A Novel Synthetic Strategy for Preparing Polyamide 6 (PA6)-Based Polymer with Transesterification
Abstract
1. Introduction
2. Experimental
2.1. Materials
2.2. Sample Preparation
2.2.1. Synthesis of Polyamide 6 (PA6)-based Polymer
2.2.2. Preparation of PA6/PEA Plastic Splines
2.3. Measurements
2.3.1. 1H-NMR and FTIR
2.3.2. Relative Viscosity
- t0—the outflow time of the pure solvent, s;
- t—the outflow time of the concentrated sulfuric acid solution of PA6, s.
2.3.3. Oligomer Content
2.3.4. Detection of Amino and Carboxylic End Groups
2.3.5. Gel Permeation Chromatography, GPC
2.3.6. Differential Scanning Calorimetry (DSC), and Thermogravimetric Analysis, TGA
2.3.7. Wide-angle X-ray Diffraction, WAXD
2.3.8. Scanning Electron Microscope, SEM
2.3.9. Tensile Properties
2.3.10. Chips Saturated Water Absorption
3. Results and Discussion
3.1. Preparation and Characterization of prePA6
3.2. Preparation and Characterization of PEA
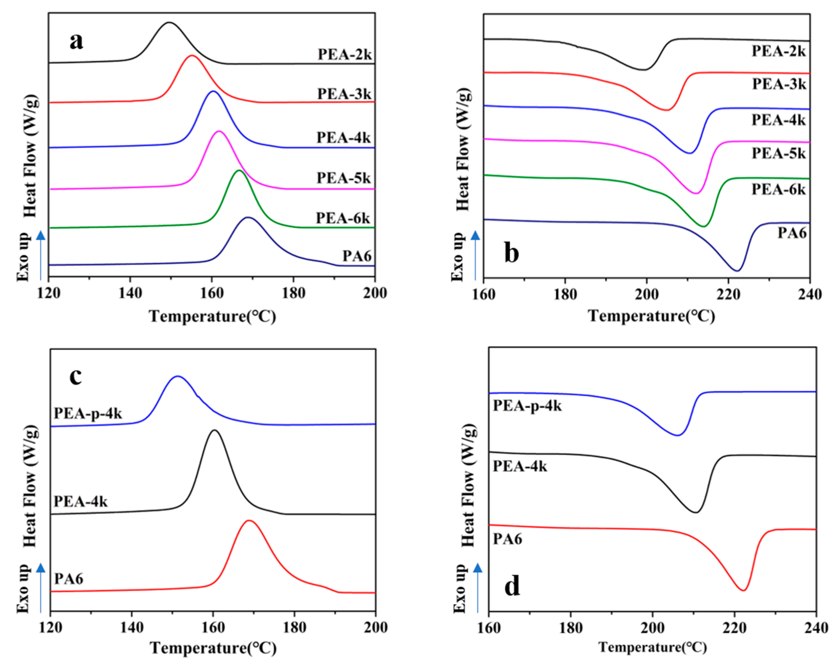
3.3. Thermal Properties of PEA
3.4. Crystallization of PEA
3.5. Tensile Properties of PEA
3.6. Surface Topography of PEA
3.7. Water Absorption Performance of PEA
4. Conclusions
Supplementary Materials
Author Contributions
Acknowledgments
Conflicts of Interest
References
- Huggins, M.L. Principles of polymer chemistry. J. Am. Chem. Soc. 1954, 76, 2854. [Google Scholar] [CrossRef]
- Kohan, M.I. Nylon Plastics Handbook; Hanser: Munich, Germany, 1995. [Google Scholar]
- Hanford, W.E.; Joyce, R.M. Polymeric amides from epsilon-caprolactam. J. Polym. Sci. Part A Polym. Chem. 2010, 3, 167–172. [Google Scholar] [CrossRef]
- Russo, S.; Casazza, E. 4.14—Ring-Opening Polymerization of Cyclic Amides (Lactams). Polym. Sci. A Compr. Ref. 2012, 9, 331–396. [Google Scholar]
- Dechy-Cabaret, O.; Martin-Vaca, B.; Bourissou, D. Polyesters from Dilactones; John Wiley & Sons, Inc.: Hoboken, NJ, USA, 2009. [Google Scholar]
- Bakkali-Hassani, C.; Planes, M.; Roos, K.; Wirotius, A.L.; Ibarboure, E.; Carlotti, S. Synthesis of Polyamide 6 with Aramid Units by Combination of Anionic Ring-Opening and Condensation Reactions. Eur. Polym. J. 2018, 102, S0014305718300776. [Google Scholar] [CrossRef]
- Peng, S.; Lu, P.; Yi, C.; Wei, Z.; Xi, W. A novel synthetic strategy for preparing semi-aromatic components modified polyamide 6 polymer. J. Polym. Sci. Part A Polym. Chem. 2018, 56, 959–967. [Google Scholar] [CrossRef]
- Cousin, T.; Galy, J.; Rousseau, A.; Dupuy, J. Synthesis and properties of polyamides from 2,5-furandicarboxylic acid. J. Appl. Polym. Sci. 2017, 135, 45901. [Google Scholar] [CrossRef]
- Xiong, L.; Ding, E.; Feng, Q.; Tan, Y.; Liu, D.; Yin, C. Preparation and properties of cationic dyeable polycaprolactam. Polym. Mater. Sci. Eng. 2016. [Google Scholar] [CrossRef]
