Recycling Polyethylene-Rich Plastic Waste from Landfill Reclamation: Toward an Enhanced Landfill-Mining Approach
Abstract
1. Introduction
2. Materials and Methods
2.1. Materials
2.2. Processing of LRP-Based Materials
2.3. Techniques
3. Results and Discussion
3.1. Preliminary Analysis of LRP Composition and Properties
3.2. Additivation, Processing and Mechanical Testing
- Polyethylene modified with maleic anhydrideMaleated polyethylene (MAPE), which consists of a PE backbone grafted with polar maleic anhydride groups, whose positive effect on adhesion with inorganic and, in general, hydrophilic fillers is widely recognized [19]. MAPE is employed in PE-based blends and composites to improve the dispersion of different additives and fillers (inorganics, flame retardants, natural fibers) and to increase the interfacial adhesion in such systems [20]. Due to the presence of inorganic and cellulosic contaminants in LRP, MAPE is expected to have a positive impact on mechanical strength and flexibility.
- Ethylene–propylene copolymerEPRs, besides their applications in the rubber industry, are well-known impact modifiers for polymers. They have fairly good miscibility with many polyolefins and have also been employed as interfacial agents in PE/PP blends [21]. Their use is then expected to improve the miscibility of different PE fractions among themselves and, with PP, present in a minor amount, increase the flexibility and resilience of LRP.
- Ethylene-propylene-diene modified with maleic anhydrideMaleated EPDM is mainly used as an impact modifier for engineering plastic formulations, and there are relatively few examples of additive applications for PE-based compounds. In LRP-based materials, EPDM-g-MA could combine the benefits of both adhesion modifier (MAPE) and impact modifier/compatibilizer (EPR) in one product.
3.3. Morphological Analysis
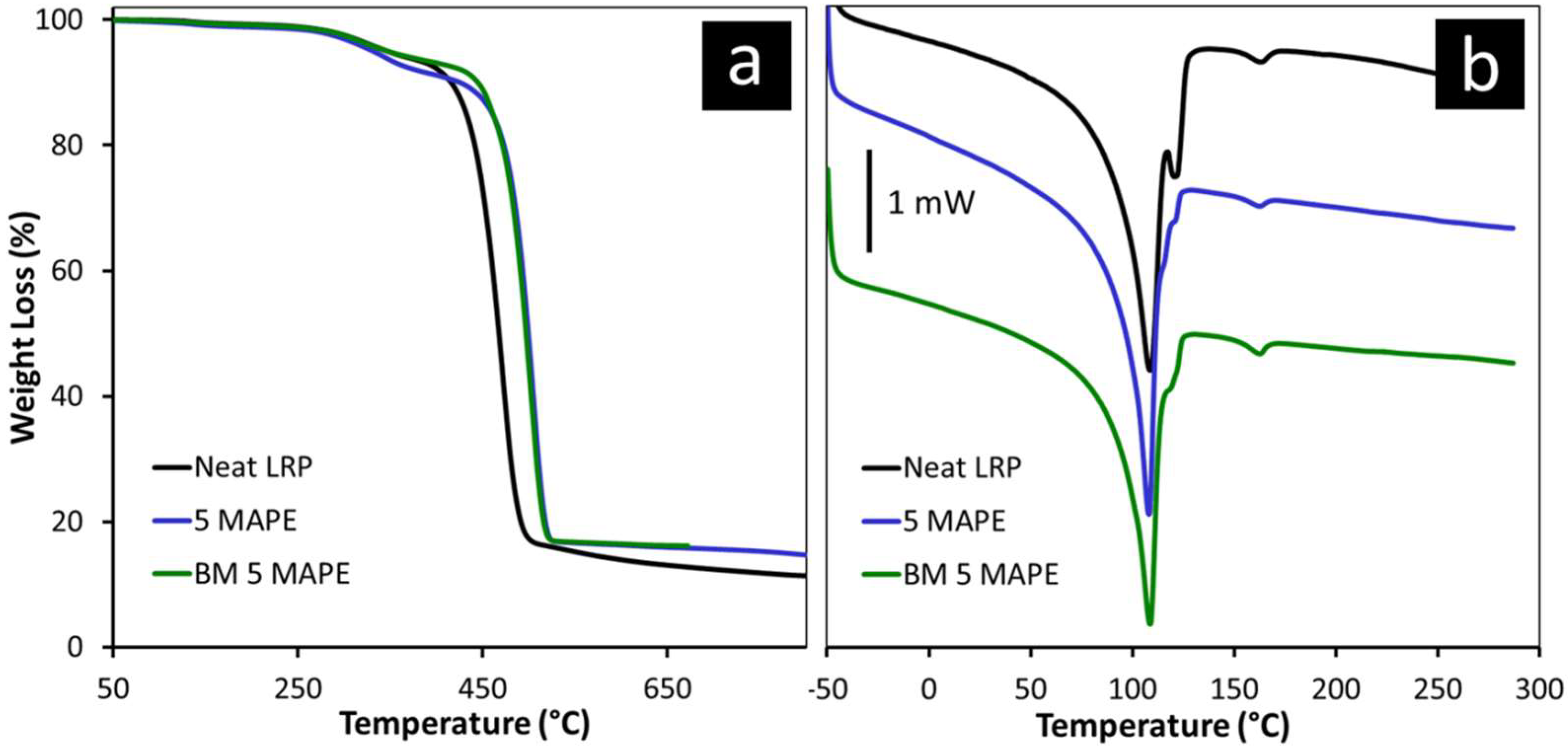
3.4. Thermal Analyses
4. Conclusions
Supplementary Materials
Author Contributions
Funding
Conflicts of Interest
References
- European Council. Directive 1999/31/EC of 26 April 1999 on the Landfill of Waste, Official Journal of the European Communities L 182, 16/07/1999; European Council: Brussels, Belgium, 1999; pp. 1–19. [Google Scholar]
- Krook, J.; Svensson, N.; Eklund, M. Landfill mining: A critical review of two decades of research. Waste Manag. 2012, 32, 513–520. [Google Scholar] [CrossRef] [PubMed]
- Jones, P.T.; Geysen, D.; Tielemans, Y.; Van Passel, S.; Pontikes, Y.; Blanpain, B.; Quaghebeur, M.; Hoekstra, N. Enhanced Landfill Mining in view of multiple resource recovery: A critical review. J. Clean. Prod. 2013, 55, 45–55. [Google Scholar] [CrossRef]
- Quaghebeur, M.; Laenen, B.; Geysen, D.; Nielsen, P.; Pontikes, Y.; Van Gerven, T.; Spooren, J. Characterization of landfilled materials: Screening of the enhanced landfill mining potential. J. Clean. Prod. 2013, 55, 72–83. [Google Scholar] [CrossRef]
