Lignocellulose@ Activated Clay Nanocomposite with Hierarchical Nanostructure Enhancing the Removal of Aqueous Zn(II)
Abstract
1. Introduction
2. Experiments
2.1. Materials
2.2. Ln@AC Preparation
2.3. Adsorption Studies
2.4. Desorption and Regeneration Studies
2.5. Characterization
3. Results and Discussion
3.1. Properties of the Ln@AC (lignocellulose@activated clay) Nanocomposite
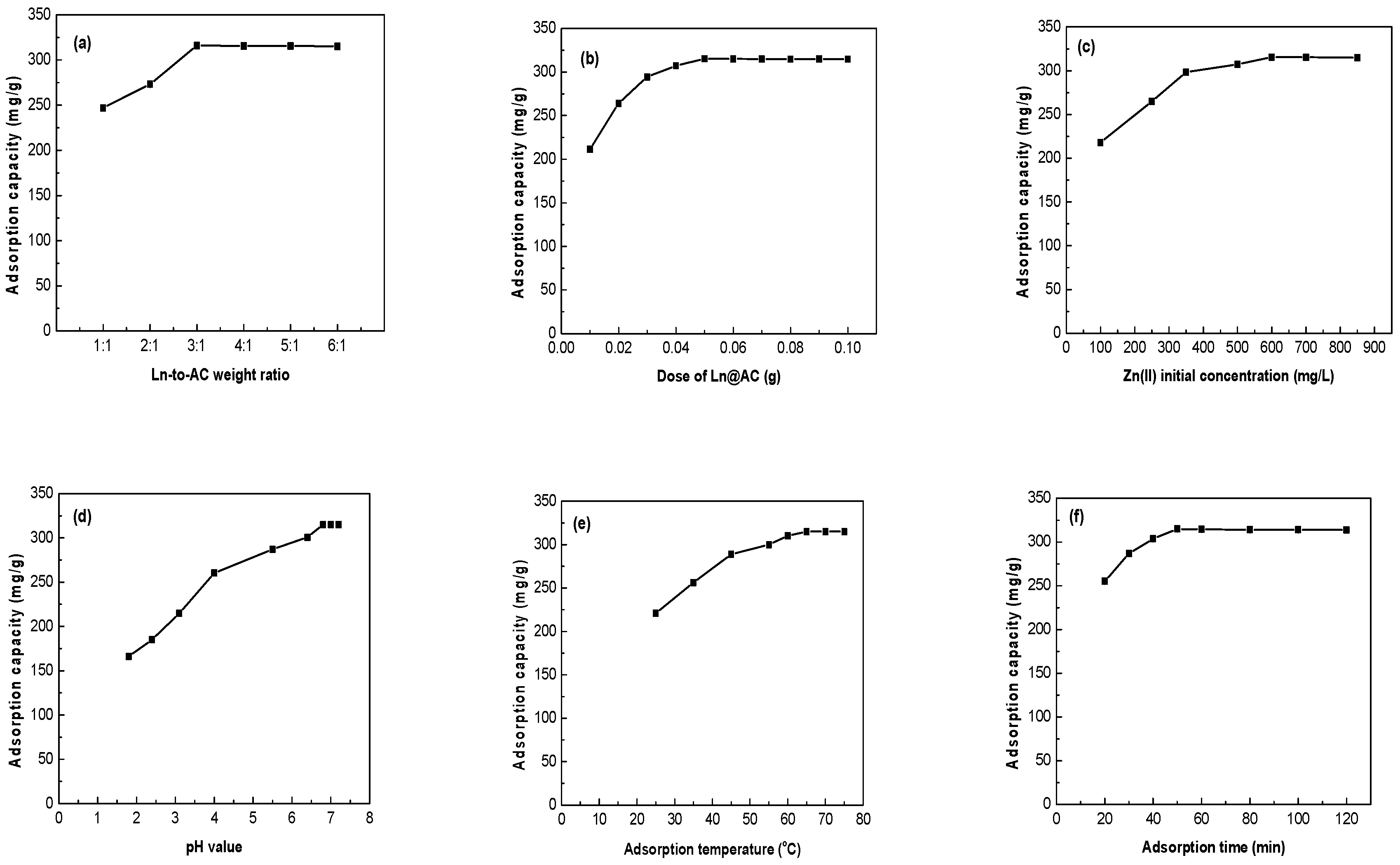
3.2. Influencing Factors on Zn(II) Adsorption
3.2.1. Effect of Weight Ratio of Ln (Lignocellulose) to AC (Activated Clay)
3.2.2. Effect of Adsorbent Dosage
3.2.3. Effect of Initial Zn(II) Concentration
3.2.4. Effect of pH Value
3.2.5. Effect of Adsorption Temperature
3.2.6. Effect of Adsorption Time
3.3. Adsorption Kinetics
3.3.1. Pseudo-First-Order Model
3.3.2. Pseudo-Second-Order Model
3.3.3. Elovich Kinetic Model
3.3.4. Intraparticle Diffusion Model
3.4. Adsorption Isotherms
3.4.1. Langmuir Isotherm Model
3.4.2. Freundlich Isotherm Model
3.4.3. Temkin Isotherm Model
3.4.4. Dubinin–Radushkevich Isotherm Model
3.5. Desorption and Regeneration
3.6. SEM/EDX (Scanning Electron Microscopy/Energy Dispersive X-Ray Spectroscopy) Analysis
4. Conclusions
Author Contributions
Funding
Conflicts of Interest
References
- Wang, F.; Pan, Y.; Cai, P.; Guo, T.; Xiao, H. Single and binary adsorption of heavy metal ions from aqueous solutions using sugarcane cellulose-based adsorbent. Bioresour. Technol. 2017, 241, 482–490. [Google Scholar] [CrossRef] [PubMed]
- Li, Z.; Ge, Y. Application of Lignin and Its Derivatives in Adsorption of Heavy Metal Ions in Water: A Review. ACS Sustain. Chem. Eng. 2018, 6, 7181–7192. [Google Scholar] [CrossRef]
- Mahmoud, M.; Amira, M.; Soliman, S.; Mohamed, A. Adsorption Isotherm Models, Kinetics Study, and Thermodynamic Parameters of Ni(II) and Zn(II) Removal from Water Using the LbL Technique. J. Chem. Eng. Data 2017, 62, 839–850. [Google Scholar] [CrossRef]
- Kampalanonwat, P.; Supaphol, P. Preparation and adsorption behavior of aminated electrospun polyacrylonitrile nanofiber mats for heavy metal ion removal. ACS Appl. Mater. Inter. 2010, 2, 3619–3627. [Google Scholar] [CrossRef] [PubMed]
- Tohdee, K.; Kaewsichan, L.; Asadullah. Enhancement of adsorption efficiency of heavy metal Cu(II) and Zn(II) onto cationic surfactant modified bentonite. J. Environ. Chem. Eng. 2018, 6, 2821–2828. [Google Scholar] [CrossRef]
