Opposite Effects of SiO2 Nanoparticles on the Local α and Larger-Scale α’ Segmental Relaxation Dynamics of PMMA Nanocomposites
Abstract
1. Introduction
2. Materials and Methods
2.1. Materials’ Preparation
2.2. Characterization
3. Results and Discussion
3.1. The Morphology and Interaction Characterization of PMMA/SiO2 Nanocomposites
3.2. The Glass Transition of PMMA/SiO2 Nanocomposites
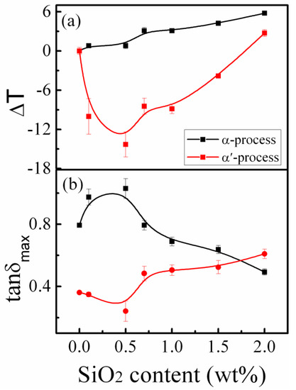
3.3. The Segmental Relaxation Dynamics of PMMA/SiO2 Nanocomposites
4. Conclusions
Author Contributions
Acknowledgments
Conflicts of Interest
References
- Cheng, S.; Bocharova, V.; Belianinov, A.; Xiong, S.; Kisliuk, A.; Somnath, S.; Holt, A.P.; Ovchinnikova, O.S.; Jessse, S.; Martin, H.; et al. Unraveling the mechanism of nanoscale mechanical reinforcement in glassy polymer nanocomposites. Nano Lett. 2016, 16, 3630–3637. [Google Scholar] [CrossRef] [PubMed]
- Bozzini, B.; Bocchetta, P.; Kourousias, G.; Gianoncelli, A. Electrodeposition of Mn-Co/polypyrrole nanocomposites: An electrochemical and in situ soft-X-ray microspectroscopic investigation. Polymers 2017, 9, 17. [Google Scholar] [CrossRef]
- Malas, A.; Bharati, A.; Verkinderen, O.; Goderis, B.; Moldenaers, P.; Cardinaels, R. Effect of the GO reduction method on the dielectric properties, electrical conductivity and crystalline behavior of PEO/rGO nanocomposites. Polymers 2017, 9, 613. [Google Scholar] [CrossRef] [PubMed]
- Papon, A.; Montes, H.; Lequeux, F.; Oberdisse, J.; Saalwaechter, K.; Guy, L. Solid particles in an elastomer matrix: Impact of colloid dispersion and polymer mobility modification on the mechanical properties. Soft Matter 2012, 8, 4090–4096. [Google Scholar] [CrossRef]
- Arrigo, R.; Antonioli, D.; Lazzari, M.; Gianotti, V.; Laus, M.; Montanaro, L.; Malucelli, G. Relaxation dynamics in polyethylene glycol/modified hydrotalcite nanocomposites. Polymers 2018, 10, 1182. [Google Scholar] [CrossRef] [PubMed]
- Schadler, L.S.; Kumar, S.K.; Benicewicz, B.C.; Lewis, S.L.; Harton, S.E. Designed interfaces in polymer nanocomposites: A fundamental viewpoint. MRS Bull. 2007, 32, 335–340. [Google Scholar] [CrossRef]
- Yamamoto, U.; Schweizer, K.S. Microscopic theory of the long-time diffusivity and intermediate-time anomalous transport of a nanoparticle in polymer melts. Macromolecules 2015, 48, 152–163. [Google Scholar] [CrossRef]
- Song, Y.; Zheng, Q. Time-concentration superpositioning principle accounting for the size effects of reinforcement and dissipation of polymer nanocomposites. Compos. Sci. Technol. 2018, 168, 279–286. [Google Scholar] [CrossRef]
- Behbahani, A.F.; Allaei, S.M.V.; Motlagh, G.H.; Eslami, H.; Harmandaris, V.A. Structure, dynamics, and apparent glass transition of stereoregular poly(methyl methacrylate)/graphene interfaces through atomistic simulations. Macromolecules 2018, 51, 7518–7532. [Google Scholar] [CrossRef]