- Kaartinen, T.; Sormunen, K.; Rintala, J. Case study on sampling, processing and characterization of landfilled municipal solid waste in the view of landfill mining. J. Clean. Prod. 2013, 55, 56–66. [Google Scholar] [CrossRef]
- European Parliament and Council Directive 94/62/EC of 20 December 1994 on Packaging and Packaging Waste Official Journal of the European Communities L 365, 31/12/1994; European Council: Brussels, Belgium, 1994; pp. 10–23.
- Canopoli, L.; Fidalgo, B.; Coulon, F.; Wagland, S.T. Physico-chemical properties of excavated plastic from landfill mining and current recycling routes. Waste Manag. 2018, 76, 55–67. [Google Scholar] [CrossRef] [PubMed]
- Hull, R.M.; Krogmann, U.; Strom, P.F. Composition and characteristics of excavated materials from a New Jersey landfill. J. Environ. Eng. 2005, 131, 478–490. [Google Scholar] [CrossRef]
- Kaiser, K.; Schmid, M.; Schlummer, M. Recycling of polymer-based multilayer packaging: A review. Recycling 2018, 3, 1. [Google Scholar] [CrossRef]
- Zhou, C.; Fang, W.; Xu, W.; Cao, A.; Wang, R. Characteristics and the recovery potential of plastic wastes obtained from landfill mining. J. Clean. Prod. 2014, 80, 80–86. [Google Scholar] [CrossRef]
- Schwarzböck, T.; Van Eygen, E.; Rechberger, H.; Fellner, J. Determining the amount of waste plastics in the feed of Austrian waste-to-energy facilities. Waste Manag. Res. 2016, 35, 207–216. [Google Scholar] [CrossRef]
- Danthurebandara, M.; Van Passel, S.; Vanderreydt, I.; Van Acker, K. Assessment of environmental and economic feasibility of enhanced landfill mining. Waste Manag. 2014, 45, 434–447. [Google Scholar] [CrossRef]
- Maris, J.; Bourdon, S.; Brossard, J.M.; Cauret, L.; Fontaine, L.; Montembault, V. Mechanical recycling: Compatibilization of mixed thermoplastic wastes. Polym. Degrad. Stab. 2018, 147, 245–266. [Google Scholar] [CrossRef]
- Delogu, F.; Gorrasi, G.; Sorrentino, A. Fabrication of polymer nanocomposites via ball milling: Present status and future perspectives. Progr. Mater. Sci. 2017, 86, 75–126. [Google Scholar] [CrossRef]
- Bonadies, I.; Avella, M.; Avolio, R.; Carfagna, C.; Gentile, G.; Immirzi, B.; Errico, M.E. Probing the effect of high energy ball milling on PVC through a multitechnique approach. Polym. Test. 2012, 31, 176–181. [Google Scholar] [CrossRef]
- Wang, M.; Bernard, G.M.; Wasylishen, R.E.; Choi, P. A solid-state 13C NMR investigation of the morphology of single-site and Ziegler-Natta linear low-density polyethylenes with varying branch contents. Macromolecules 2007, 40, 6594–6599. [Google Scholar] [CrossRef]
- Fricova, O.; Uhrínová, M.; Hronsky, V.; Kovalaková, M.; Olcak, D.; Chodák, I.; Spevácek, J. High-resolution solid-state NMR study of isotactic Polypropylenes. Express Polym. Lett. 2012, 6, 204–212. [Google Scholar] [CrossRef]
- Anene, A.F.; Fredriksen, S.B.; Sætre, K.A.; Tokheim, L.A. Experimental study of thermal and catalytic pyrolysis of plastic waste components. Sustainability 2018, 10, 3979. [Google Scholar] [CrossRef]