- Qi, S.; Wei, W.; Li, Y.; Song, H.; Zheng, X.; Zhong, J.; Yan, L.; Yi, H. Separation and recovery of heavy metals from concentrated smelting wastewater by synergistic solvent extraction using a mixture of 2-hydroxy-5-nonylacetophenone oxime and bis(2,4,4-trimethylpentyl) -phosphinic acid. Solvent Extr. Ion Exch. 2018, 36, 1–16. [Google Scholar] [CrossRef]
- Roman, M.; Isabel, O.; Eugenio, B.; Raquel, L.; Inmaculada, O. Membrane selective recovery of HCl, zinc and iron from simulated mining effluents. Desalination 2018, 440, 78–87. [Google Scholar] [CrossRef]
- Gogoi, H.; Leiviska, T.; Heiderscheidt, E.; Postila, H.; Tanskanen, J. Removal of metals from industrial wastewater and urban runoff by mineral and bio-based sorbents. J. Environ. Manag. 2018, 209, 316–327. [Google Scholar] [CrossRef]
- Astrini, N.; Anah, L.; Haryadi, R. Adsorption of Heavy Metal Ion from Aqueous Solution by Using Cellulose Based Hydrogel Composite. Macromol. Symp. 2015, 353, 191–197. [Google Scholar] [CrossRef]
- Yang, Q.; Yang, G.; Peng, W.; Song, S. Adsorption of Zn(II) on graphene oxide prepared from low-purity of amorphous graphite. Surf. Interface Anal. 2017, 49, 398–404. [Google Scholar] [CrossRef]
- Dula, T.; Siraj, K.; Kitte, S.A. Kinetic and Thermodynamic Study of Pb(II) and Zn(II) Ions Adsorption on Activated Carbon Prepared from Waste of Savannah Bamboo. J. Environ. Manag. 2015, 7, 205–212. [Google Scholar] [CrossRef]
- Qu, Y.L.; Xiong, W.; Xu, Y.F.; Kun, X.; Yang, Q.; Yu, Q.D.; Li, W.N. Removal of trace Cu(II) from aquatic condiment using sulfhydryl lignin. Adv. Mater. Res. 2012, 554–556, 1979–1983. [Google Scholar] [CrossRef]
- Zou, C.; Jiang, W.; Liang, J.; Sun, X.; Guan, Y. Removal of Pb(II) from aqueous solutions by adsorption on magnetic bentonite. Environ. Sci. Pollut. Res. 2018, 26, 1315–1322. [Google Scholar] [CrossRef] [PubMed]
- Leodopoulos, C.; Doulia, D.; Gimouhopoulos, K. Study on adsorption behavior of humic acid on acidified montmorillonite: Kinetic and equilibrium modeling, comparison of linear and non-linear methods. Fresenius Environ. Bull. 2013, 22, 228–235. [Google Scholar]
- Zhang, X.T.; Wang, X.M. Adsorption and desorption of nickel(II) ions from aqueous solution by a lignocellulose/montmorillonite nanocomposite. PLoS ONE 2015, 10, e0117077. [Google Scholar] [CrossRef] [PubMed]
- Xiao, Z.; Li, L.; Xi, W.; Yu, A. A Material for Adsorption of Heavy Metal Wastewater and the Preparation Method. Patent No. 201610825174.0, 7 June 2019. [Google Scholar]
