22 | 28.6 | 1.8 | 389 |
| MA-BPPO/TEP-1.0%P | 185 | 132 | 28 | 28.3 | 2.2 | 527 |
| MA-BPPO/TEP-1.2%P | 162 | 112 | 23 | 33.1 | 2.0 | 421 |
| MA-BPPO/TEP-1.4%P | 167 | 114 | 25 | 34.4 | 1.9 | 488 |
| EA-BPPO-0.7%P | 180 | 132 | 26 | 28.2 | 2.0 | 501 |
| EA-BPPO/TEP-1.0%P | 168 | 121 | 23 | 28.6 | 1.9 | 433 |
| EA-BPPO/TEP-1.3%P | 156 | 113 | 24 | 29.2 | 1.9 | 506 |
| EA-BPPO/TEP-1.5%P | 139 | 103 | 27 | 35.7 | 2.1 | 398 |
| tBuA-BPPO/TEP-1.0%P | 166 | 114 | 26 | 27.0 | 2.0 | 380 |
| DMI-BPPO/TEP-1.0%P | 171 | 118 | 21 | 33.2 | 1.9 | 317 |
| DMI-DOPO/TEP-1.0%P | 162 | 108 | 24 | 29.4 | 1.9 | 371 |
| HQ-BPPO/TEP-1.0%P a | 374 | 266 | 29 | 31.7 | 1.7 | 1228 |
| HQ-DOPO/TEP-1.0%P | 134 | 101 | 22 | 38.0 | 1.8 | 503 |
© 2019 by the authors. Licensee MDPI, Basel, Switzerland. This article is an open access article distributed under the terms and conditions of the Creative Commons Attribution (CC BY) license (http://creativecommons.org/licenses/by/4.0/).
Share and Cite
Lenz, J.; Pospiech, D.; Paven, M.; Albach, R.W.; Günther, M.; Schartel, B.; Voit, B. Improving the Flame Retardance of Polyisocyanurate Foams by Dibenzo[d,f][1,3,2]dioxaphosphepine 6-Oxide-Containing Additives. Polymers 2019, 11, 1242. https://doi.org/10.3390/polym11081242
Lenz J, Pospiech D, Paven M, Albach RW, Günther M, Schartel B, Voit B. Improving the Flame Retardance of Polyisocyanurate Foams by Dibenzo[d,f][1,3,2]dioxaphosphepine 6-Oxide-Containing Additives. Polymers. 2019; 11(8):1242. https://doi.org/10.3390/polym11081242
Chicago/Turabian StyleLenz, Johannes, Doris Pospiech, Maxime Paven, Rolf W. Albach, Martin Günther, Bernhard Schartel, and Brigitte Voit. 2019. "Improving the Flame Retardance of Polyisocyanurate Foams by Dibenzo[d,f][1,3,2]dioxaphosphepine 6-Oxide-Containing Additives" Polymers 11, no. 8: 1242. https://doi.org/10.3390/polym11081242
APA StyleLenz, J., Pospiech, D., Paven, M., Albach, R. W., Günther, M., Schartel, B., & Voit, B. (2019). Improving the Flame Retardance of Polyisocyanurate Foams by Dibenzo[d,f][1,3,2]dioxaphosphepine 6-Oxide-Containing Additives. Polymers, 11(8), 1242. https://doi.org/10.3390/polym11081242

