- Ding, Y.; Pawlus, S.; Sokolov, A.P.; Douglas, J.F.; Karim, A.; Soles, C.L. Dielectric spectroscopy investigation of relaxation in C-60-polyisoprene nanocomposites. Macromolecules 2009, 42, 3201–3206. [Google Scholar] [CrossRef]
- Li, L.; Zhou, D.; Huang, D.; Xue, G. Double glass transition temperatures of poly(methyl methacrylate) confined in alumina nanotube templates. Macromolecules 2014, 47, 297–303. [Google Scholar] [CrossRef]
- Li, X.; Chen, L.; Li, Q.; Zhang, J.; Su, Z.; Zhang, X.; Zheng, K.; Tian, X. Double glass transitions in exfoliated poly(methyl methacrylate)/organically modified MgAl layered double hydroxide nanocomposites. RSC Adv. 2016, 6, 101941–101947. [Google Scholar] [CrossRef]
- Nusser, K.; Schneider, G.J.; Pyckhout-Hintzen, W.; Richter, D. Viscosity decrease and reinforcement in polymer-silsesquioxane composites. Macromolecules 2011, 44, 7820–7830. [Google Scholar] [CrossRef]
- Fragiadakis, D.; Bokobza, L.; Pissis, P. Dynamics near the filler surface in natural rubber-silica nanocomposites. Polymer 2011, 52, 3175–3182. [Google Scholar] [CrossRef]
- Holt, A.P.; Sangoro, J.R.; Wang, Y.; Agapov, A.L.; Sokolov, A.P. Chain and segmental dynamics of poly(2-vinylpyridine) nanocomposites. Macromolecules 2013, 46, 4168–4173. [Google Scholar] [CrossRef]
- Bogoslovov, R.B.; Roland, C.M.; Ellis, A.R.; Randall, A.M.; Robertson, C.G. Effect of silica nanoparticles on the local segmental dynamics in poly(vinyl acetate). Macromolecules 2008, 41, 1289–1296. [Google Scholar] [CrossRef]
- Lin, Y.; Liu, L.; Cheng, J.; Shangguan, Y.; Yu, W.; Qiu, B.; Zheng, Q. Segmental dynamics and physical aging of polystyrene/silver nanocomposites. RSC Adv. 2014, 4, 20086–20093. [Google Scholar] [CrossRef]
- Jancar, J.; Douglas, J.F.; Starr, F.W.; Kumar, S.K.; Cassagnau, P.; Lesser, A.J.; Sternstein, S.S.; Buehler, M.J. Current issues in research on structure-property relationships in polymer nanocomposites. Polymer 2010, 51, 3321–3343. [Google Scholar] [CrossRef]
- Rizos, A.K.; Jian, T.; Ngai, K.L. Determination of the coupling parameter of local segmental motion in poly(isobutylene) by photon-correlation spectroscopy. Macromolecules 1995, 28, 517–521. [Google Scholar] [CrossRef]
- Ngai, K.L.; Plazek, D.J.; Rizos, A.K. Viscoelastic properties of amorphous polymers. 5. A coupling model analysis of the thermorheological complexity of polyisobutylene in the class-rubber softening dispersion. J. Polym. Sci. Part B Polym. Phys. 1997, 35, 599–614. [Google Scholar] [CrossRef]
- Paluch, M.; Pawlus, S.; Sokolov, A.P.; Ngai, K.L. Sub-Rouse modes in polymers observed by dielectric spectroscopy. Macromolecules 2010, 43, 3103–3106. [Google Scholar] [CrossRef]
- Ngai, K.L.; Plazek, D.J. Resolution of sub-Rouse modes of polystyrene by dissolution. Macromolecules 2002, 35, 9136–9141. [Google Scholar] [CrossRef]
- Rizos, A.K.; Ngai, K.L.; Plazek, D.J. Local segmental and sub-Rouse modes in polyisobutylene by photon correlation spectroscopy. Polymer 1997, 38, 6103–6107. [Google Scholar] [CrossRef]