- Peng, Y.; Li, J. Ammonia adsorption on graphene and graphene oxide: A first-principles study. Front. Environ. Sci. Eng. 2013, 7, 403–411. [Google Scholar] [CrossRef]
- Huang, X.; Pan, M. The highly efficient adsorption of Pb(II) on graphene oxides: A process combined by batch experiments and modeling techniques. J. Mol. Liq. 2016, 215, 410–416. [Google Scholar] [CrossRef]
- Oladipo, A.A.; Gazi, M. Uptake of Ni2+ and rhodamine B by nano-hydroxyapatite/alginate composite beads: Batch and continuous-flow systems. Toxicol. Environ. Chem. 2015, 98, 333–336. [Google Scholar] [CrossRef]
- Qi, Y.; Yang, M.; Xu, W.; He, S.; Men, Y. Natural polyaccharides-modified graphene oxide for adsorption of organic dyes from aqueous solutions. J. Colloid Interface Sci. 2017, 486, 84–96. [Google Scholar] [CrossRef] [PubMed]
- Somayeh, A.; Hassan, Z.M.; Alireza, A. Investigation of heavy metal ions adsorption by magnetically modified aloe vera leaves ash based on equilibrium, kinetic and thermodynamic studies. Desalin. Water Treat. 2016, 57, 13747–13759. [Google Scholar] [CrossRef]
- Shinde, N.R.; Bankar, A.V.; Kumar, A.R.; Zinjarde, S.S. Removal of Ni (II) ions from aqueous solutions by biosorption onto two strains of Yarrowia lipolytica. J. Environ. Manag. 2012, 102, 115–124. [Google Scholar] [CrossRef] [PubMed]
- Guo, S.; Jiao, P.; Dan, Z.; Duan, N.; Chen, G.; Zhang, J. Preparation of L-arginine modified magnetics adsorbent by one-step method for removal of Zn(II) and Cd(II) from aqueous solution. Chem. Eng. J. 2017, 317, 999–1011. [Google Scholar] [CrossRef]
- Wan, S.; He, F.; Wu, J.; Wan, W.; Gu, Y.; Gao, B. Rapid and highly selective removal of lead from water using graphene oxide-hydrated manganese oxide nanocomposites. J. Hazard. Mater. 2016, 314, 32–40. [Google Scholar] [CrossRef] [PubMed]
- Simonin, J.P. On the comparison of pseudo-first order and pseudo-second order rate laws in the modeling of adsorption kinetics. Chem. Eng. J. 2016, 300, 254–263. [Google Scholar] [CrossRef]
- Nahid, G.; Maryam, G.; Saleh, M.; Parisa, G.; Njud, A.; Vinod, G.; Shilpi, A.; Irina, B.; Alexey, T. Zn (II) removal by amino-functionalized magnetic nanoparticles: Kinetics, isotherm, and thermodynamic aspects of adsorption. J. Ind. Eng. Chem. 2018, 62, 302–310. [Google Scholar] [CrossRef]
- Jafari, K.A.; Baghdadi, M.; Pardakhti, A. Removal of cadmium and lead from aqueous solutions by magnetic acid-treated activated carbon nanocomposite. Desalin. Water Treat. 2016, 57, 18782–18798. [Google Scholar] [CrossRef]