- Huang, J.; Lan, J.; Lin, S.; Li, G.; Gu, L. Synthesis and nonisothermal crystallization kinetics of thermoplastic polyamide-6 elastomers. J. Appl. Polym. Sci. 2019, 136, 47388. [Google Scholar] [CrossRef]
- Yuan, R.; Fan, S.; Wu, D.; Wang, X.; Yu, J.; Chen, L.; Li, F. Facile synthesis of polyamide 6 (PA6)-based thermoplastic elastomers with a well-defined microphase separation structure by melt polymerization. Polym. Chem. 2018, 9, 1327–1336. [Google Scholar] [CrossRef]
- Guaita, C. HPLC analysis of cyclo-oligoamides 6 and 66. Macromol. Chem. Phys. 1984, 185, 459–465. [Google Scholar] [CrossRef]
- Jenke, D.; Poss, M.; Sadain, S.; Story, J.; Smith, W.; Reiber, D. Identification of caprolactam oligomers and related compounds in aqueous extracts of nylon-6. J. Appl. Polym. Sci. 2005, 95, 1262–1274. [Google Scholar] [CrossRef]
- Lian, T.; Li, Y.; Ye, C.; Peng, J.; Huang, Q. Preparation and characterization of graphene reinforced PA6 fiber. J. Appl. Polym. Sci. 2017, 135, 45834. [Google Scholar]
- Gautier, L.; Mortaigne, B.; Bellenger, V.; Verdu, J. Osmotic cracking nucleation in hydrothermal-aged polyester matrix. Polymer 2000, 41, 2481–2490. [Google Scholar] [CrossRef]
- Burgoyne, C.J.; Merii, A.L. On the hydrolytic stability of polyester yarns. J. Mater. Sci. 2007, 42, 2867–2878. [Google Scholar] [CrossRef]
- Schmidt, P.G. Polyethylene terephthalate structural studies. J. Polym. Sci. Part A Gen. Pap. 1963, 1, 1271–1292. [Google Scholar] [CrossRef]
- Alongi, J.; Ciobanu, M.; Tata, J.; Carosio, F.; Malucelli, G. Thermal stability and flame retardancy of polyester, cotton, and relative blend textile fabrics subjected to sol–gel treatments. J. Appl. Polym. Sci. 2010, 119, 1961–1969. [Google Scholar] [CrossRef]
- Macdonald, W.A. New advances in poly(ethylene terephthalate) polymerization and degradation. Polym. Int. 2002, 51, 923–930. [Google Scholar] [CrossRef]
- Pang, K.; Kotek, R.; Tonelli, A. Review of conventional and novel polymerization processes for polyesters. Prog. Polym. Sci. 2006, 31, 1009–1037. [Google Scholar] [CrossRef]
- Alamri, H.; Hadjichristidis, N. One-pot synthesis of well-defined polyether/polyester block co/terpolymers by a highly efficient catalyst-switch approach. Polym. Chem. 2016, 7, 3225–3228. [Google Scholar] [CrossRef]
- García-Gaitán, B.; Pérez-González, M.D.P.; Martínez-Richa, A.; Luna-Bárcenas, G.; Nuño-Donlucas, S.M. Segmented block copolymers of poly(ethylene glycol) and poly(ethylene terephthalate). J. Polym. Sci. Part A Polym. Chem. 2010, 42, 4448–4457. [Google Scholar] [CrossRef]
- Bersot, J.C.; Jacquel, N.; Saint-Loup, R.; Fuertes, P.; Rousseau, A.; Pascault, J.P.; Spitz, R.; Fenouillot, F.; Monteil, V. Efficiency Increase of Poly(ethylene terephthalate- co -isosorbide terephthalate) Synthesis using Bimetallic Catalytic Systems. Macromol. Chem. Phys. 2011, 212, 2114–2120. [Google Scholar] [CrossRef]