- Avolio, R.; Gentile, G.; Avella, M.; Carfagna, C.; Errico, M.E. Polymer-filler interactions in PET/CaCO3 nanocomposites: Chain ordering at the interface and physical properties. Eur. Polym. J. 2013, 49, 419–427. [Google Scholar] [CrossRef]
- Avella, M.; Avolio, R.; Bonadies, I.; Carfagna, C.; Errico, M.E.; Gentile, G. Recycled multilayer cartons as cellulose source in HDPE-based composites: Compatibilization and structure-properties relationships. J. App. Polym. Sci. 2009, 114, 2978–2985. [Google Scholar] [CrossRef]
- Radonjič, G.; Gubeljak, N. The use of ethylene/propylene copolymers as compatibilizers for recycled polyolefin blends. Macromol. Mater. Eng. 2002, 287, 122–132. [Google Scholar] [CrossRef]
- Lei, Y.; Wu, Q.; Zhang, Q. Morphology and properties of microfibrillar composites based on recycled poly(ethylene terephthalate) and high density polyethylene. Compos. Part A-Appl. Sci. Manuf. 2009, 40, 904–912. [Google Scholar] [CrossRef]
- Kabdi, S.-A.; Belhaneche-Bensemra, N. Compatibilization of regenerated low density polyethylene/poly(vinyl chloride) blends. J. Appl. Polym. Sci. 2008, 110, 1750–1755. [Google Scholar] [CrossRef]
- Oksman, H.K.; Clemons, C. Mechanical properties and morphology of impact modified polypropylene- wood flour composites. J. Appl. Polym. Sci. 1998, 67, 1503–1513. [Google Scholar] [CrossRef]
- Avella, M.; Cocca, M.; Errico, M.E.; Gentile, G. Polyvinyl alcohol biodegradable foams containing cellulose fibres. J. Cell. Plast. 2012, 48, 459–470. [Google Scholar] [CrossRef]
- Gentile, G.; Cocca, M.; Avolio, R.; Errico, M.E.; Avella, M. Effect of microfibrillated cellulose on microstructure and properties of poly(vinyl alcohol) foams. Polymers 2018, 10, 813. [Google Scholar] [CrossRef]
- Avolio, R.; Graziano, V.; Pereira, Y.D.F.; Cocca, M.; Gentile, G.; Errico, M.E.; Ambrogi, V.; Avella, M. Effect of cellulose structure and morphology on the properties of poly(butylene succinate-co-butylene adipate) biocomposites. Carbohydr. Polym. 2015, 133, 408–420. [Google Scholar] [CrossRef] [PubMed]
- Cocca, M.; Avolio, R.; Gentile, G.; Di Pace, E.; Errico, M.E.; Avella, M. Amorphized cellulose as filler in biocomposites based on poly(ε-caprolactone). Carbohydr. Polym. 2015, 118, 170–182. [Google Scholar] [CrossRef] [PubMed]
- Avolio, R.; Castaldo, R.; Avella, M.; Cocca, M.; Gentile, G.; Fiori, S.; Errico, M.E. PLA-based plasticized nanocomposites: Effect of polymer/plasticizer/filler interactions on the time evolution of properties. Compos. Part B Eng. 2018, 152, 267–274. [Google Scholar] [CrossRef]
- Avella, M.; Avolio, R.; Bonadies, I.; Carfagna, C.; Errico, M.E.; Gentile, G. Effect of compatibilization on thermal degradation kinetics of HDPE-based composites containing cellulose reinforcements. J. Therm. Anal. Calorim. 2010, 102, 975–982. [Google Scholar] [CrossRef]
- Dorigato, A.; Pegoretti, A.; Frache, A. Thermal stability of high density polyethylene-fumed silica nanocomposites. J. Therm. Anal. Calorim. 2012, 109, 863–873. [Google Scholar] [CrossRef]