- Wu, X.; Liu, C.; Zhu, Z.; Ngai, K.L.; Wang, L.M. Nature of the sub-Rouse modes in the glass-rubber transition zone of amorphous polymers. Macromolecules 2011, 44, 3605–3610. [Google Scholar] [CrossRef]
- Yang, F.; Nelson, G.L. PMMA/silica nanocomposite studies: Synthesis and properties. J. Appl. Polym. Sci. 2004, 91, 3844–3850. [Google Scholar] [CrossRef]
- Qu, M.; Meth, J.S.; Blackman, G.S.; Cohen, G.M.; Sharp, K.G.; Van Vliet, K.J. Tailoring and probing particle-polymer interactions in PMMA/silica nanocomposites. Soft Matter 2011, 7, 8401–8408. [Google Scholar] [CrossRef]
- Pantaleon, R.; Gonzalez-Benito, J. Structure and thermostability of PMMA in PMMA/silica nanocomposites: Effect of high-energy ball milling and the amount of the nanofiller. Polym. Compos. 2010, 31, 1585–1592. [Google Scholar] [CrossRef]
- Salami-Kalajahi, M.; Haddadi-Asl, V.; Rahimi-Razin, S.; Behboodi-Sadabad, F.; Roghani-Mamaqani, H.; Najafi, M. Effect of loading and surface modification of nanoparticles on the properties of PMMA/silica nanocomposites prepared via in-situ free radical polymerization. Int. J. Polym. Mater. 2013, 62, 336–344. [Google Scholar] [CrossRef]
- Boucher, V.M.; Cangialosi, D.; Alegria, A.; Colmenero, J. Time dependence of the segmental relaxation time of poly(vinyl acetate)-silica nanocomposites. Phys. Rev. E 2012, 86, 041501. [Google Scholar] [CrossRef]
- Sanchez, F.A.; Redondo, M.; Olmos, D.; Kuzmanovic, M.; Gonzalez-Benito, J. A near-infrared spectroscopy study on thermal transitions of PMMA and PMMA/SiO2 nanocomposites. Macromol. Symp. 2014, 339, 48–59. [Google Scholar] [CrossRef]
- Li, C.X.; Wu, J.T.; Zhao, J.; Zhao, D.L.; Fan, Q.R. Effect of inorganic phase on polymeric relaxation dynamics in PMMA/silica hybrids studied by dielectric analysis. Eur. Polym. J. 2004, 40, 1807–1814. [Google Scholar] [CrossRef]
- Hu, Y.H.; Chen, C.Y.; Wang, C.C. Viscoelastic properties and thermal degradation kinetics of silica/PMMA nanocomposites. Polym. Degrad. Stab. 2004, 84, 545–553. [Google Scholar] [CrossRef]
- Lin, Y.; Liu, L.; Zhang, D.; Liu, Y.; Guan, A.; Wu, G. Unexpected segmental dynamics in polystyrene-grafted silica nanocomposites. Soft Matter 2016, 12, 8542–8553. [Google Scholar] [CrossRef]
- Song, Y.; Bu, J.; Zuo, M.; Gao, Y.; Zhang, W.; Zheng, Q. Glass transition of poly(methyl methacrylate) filled with nanosilica and core-shell structured silica. Polymer 2017, 127, 141–149. [Google Scholar] [CrossRef]
- Wu, X.; Xu, Q.; Shui, J.; Zhu, Z. Low-frequency mechanical spectroscopy study of conformational transition of polymer chains in concentrated solutions. Rev. Sci. Instrum. 2008, 79, 126105. [Google Scholar] [CrossRef] [PubMed]
- Kropka, J.M.; Sakai, V.G.; Green, P.F. Local polymer dynamics in polymer-C-60 mixtures. Nano Lett. 2008, 8, 1061–1065. [Google Scholar] [CrossRef]