- Ubach, J.; Ilarduya, A.M.D.; Quintana, R.; Alla, A.; Muñoz-Guerra, S. Poly(ethylene terephthalate-co-isophthalate) Copolyesters Obtained from Ethylene Terephthalate and Isophthalate Oligomers. J. Appl. Polym. Sci. 2010, 115, 1823–1830. [Google Scholar] [CrossRef]
- Sun, Y.; Zheng, G.; Yang, H.X.; Zhou, L.; Liu, Y.J.; Zhou, C.; Xu, J.Y. Structures and Properties of Modification Copolyester Fiber. Adv. Mater. Res. 2011, 301–303, 104–108. [Google Scholar] [CrossRef]
- Leila, H.; Xiaohua, K.; Narine, S.S. Functional thermoplastics from linear diols and diisocyanates produced entirely from renewable lipid sources. Biomacromolecules 2010, 11, 911–918. [Google Scholar]
- Zhang, Y.; Cheng, K.L.; Zheng, Y.M.; Zhang, Q.L.; Xu, J.-R. The Stereoeffect on the Crystallization Behaviors of the Aromatic Polyamide Oligomers and Their Block Copolymers with Aliphatic Polyamide. Acta Sci. Nat. Univ. Sunyatseni 2004, 43, 47–49. [Google Scholar]
- Niesten, M.C.E.J.; Feijen, J.; Gaymans, R.J. Synthesis and properties of segmented copolymers having aramid units of uniform length. Polymer 2000, 41, 8487–8500. [Google Scholar] [CrossRef]
- Xu, J.R.; Ren, X.K.; Yang, T.; Jiang, X.Q.; Chen, E.Q. Revisiting the Thermal Transition of β-Form Polyamide-6: Evolution of Structure and Morphology in Uniaxially Stretched Films. Macromolecules 2017, 51, 137–150. [Google Scholar] [CrossRef]
- Murthy, N.S.; Aharoni, S.M.; Szollosi, A.B. Stability of the γ form and the development of the α form in nylon 6. J. Polym. Sci. Polym. Phys. Ed. 1985, 23, 2549–2565. [Google Scholar] [CrossRef]
- Fornes, T.D.; Yoon, P.J.; Keskkula, H.; Paul, D.R. Nylon 6 nanocomposites: The effect of matrix molecular weight. Polymer 2001, 42, 9929–9940. [Google Scholar] [CrossRef]
- Peng, L.; Li, J.; Peng, S.; Yi, C.; Jiang, F. The crystal-form transition behaviours and morphology changes in a polyamide 6 cyclic dimer. R. Soc. Open Sci. 2018, 5, 180957. [Google Scholar] [CrossRef]
- Chen, X.; Li, C.; Shao, W.; Du, H.; Burnell-Gray, J. The anti-static poly (ethylene terephthalate) nanocomposite fiber by in situ polymerization: The thermo-mechanical and electrical properties. J. Appl. Polym. Sci. 2007, 105, 1490–1495. [Google Scholar] [CrossRef]
- Herrero, M.; Núñez, K.; Gallego, R.; Merino, J.C.; Pastor, J.M. Sepiolite as replacement of short glass fibre in polyamide composites for injection moulding applications. Appl. Clay Sci. 2018, 162, 129–137. [Google Scholar] [CrossRef]
- Lee, J.; Wan, G.S.; Kim, J.; Yong, S.K.; Yoo, Y.; Moon, J.H.; Sang, G.K.; Jung, H.M. Amide-based oligomers for low-viscosity composites of polyamide 66. Macromol. Res. 2017, 25, 1–7. [Google Scholar] [CrossRef]