- Wang, Y.; Chen, F.B.; Li, Y.C.; Wu, K.C. Melt processing of polypropylene/clay nanocomposites modified with maleated polypropylene compatibilizers. Compos. Part B Eng. 2004, 35, 111–124. [Google Scholar] [CrossRef]
- Turku, I.; Keskisaari, A.; Kärki, T.; Puurtinen, A.; Marttila, P. Characterization of wood plastic composites manufactured from recycled plastic blends. Compos. Struct. 2017, 161, 469–476. [Google Scholar] [CrossRef]
- Liu, C.; Wang, J.; He, J. Rheological and thermal properties of m-LLDPE blends with m-HDPE and LDPE. Polymer 2002, 43, 3811–3818. [Google Scholar] [CrossRef]
- Catto, A.L.; Stefani, B.V.; Ribeiro, V.F.; Santana, R.M.C. Influence of coupling agent in compatibility of post-consumer HDPE in thermoplastic composites reinforced with eucalyptus fiber. Mater. Res. Ibero-Am. J. 2014, 17, 203–209. [Google Scholar] [CrossRef]





| Code | Additive | E (MPa) | σmax (MPa) | εR (%) | R (kJ/m2) |
|---|---|---|---|---|---|
| Neat LRP | - | 280 ± 15 | 8.6 ± 0.4 | 11 ± 2 | 7.4 ± 0.5 |
| 2.5 EPR | EPR 2.5% | 188 ± 7 | 8.1 ± 0.2 | 19 ± 5 | 9.5 ± 0.7 |
| 5 EPR | EPR 5% | 150 ± 10 | 7.4 ± 0.2 | 24 ± 5 | 15 ± 4 |
| 2.5 EPDM | EPDM-g-MA 2.5% | 151 ± 7 | 7.6 ± 0.4 | 17 ± 4 | 15 ± 2 |
| 5 EPDM | EPDM-g-MA 5% | 130 ± 14 | 6.6 ± 0.9 | 14 ± 2 | 18 ± 1 |
| 2.5 MAPE | MAPE 2.5% | 259 ± 9 | 10.4 ± 0.5 | 19 ± 4 | 8.9 ± 0.7 |
| 5 MAPE | MAPE 5% | 188 ± 4 | 9.9 ± 0.4 | 23 ± 9 | 11.1 ± 0.9 |
| 10 MAPE | MAPE 10% | 198 ± 7 | 9.7 ± 0.3 | 25 ± 9 | 14.7 ± 0.9 |
| BM LRP | - | 273 ± 8 | 10.4 ± 0.1 | 26 ± 6 | 4.9 ± 0.4 |
| BM 2.5 MAPE | MAPE 2.5% | 202 ± 7 | 9.8 ± 0.1 | 47 ± 4 | 9.5 ± 0.3 |
| BM 5 MAPE | MAPE 5% | 221 ± 9 | 10.3 ± 0.4 | 45 ± 5 | 11.2 ± 0.8 |
© 2019 by the authors. Licensee MDPI, Basel, Switzerland. This article is an open access article distributed under the terms and conditions of the Creative Commons Attribution (CC BY) license (http://creativecommons.org/licenses/by/4.0/).
Share and Cite
Avolio, R.; Spina, F.; Gentile, G.; Cocca, M.; Avella, M.; Carfagna, C.; Tealdo, G.; Errico, M.E. Recycling Polyethylene-Rich Plastic Waste from Landfill Reclamation: Toward an Enhanced Landfill-Mining Approach. Polymers 2019, 11, 208. https://doi.org/10.3390/polym11020208
Avolio R, Spina F, Gentile G, Cocca M, Avella M, Carfagna C, Tealdo G, Errico ME. Recycling Polyethylene-Rich Plastic Waste from Landfill Reclamation: Toward an Enhanced Landfill-Mining Approach. Polymers. 2019; 11(2):208. https://doi.org/10.3390/polym11020208
Chicago/Turabian StyleAvolio, Roberto, Francesco Spina, Gennaro Gentile, Mariacristina Cocca, Maurizio Avella, Cosimo Carfagna, Gianluigi Tealdo, and Maria Emanuela Errico. 2019. "Recycling Polyethylene-Rich Plastic Waste from Landfill Reclamation: Toward an Enhanced Landfill-Mining Approach" Polymers 11, no. 2: 208. https://doi.org/10.3390/polym11020208
APA StyleAvolio, R., Spina, F., Gentile, G., Cocca, M., Avella, M., Carfagna, C., Tealdo, G., & Errico, M. E. (2019). Recycling Polyethylene-Rich Plastic Waste from Landfill Reclamation: Toward an Enhanced Landfill-Mining Approach. Polymers, 11(2), 208. https://doi.org/10.3390/polym11020208

