Effect of Side Chain Length on Polycarboxylate Superplasticizer in Aqueous Solution: A Computational Study
Abstract
1. Introduction
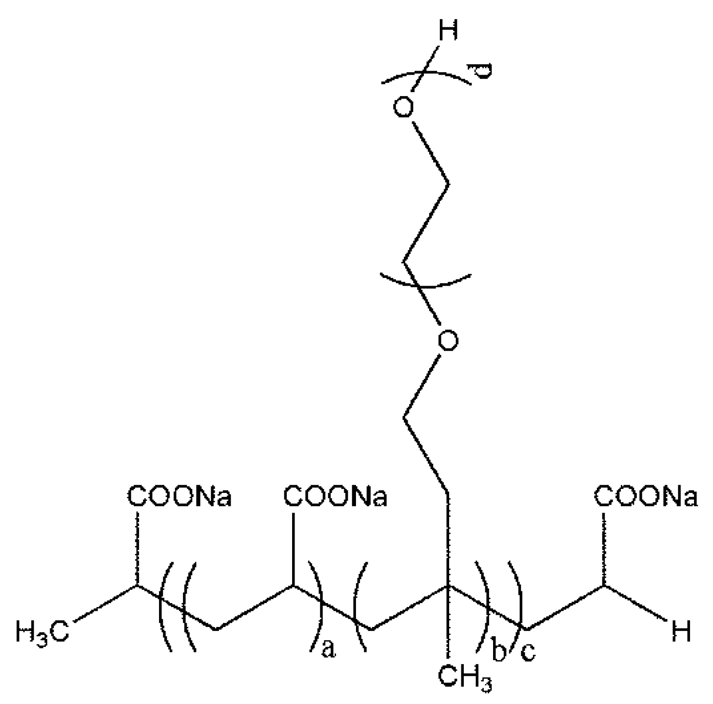
2. Methods
3. Results and Discussion
3.1. The Conformation Properties of PCE Molecules in Water Solution
3.2. The Relationship between PCE and Water Molecules in Aqueous System
3.3. The Probability Distribution of Water Molecules
4. Conclusions
Author Contributions
Acknowledgments
Conflicts of Interest
References
- Uchikawa, H.; Sawaki, D.; Hanehara, S. Influence of Kind and Added Timing of Organic Admixture on the Composition, Structure and Property of Fresh Cement Paste. Cem. Concr. Res. 1995, 25, 353–364. [Google Scholar] [CrossRef]
- Plank, J.; Pöllmann, K.; Zouaoui, N.; Andres, P.R.; Schaefer, C. Synthesis and Performance of Methacrylic Ester Based Polycarboxylate Superplasticizers Possessing Hydroxy Terminated Poly(Ethylene Glycol) Side Chains. Cem. Concr. Res. 2008, 38, 1210–1216. [Google Scholar] [CrossRef]
- Kirby, G.H.; Lewis, J.A. Comb Polymer Architecture Effects on the Rheological Property Evolution of Concentrated Cement Suspensions. J. Am. Ceram. Soc. 2008, 87, 1643–1652. [Google Scholar] [CrossRef]
- Houst, Y.F.; Bowen, P.; Perche, F.; Kauppi, A.; Borget, P.; Galmiche, L.; Le Meins, J.-F.; Lafuma, F.; Flatt, R.J.; Schober, I.; et al. Design and Function of Novel Superplasticizers for More Durable High Performance Concrete (Superplast Project). Cem. Concr. Res. 2008, 38, 1197–1209. [Google Scholar] [CrossRef]
- Alonso, M.M.; Palacios, M.; Puertas, F. Compatibility between Polycarboxylate-Based Admixtures and Blended-Cement Pastes. Cem. Concr. Compos. 2013, 35, 151–162. [Google Scholar] [CrossRef]
- Flatt, R.J.; Roussel, N.; Cheeseman, C.R. Concrete: An Eco Material That Needs to Be Improved. J. Eur. Ceram. Soc. 2012, 32, 2787–2798. [Google Scholar] [CrossRef]
- Habbaba, A.; Lange, A.; Plank, J. Synthesis and Performance of a Modified Polycarboxylate Dispersant for Concrete Possessing Enhanced Cement Compatibility. J. Appl. Polym. Sci. 2012, 129, 346–353. [Google Scholar] [CrossRef]
- Lei, L.; Plank, J. Synthesis and Properties of a Vinyl Ether-Based Polycarboxylate Superplasticizer for Concrete Possessing Clay Tolerance. Ind. Eng. Chem. Res. 2014, 53, 1048–1055. [Google Scholar] [CrossRef]
- Ran, Q.; Somasundaran, P.; Miao, C.; Liu, J.; Wu, S.; Shen, J. Effect of the Length of the Side Chains of Comb-like Copolymer Dispersants on Dispersion and Rheological Properties of Concentrated Cement Suspensions. J. Colloid Interface Sci. 2009, 336, 624–633. [Google Scholar] [CrossRef]
- Shu, X.; Zhao, H.; Wang, X.; Zhang, Q.; Yang, Y.; Ran, Q.; Liu, J. Effect of Hydrophobic Units of Polycarboxylate Superplasticizer on the Flow Behavior of Cement Paste. J. Dispers. Sci. Technol. 2017, 38, 256–264. [Google Scholar] [CrossRef]
- Malferrari, D.; Fermani, S.; Galletti, P.; Goisis, M.; Tagliavini, E.; Falini, G. Shaping Calcite Crystals by Means of Comb Polyelectrolytes Having Neutral Hydrophilic Teeth. Langmuir 2013, 29, 1938–1947. [Google Scholar] [CrossRef]