- Zi, Z.; Da, F.; Quan, M. Adsorption Characteristics of Bisphenol A from Aqueous Solution onto HDTMAB-Modified Palygorskite. Sep. Sci. Technol. 2014, 49, 81–89. [Google Scholar] [CrossRef]
- Hachoumi, I.; Benkaddour, S.; Ouahabi, I.; Slimani, R.; Cagnon, B.; Haddad, M.; Antri, S. Ensis Siliqua Shell for Removal of Cu(II), Zn(II) and Ni(II) from Aqueous Solutions: Kinetics and Isotherm Model. Anal. Lett. 2019, 9, 50–63. [Google Scholar] [CrossRef]
- Judith, S.; Raul, O.; Maria, M.; Robert, R.; Araceli, A.; Nahum, C. Walnut shell treated with citric acid and its application as biosorbent in the removal of Zn(II). J. Water Process. Eng. 2018, 25, 45–53. [Google Scholar] [CrossRef]
- Simonin, J.P.; Ramos, J.; Torres-Arenas, J. Diffusion coupling in multiply associating electrolyte solution. J. Mol. Liq. 2016, 215, 69–76. [Google Scholar] [CrossRef]
- Yong, S.K.; Bolan, N.; Lombi, E.; Skinner, W. Synthesis and characterization of thiolated chitosan beads for removal of Cu(II) and Cd(II) from wastewater. Water Air Soil. Pollut. 2013, 224, 1720–1731. [Google Scholar] [CrossRef]
- Min, P.; Guang, W.; Chang, L.; Xin, L.; Xiao, H. Enhanced Adsorption of Zn(II) onto Graphene Oxides Investigated Using Batch and Modeling Techniques. Nanomaterials 2018, 8, 806. [Google Scholar] [CrossRef]
- Zhan, W.; Xu, C.; Qian, G.; Huang, G.; Tang, X.; Lin, B. Adsorption of Cu(ii), Zn(ii), and Pb(ii) from aqueous single and binary metal solutions by regenerated cellulose and sodium alginate chemically modified with polyethyleneimine. RSC Adv. 2018, 8, 18723–18733. [Google Scholar] [CrossRef]
- Guo, S.; Dan, Z.; Duan, N.; Chen, G.; Gao, W.; Zhao, W. Zn(II), Pb(II), and Cd(II) adsorption from aqueous solution by magnetic silica gel: Preparation, characterization, and adsorption. Environ. Sci. Pollut. Res. 2018, 25, 30938–30948. [Google Scholar] [CrossRef] [PubMed]
- Xiao, Z.; Yi, H.; Xi, W.; Zhang, C. Rapid Removal of Zinc(II) from Aqueous Solutions Using a Mesoporous Activated Carbon Prepared from Agricultural Waste. Materials 2017, 10, 1002. [Google Scholar] [CrossRef]
- Kumar, K.; Barakat, M.; Daza, Y.; Woodcock, H.; Kuhn, J. EDTA functionalized silica for removal of Cu(II), Zn(II) and Ni(II) from aqueous solution. J. Colloid Interface Sci. 2013, 408, 200–205. [Google Scholar] [CrossRef] [PubMed]
- Guo, S.; Duan, N.; Dan, Z.; Chen, G.; Shi, F.; Gao, W. g-C3N4 modified magnetic Fe3O4 adsorbent: Preparation, characterization, and performance of Zn(II), Pb(II) and Cd(II) removal from aqueous solution. J. Mol. Liq. 2018, 258, 225–234. [Google Scholar] [CrossRef]