| End Groups (mmol/kg) c | MnPrepa6d,e (×103 g mol−1) | |||||||
|---|---|---|---|---|---|---|---|---|
| Sample | [CPL]/ [dicarboxylic acid] a | Tc (°C) b | Tm (°C) b | Esterification Yield (%) | Amino | Carboxyl | Mnd | Mηe |
| PrePA6-2k | 16 | 149.8 | 202.3 | 93.2 | 1.76 | 1192 | 1.8 | 2.0 |
| PrePA6-3k | 24 | 159.9 | 208.9 | 93.7 | 2.08 | 800 | 2.8 | 2.9 |
| PrePA6-4k | 34 | 163.9 | 211.6 | 92.5 | 1.92 | 544 | 3.7 | 3.7 |
| PrePA6-5k | 43 | 166.9 | 214.2 | 91.6 | 1.68 | 448 | 4.8 | 4.7 |
| PrePA6-6k | 52 | 172.0 | 216.5 | 90.9 | 1.92 | 367 | 5.6 | 5.5 |
| PrePA6-b-4k | 34 | 158.3 | 198.1 | 93.1 | 2.04 | 552 | 3.7 | 3.7 |
| Sample | Mna (×103 g mol−1) | PDI (Polymer Dispersity Index) a | Oligomer Content (wt%) |
|---|---|---|---|
| PEA-2k | 1.96 | 2.08 | 2.21 |
| PEA-3k | 1.89 | 2.12 | 2.15 |
| PEA-4k | 2.04 | 2.18 | 2.08 |
| PEA-5k | 2.03 | 2.16 | 1,94 |
| PEA-6k | 2.06 | 2.21 | 1.74 |
| PEA-p-4k | 1.87 | 2.08 | 1.92 |
| PA6 | 1.84 | 1.80 | 8.89 |
| Sample | Tc (°C) a | Tm (°C) a | Xc (%) a | T5% (°C) b | Tmax (°C) b |
|---|---|---|---|---|---|
| PEA-2k | 149.7 | 199.7 | 15.9 | 367.4 | 449.2 |
| PEA-3k | 155.3 | 205.3 | 17.4 | 374.5 | 450.5 |
| PEA-4k | 160.4 | 210.6 | 18.4 | 376 | 452.0 |
| PEA-5k | 161.7 | 212,1 | 19.0 | 375.6 | 454.7 |
| PEA-6k | 166.8 | 214.0 | 19.3 | 380.1 | 456.7 |
| PEA-p-4 | 151.3 | 206.1 | 11.1 | 376.1 | 452.1 |
| PA6 | 168.2 | 222.1 | 23.4 | 402.5 | 460.8 |
© 2019 by the authors. Licensee MDPI, Basel, Switzerland. This article is an open access article distributed under the terms and conditions of the Creative Commons Attribution (CC BY) license (http://creativecommons.org/licenses/by/4.0/).
Share and Cite
Zhang, S.; Zhang, J.; Tang, L.; Huang, J.; Fang, Y.; Ji, P.; Wang, C.; Wang, H. A Novel Synthetic Strategy for Preparing Polyamide 6 (PA6)-Based Polymer with Transesterification. Polymers 2019, 11, 978. https://doi.org/10.3390/polym11060978
Zhang S, Zhang J, Tang L, Huang J, Fang Y, Ji P, Wang C, Wang H. A Novel Synthetic Strategy for Preparing Polyamide 6 (PA6)-Based Polymer with Transesterification. Polymers. 2019; 11(6):978. https://doi.org/10.3390/polym11060978
Chicago/Turabian StyleZhang, Shengming, Jingchun Zhang, Lian Tang, Jiapeng Huang, Yunhua Fang, Peng Ji, Chaosheng Wang, and Huaping Wang. 2019. "A Novel Synthetic Strategy for Preparing Polyamide 6 (PA6)-Based Polymer with Transesterification" Polymers 11, no. 6: 978. https://doi.org/10.3390/polym11060978
APA StyleZhang, S., Zhang, J., Tang, L., Huang, J., Fang, Y., Ji, P., Wang, C., & Wang, H. (2019). A Novel Synthetic Strategy for Preparing Polyamide 6 (PA6)-Based Polymer with Transesterification. Polymers, 11(6), 978. https://doi.org/10.3390/polym11060978