- Rittigstein, P.; Torkelson, J.M. Polymer-nanoparticle interfacial interactions in polymer nanocomposites: Confinement effects on glass transition temperature and suppression of physical aging. J. Polym. Sci. Part B Polym. Phys. 2006, 44, 2935–2943. [Google Scholar] [CrossRef]
- Ngai, K.L.; Plazek, D.J. Identification of different modes of molecular-motion in polymers that cause thermorheological complexity. Rubber Chem. Technol. 1995, 68, 376–434. [Google Scholar] [CrossRef]
- Wu, J.; Huang, G.; Pan, Q.; Zheng, J.; Zhu, Y.; Wang, B. An investigation on the molecular mobility through the glass transition of chlorinated butyl rubber. Polymer 2007, 48, 7653–7659. [Google Scholar] [CrossRef]
- Plazek, D.J.; Chay, I.C.; Ngai, K.L.; Roland, C.M. Viscoelastic properties of polymers. 4. Thermorheological complexity of the softening dispersion in polyisobutylene. Macromolecules 1995, 28, 6432–6436. [Google Scholar] [CrossRef]
- Yuan, L.X.; Fang, Q.F. Nonlinear fitting of the internal friction data and its application on the bamboo grain boundary relaxation in pure Al. Acta Metall. Sin. 1998, 34, 1016–1020. [Google Scholar]
- Wu, J.; Haddad, T.S.; Kim, G.M.; Mather, P.T. Rheological behavior of entangled polystyrene-polyhedral oligosilsesquioxane (POSS) copolymers. Macromolecules 2007, 40, 544–554. [Google Scholar] [CrossRef]
- Holt, A.P.; Griffin, P.J.; Bocharova, V.; Agapov, A.L.; Imel, A.E.; Dadmun, M.D.; Sangoro, J.R.; Sokolov, A.P. Dynamics at the polymer/nanoparticle interface in poly(2-vinylpyridine)/silica nanocomposites. Macromolecules 2014, 47, 1837–1843. [Google Scholar] [CrossRef]
- Ding, Y.F.; Sokolov, A.P. Breakdown of time-temperature superposition principle and universality of chain dynamics in polymers. Macromolecules 2006, 39, 3322–3326. [Google Scholar] [CrossRef]
- Plazek, D.J. Anomalous viscoelastic properties of polymers: Experiments and explanations. J. Non Cryst. Solids 2007, 353, 3783–3787. [Google Scholar] [CrossRef]
- Plazek, D.J. 1995 Bingham medal address: Oh, thermorheological simplicity, wherefore art thou? J. Rheol. 1996, 40, 987–1014. [Google Scholar] [CrossRef]
- Hao, N.; Boehning, M.; Schoenhals, A. Dielectric properties of nanocomposites based on polystyrene and polyhedral oligomeric phenethyl-silsesquioxanes. Macromolecules 2007, 40, 9672–9679. [Google Scholar] [CrossRef]
- Nakazawa, M.; Urakawa, O.; Adachi, K. Effect of local heterogeneity on dielectric relaxation spectra in concentrated solutions of poly(vinyl acetate) and poly(vinyl octanoate). Macromolecules 2000, 33, 7898–7904. [Google Scholar] [CrossRef]
- Fulcher, G.S. Analysis of recent measurements of the viscosity of glasses. J. Am. Ceram. Soc. 1925, 8, 339–355. [Google Scholar] [CrossRef]
- Tammann, G.; Hesse, W. Die abhangigkeit der viscositat von der temperatur bei unterkuhlten fltissigkeiten. Z. Anorg. Allg. Chem. 1926, 156, 245–257. [Google Scholar] [CrossRef]
- Vogel, H. The law of the relation between the viscosity of liquids and the temperature. Phys. Z. 1921, 22, 645–646. [Google Scholar]