- Reese, J.; Plank, J. Adsorption of Polyelectrolytes on Calcium Carbonate—Which Thermodynamic Parameters Are Driving This Process? J. Am. Ceram. Soc. 2011, 94, 3515–3522. [Google Scholar] [CrossRef]
- Whitby, C.P.; Scales, P.J.; Grieser, F.; Healy, T.W.; Kirby, G.; Lewis, J.A.; Zukoski, C.F. PAA/PEO Comb Polymer Effects on Rheological Properties and Interparticle Forces in Aqueous Silica Suspensions. J. Colloid Interface Sci. 2003, 262, 274–281. [Google Scholar] [CrossRef]
- Uchikawa, H.; Hanehara, S.; Sawaki, D. The Role of Steric Repulsive Force in the Dispersion of Cement Particles in Fresh Paste Prepared with Organic Admixture. Cem. Concr. Res. 1997, 27, 37–50. [Google Scholar] [CrossRef]
- Yamada, K.; Takahashi, T.; Hanehara, S.; Matsuhisa, M. Effects of the Chemical Structure on the Properties of Polycarboxylate-Type Superplasticizer. Cem. Concr. Res. 2000, 30, 197–207. [Google Scholar] [CrossRef]
- Winnefeld, F.; Becker, S.; Pakusch, J.; Götz, T. Effects of the Molecular Architecture of Comb-Shaped Superplasticizers on Their Performance in Cementitious Systems. Cem. Concr. Compos. 2007, 29, 251–262. [Google Scholar] [CrossRef]
- Chuang, P.-H.; Gu, Q.; Tseng, Y.-H.; Chen, C.-L. Estimation of Electron Transfer Properties of Ferrocenyl-Dicholesteryl-Peptide in Liquid and Gel. J. Colloid Interface Sci. 2014, 417, 310–316. [Google Scholar] [CrossRef]
- Tseng, Y.-H.; Chuang, P.-H.; Huang, Y.-R.; Chen, C.-L. Computational Investigation into the Interactions of Traditional Chinese Medicine Molecules of WenQingYin with GluR2. Int. J. Mol. Sci. 2017, 18, 1443. [Google Scholar] [CrossRef]
- Zhang, P.; Hou, D.; Liu, Q.; Liu, Z.; Yu, J. Water and Chloride Ions Migration in Porous Cementitious Materials: An Experimental and Molecular Dynamics Investigation. Cem. Concr. Res. 2017, 102, 161–174. [Google Scholar] [CrossRef]
- Hirata, T.; Branicio, P.; Ye, J.; Zheng, J.; Tomike, Y.; Lange, A.; Plank, J.; Sullivan, M. Atomistic Dynamics Simulation to Solve Conformation of Model PCE Superplasticisers in Water and Cement Pore Solution. Adv. Cem. Res. 2017, 29, 418–428. [Google Scholar] [CrossRef]
- Zhao, H.; Wang, Y.; Yang, Y.; Shu, X.; Yan, H.; Ran, Q. Effect of Hydrophobic Groups on the Adsorption Conformation of Modified Polycarboxylate Superplasticizer Investigated by Molecular Dynamics Simulation. Appl. Surf. Sci. 2017, 407, 8–15. [Google Scholar] [CrossRef]
- Hirata, T.; Ye, J.; Branicio, P.; Zheng, J.; Lange, A.; Plank, J.; Sullivan, M. Adsorbed Conformations of PCE Superplasticizers in Cement Pore Solution Unraveled by Molecular Dynamics Simulations. Sci. Rep. 2017, 7, 16599. [Google Scholar] [CrossRef]
- Yamada, K.; Ogawa, S.; Hanehara, S. Controlling of the Adsorption and Dispersing Force of Polycarboxylate-Type Superplasticizer by Sulfate Ion Concentration in Aqueous Phase. Cem. Concr. Res. 2001, 31, 375–383. [Google Scholar] [CrossRef]