- Li, M.; Li, M.; Feng, C.; Zeng, Q. Preparation and characterization of multi-carboxyl-functionalized silica gel for removal of Cu (II), Cd (II), Ni (II) and Zn (II) from aqueous solution. Appl. Surf. Sci. 2014, 314, 1063–1069. [Google Scholar] [CrossRef]
- Radzyminska, L.; Witt, K. Sorption of Cu(II), Zn(II) and Pb(II) Ions in an Aqueous Solution on the PVC-Acetylacetone Composites. Polymers 2019, 11, 513. [Google Scholar] [CrossRef]
- Yusoff, S.; Kamari, A.; Putra, W.; Najiah, S.; Ishak, C.; Mohamed, A.; Hashim, N.; Isa, I. Biosorption of Cu(II), Pb(II) and Zn(II) Ions from Aqueous Solutions Using Selected Waste Materials: Adsorption and Characterisation Studies. J. Encapsul. Adsorp. Sci. 2014, 4, 25–35. [Google Scholar] [CrossRef]
- Zhang, Y.; Luo, C.; Wang, H.; Han, L.; Wang, C.; Jie, X.M.; Chen, Y. Modified adsorbent hydroxypropyl cellulose xanthate for removal of Cu2+ and Ni2+ from aqueous solution. Desalin. Water Treat. 2016, 57, 27419–27431. [Google Scholar] [CrossRef]
- Zhao, J.; Liu, J.; Li, N.; Wang, W.; Nan, J.; Zhao, Z.W.; Cui, F.Y. Highly efficient removal of bivalent heavy metals from aqueous systems by magnetic porous Fe3O4 -MnO2: Adsorption behavior and process study. Chem. Eng. J. 2016, 304, 737–746. [Google Scholar] [CrossRef]
- Liu, Y.; Liu, F.F.; Meng, M.J.; Liu, Z.C.; Ni, L.; Zhong, G.X. Synthesis of a Ni(II) ion imprinted polymer based on macroporous-mesoporous silica with enhanced dynamic adsorption capacity: Optimization by response surface methodology. New J. Chem. 2016, 40, 3821–3832. [Google Scholar] [CrossRef]










| Sample | SBET (m2/g) | Sext (m2/g) | Sext/SBET (%) | Vtot (cm3/g) | Vmeso (cm3/g) | Vmic (cm3/g) | Vmac (cm3/g) | Vmeso/Vtot (%) | Dp (nm) | Zeta Potential (mV) |
|---|---|---|---|---|---|---|---|---|---|---|
| AC | 279.14 | 98.81 | 35.40 | 0.944 | 0.325 | 0.152 | 0.448 | 34.43 | 80.23 | −17.69 |
| Ln@AC | 611.23 | 489.07 | 80.01 | 3.645 | 2.047 | 0.566 | 0.981 | 56.16 | 54.09 | −30.17 |
| Metal | Parameter | Pseudo-First-Order | Pseudo-Second-Order | Elovich Model | Intraparticle Diffusion | ||||
|---|---|---|---|---|---|---|---|---|---|
| Zn(II) | R2 | 0.7074 | 0.9863 | 0.9304 | 0.8747 | ||||
| Constants | k1 | 0.0066 min−1 | k2 | 0.0810 g(mg/min)−1 | α | 22.06 mg/(g min) | ki | 8.053 mg/(g min0.5) | |
| qe | 194.3 mg/g | qe | 318.7 mg/g | β | 0.051 g/mg | ||||