- Yada, M.; Nakazawa, M.; Urakawa, O.; Morishima, Y.; Adachi, K. Effect of local heterogeneity on dielectric segmental relaxation of poly(vinyl acetate) in concentrated solution. Macromolecules 2000, 33, 3368–3374. [Google Scholar] [CrossRef]
- Wu, X.; Liu, C.; Ngai, K.L. Origin of the crossover in dynamics of the sub-Rouse modes at the same temperature as the structural alpha-relaxation in polymers. Soft Matter 2014, 10, 9324–9333. [Google Scholar] [CrossRef] [PubMed]
- Starr, F.W.; Douglas, J.F. Modifying fragility and collective motion in polymer melts with nanoparticles. Phys. Rev. Lett. 2011, 106, 115702. [Google Scholar] [CrossRef]
- Chandra, A.; Meyer, W.H. Dielectric relaxation studies of low thermal expansion polymer composites. J. Appl. Polym. Sci. 2013, 128, 2857–2864. [Google Scholar] [CrossRef]
- Wu, J.; Huang, G.; Pan, Q.; Qu, L.; Zhu, Y.; Wang, B. Study on liquid-liquid transition of chlorinated butyl rubber by positron annihilation lifetime spectroscopy. Appl. Phys. Lett. 2006, 89, 121904. [Google Scholar] [CrossRef]










| Silica Content | α Process | Sub-Rouse | Rouse | ||||
|---|---|---|---|---|---|---|---|
| T0 (K) | m | T0 (K) | T0 (K) | ||||
| 0 wt % | 1.41 × 10−3 | 349 | 230 | 2.50 × 10−3 | 367 | 3.65 × 10−3 | 402 |
| 0.1 wt % | 1.47 × 10−3 | 351 | 228 | 2.55 × 10−3 | 358 | 3.66 × 10−3 | 393 |
| 0.5 wt % | 1.49 × 10−3 | 351 | 229 | 3.12 × 10−3 | 369 | 4.26 × 10−3 | 392 |
| 0.7 wt % | 1.13 × 10−3 | 353 | 321 | 1.62 × 10−3 | 344 | 3.10 × 10−3 | 389 |
| 1.0 wt % | 1.04 × 10−3 | 354 | 336 | 1.31 × 10−3 | 332 | 2.85 × 10−3 | 386 |
| 1.5 wt % | 9.79 × 10−4 | 357 | 369 | 1.15 × 10−3 | 316 | 2.50 × 10−3 | 383 |
| 2.0 wt % | 9.22 × 10−4 | 358 | 421 | 1.06 × 10−3 | 336 | 2.42 × 10−3 | 392 |
© 2019 by the authors. Licensee MDPI, Basel, Switzerland. This article is an open access article distributed under the terms and conditions of the Creative Commons Attribution (CC BY) license (http://creativecommons.org/licenses/by/4.0/).
Share and Cite
Wang, N.; Wu, X.; Liu, C.S. Opposite Effects of SiO2 Nanoparticles on the Local α and Larger-Scale α’ Segmental Relaxation Dynamics of PMMA Nanocomposites. Polymers 2019, 11, 979. https://doi.org/10.3390/polym11060979
Wang N, Wu X, Liu CS. Opposite Effects of SiO2 Nanoparticles on the Local α and Larger-Scale α’ Segmental Relaxation Dynamics of PMMA Nanocomposites. Polymers. 2019; 11(6):979. https://doi.org/10.3390/polym11060979
Chicago/Turabian StyleWang, Na, Xuebang Wu, and C.S. Liu. 2019. "Opposite Effects of SiO2 Nanoparticles on the Local α and Larger-Scale α’ Segmental Relaxation Dynamics of PMMA Nanocomposites" Polymers 11, no. 6: 979. https://doi.org/10.3390/polym11060979
APA StyleWang, N., Wu, X., & Liu, C. S. (2019). Opposite Effects of SiO2 Nanoparticles on the Local α and Larger-Scale α’ Segmental Relaxation Dynamics of PMMA Nanocomposites. Polymers, 11(6), 979. https://doi.org/10.3390/polym11060979