- Shui, L.; Sun, Z.; Yang, H.; Yang, X.; Ji, Y.; Luo, Q. Experimental Evidence for a Possible Dispersion Mechanism of Polycarboxylate-Type Superplasticisers. Adv. Cem. Res. 2016, 28, 287–297. [Google Scholar] [CrossRef]
- Sun, H. COMPASS: An Ab Initio Force-Field Optimized for Condensed-Phase ApplicationsOverview with Details on Alkane and Benzene Compounds. J. Phys. Chem. B 1998, 102, 7338–7364. [Google Scholar] [CrossRef]
- Darden, T.; York, D.; Pedersen, L. Particle mesh Ewald: An N⋅log(N) method for Ewald sums in large systems. J. Chem. Phys. 1993, 98, 10089. [Google Scholar] [CrossRef]
- Luo, Z.; Jiang, J. PH-Sensitive Drug Loading/Releasing in Amphiphilic Copolymer PAE–PEG: Integrating Molecular Dynamics and Dissipative Particle Dynamics Simulations. J. Control. Release 2012, 162, 185–193. [Google Scholar] [CrossRef]
- Eslami, H.; Karimi-Varzaneh, H.A.; Müller-Plathe, F. Coarse-Grained Computer Simulation of Nanoconfined Polyamide-6,6. Macromolecules 2011, 44, 3117. [Google Scholar] [CrossRef]
- Gelardi, G.; Sanson, N.; Nagy, G.; Flatt, J.R. Characterization of Comb-Shaped Copolymers by Multidetection SEC, DLS and SANS. Polymers 2017, 9, 61. [Google Scholar] [CrossRef]
- Qian, Y.; De Schutter, G. Different Effects of NSF and PCE Superplasticizer on Adsorption, Dynamic Yield Stress and Thixotropy of Cement Pastes. Materials 2018, 11, 695. [Google Scholar] [CrossRef]
- Mark, P.; Nilsson, L. Structure and Dynamics of the TIP3P, SPC, and SPC/E Water Models at 298 K. J. Phys. Chem. A 2001, 105, 9954–9960. [Google Scholar] [CrossRef]
- Pellenq, R.J.-M.; Kushima, A.; Shahsavari, R.; Van Vliet, K.J.; Buehler, M.J.; Yip, S.; Ulm, F.-J. A Realistic Molecular Model of Cement Hydrates. Proc. Natl. Acad. Sci. USA 2009, 106, 16102–16107. [Google Scholar] [CrossRef]







© 2019 by the authors. Licensee MDPI, Basel, Switzerland. This article is an open access article distributed under the terms and conditions of the Creative Commons Attribution (CC BY) license (http://creativecommons.org/licenses/by/4.0/).
Share and Cite
Chuang, P.-H.; Tseng, Y.-H.; Fang, Y.; Gui, M.; Ma, X.; Luo, J. Effect of Side Chain Length on Polycarboxylate Superplasticizer in Aqueous Solution: A Computational Study. Polymers 2019, 11, 346. https://doi.org/10.3390/polym11020346
Chuang P-H, Tseng Y-H, Fang Y, Gui M, Ma X, Luo J. Effect of Side Chain Length on Polycarboxylate Superplasticizer in Aqueous Solution: A Computational Study. Polymers. 2019; 11(2):346. https://doi.org/10.3390/polym11020346
Chicago/Turabian StyleChuang, Po-Hsiang, Yu-Hui Tseng, Yunhui Fang, Miaomiao Gui, Xiuxing Ma, and Jinjing Luo. 2019. "Effect of Side Chain Length on Polycarboxylate Superplasticizer in Aqueous Solution: A Computational Study" Polymers 11, no. 2: 346. https://doi.org/10.3390/polym11020346
APA StyleChuang, P.-H., Tseng, Y.-H., Fang, Y., Gui, M., Ma, X., & Luo, J. (2019). Effect of Side Chain Length on Polycarboxylate Superplasticizer in Aqueous Solution: A Computational Study. Polymers, 11(2), 346. https://doi.org/10.3390/polym11020346