| Metal | Parameter | Langmuir | Freundlich | Temkin | Dubinin–Radushkevich | ||||
|---|---|---|---|---|---|---|---|---|---|
| Zn(II) | R2 | 0.9994 | 0.9228 | 0.9332 | 0.7994 | ||||
| Constants | KL | 0.022 L/mg | Kf | 84.05 mg(1−1/n)L(1/n)g | bt | 37.08 J/mol | B | 7.052 × 10−8 mol2 J2 | |
| RL | 0.134 | ||||||||
| ε | 14.50 kJ/mol | ||||||||
| qmax | 313.8 mg/g | 1/n | 0.41 | at | 4.751×108 L/g | qmax | 180.4 g/mg | ||
| Adsorbent | qmax (mg/g) | Reference |
|---|---|---|
| Ln@AC nanocomposite | 315.90 | This paper |
| Graphene oxides | 208.33 | [33] |
| Polyethyleneimine crosslinked cellulose/sodium alginate | 110.2 | [34] |
| Fe3O4–Si–COOH | 110 | [35] |
| XSBL activated carbon | 103.82 | [36] |
| EDTA–silica | 74.07 | [37] |
| Fe3O4 and g–C3N4 | 45 | [38] |
| Multicarboxyl-functionalized silica gel | 39.96 | [39] |
| PVC-acetylacetone composites | 26.65 | [40] |
| Coconut tree sawdust | 23.81 | [41] |
| Recycle Time. | 1st | 2nd | 3rd | 4th | 5th | 6th |
|---|---|---|---|---|---|---|
| Adsorption qe (mg/g) | 315.9 | 269.8 | 211.0 | 154.3 | 78.1 | 60.1 |
| Desorption qe (mg/g) | 202.5 | 127.3 | 84.0 | 37.1 | 11.2 | 4.9 |
| Desorption efficiency (%) | 64.10 | 47.18 | 39.81 | 24.04 | 14.34 | 8.15 |
© 2019 by the authors. Licensee MDPI, Basel, Switzerland. This article is an open access article distributed under the terms and conditions of the Creative Commons Attribution (CC BY) license (http://creativecommons.org/licenses/by/4.0/).
Share and Cite
Zhang, X.; Hao, Y.; Chen, Z.; An, Y.; Zhang, W.; Wang, X. Lignocellulose@ Activated Clay Nanocomposite with Hierarchical Nanostructure Enhancing the Removal of Aqueous Zn(II). Polymers 2019, 11, 1710. https://doi.org/10.3390/polym11101710
Zhang X, Hao Y, Chen Z, An Y, Zhang W, Wang X. Lignocellulose@ Activated Clay Nanocomposite with Hierarchical Nanostructure Enhancing the Removal of Aqueous Zn(II). Polymers. 2019; 11(10):1710. https://doi.org/10.3390/polym11101710
Chicago/Turabian StyleZhang, Xiaotao, Yinan Hao, Zhangjing Chen, Yuhong An, Wanqi Zhang, and Ximing Wang. 2019. "Lignocellulose@ Activated Clay Nanocomposite with Hierarchical Nanostructure Enhancing the Removal of Aqueous Zn(II)" Polymers 11, no. 10: 1710. https://doi.org/10.3390/polym11101710
APA StyleZhang, X., Hao, Y., Chen, Z., An, Y., Zhang, W., & Wang, X. (2019). Lignocellulose@ Activated Clay Nanocomposite with Hierarchical Nanostructure Enhancing the Removal of Aqueous Zn(II). Polymers, 11(10), 1710. https://doi.org/10.3390/polym11101710

