Carbon Loaded Nano-Designed Spherically High Symmetric Lithium Iron Orthosilicate Cathode Materials for Lithium Secondary Batteries
Abstract
:1. Introduction
2. Materials and Methods
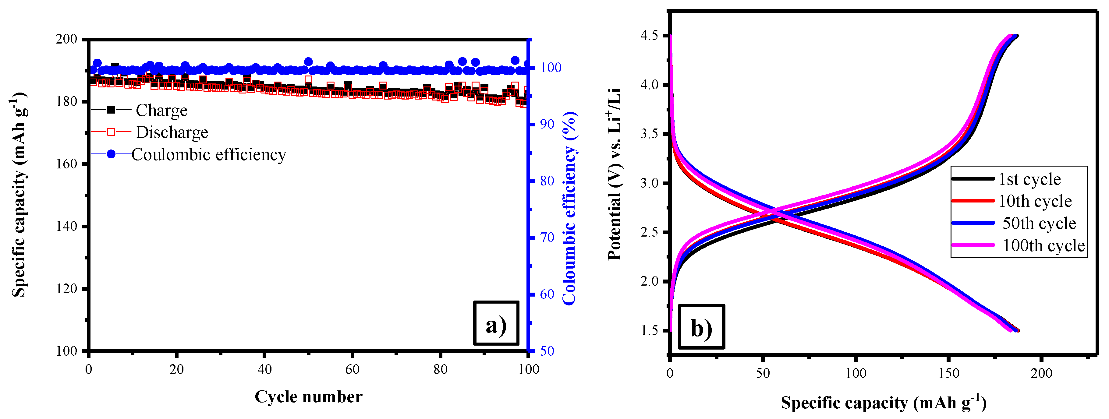
3. Results
4. Conclusions
Author Contributions
Funding
Acknowledgments
Conflicts of Interest
References
- Sun, Y.; Lee, H.-W.; Seh, Z.W.; Zheng, G.; Sun, J.; Li, Y.; Cui, Y. Lithium Sulfide/Metal Nanocomposite as a High-Capacity Cathode Prelithiation Material. Adv. Energy Mater. 2016, 6. [Google Scholar] [CrossRef]
- Sun, Y.; Lee, H.-W.; Zheng, G.; Seh, Z.W.; Sun, J.; Li, Y.; Cui, Y. In Situ Chemical Synthesis of Lithium Fluoride/Metal Nanocomposite for High Capacity Prelithiation of Cathodes. Nano Lett. 2016, 16, 1497–1501. [Google Scholar] [CrossRef] [PubMed]
- Sun, Y.; Lee, H.-W.; Seh, Z.W.; Liu, N.; Sun, J.; Li, Y.; Cui, Y. High-capacity battery cathode prelithiation to offset initial lithium loss. Nat. Energy 2016, 1, 15008. [Google Scholar] [CrossRef]
- Sun, Y.; Seh, Z.W.; Li, W.; Yao, H.; Zheng, G.; Cui, Y. In-operando optical imaging of temporal and spatial distribution of polysulfides in lithium-sulfur batteries. Nano Energy 2015, 11, 579–586. [Google Scholar] [CrossRef]
- Zhou, G.; Tian, H.; Jin, Y.; Tao, X.; Liu, B.; Zhang, R.; Seh, Z.W.; Zhuo, D.; Liu, Y.; Sun, J.; et al. Catalytic oxidation of Li2S on the surface of metal sulfides for Li−S batteries. Proc. Natl. Acad. Sci. USA 2017, 114, 840–845. [Google Scholar] [CrossRef] [PubMed]
- Seh, Z.W.; Sun, Y.; Zhang, Q.; Cui, Y. Designing high-energy lithium–sulfur batteries. Chem. Soc. Rev. 2016, 45, 5605–5634. [Google Scholar] [CrossRef]
- Gummow, R.; He, Y. Recent progress in the development of Li2MnSiO4 cathode materials. J. Power Sources 2014, 253, 315–331. [Google Scholar]
- Sengottaiyan, C.; Jayavel, R.; Bairi, P.; Shrestha, R.G.; Ariga, K.; Shrestha, L.K. Cobalt oxide/reduced graphene oxide composite with enhanced electrochemical supercapacitance performance. Bull. Chem. Soc. Jpn. 2017, 90, 955–962. [Google Scholar] [CrossRef]
- Abe, H.; Liu, J.; Ariga, K. Catalytic nanoarchitectonics for environmentally compatible energy generation. Mater. Today 2016, 19, 12–18. [Google Scholar] [CrossRef]
- Gür, T.M. Review of electrical energy storage technologies, materials and systems: Challenges and prospects for large-scale grid storage. Energy Environ. Sci. 2018, 11, 2696–2767. [Google Scholar] [CrossRef]
- Lu, L.; Han, X.; Li, J.; Hua, J.; Ouyang, M. A review on the key issues for lithium-ion battery management in electric vehicles. J. Power Sources 2013, 226, 272–288. [Google Scholar] [CrossRef]
- Dhanalakshmi, R.; Diwakar, K.; Rajkumar, P.; Subadevi, R.; Liu, W.-R.; Sivakumar, M. Structural and Morphological Studies on Li2Fe0.5Mn0.5SiO4/C Composite Synthesized Using Polyvinyl Alcohol for Energy Storage Devices. J. Nanosci. Nanotechnol. 2018, 18, 296–300. [Google Scholar] [CrossRef] [PubMed]
- Rajkumar, P.; Diwakar, K.; Subadevi, R.; Gnanamuthu, R.; Sivakumar, M. Sulfur cloaked with different carbonaceous materials for high performance lithium sulfur batteries. Curr. Appl. Phys. 2019, 19, 902–909. [Google Scholar] [CrossRef]
- Cheng, T.; Ma, Z.; Gu, R.; Chen, R.; Lyu, Y.; Nie, A.; Guo, B. Cracks formation in lithium-rich cathode materials for lithium-ion batteries during the electrochemical process. Energies 2018, 11, 2712. [Google Scholar] [CrossRef]
- Fan, Y.; Yang, Z.; Hua, W.; Liu, D.; Tao, T.; Rahman, M.M.; Lei, W.; Huang, S.; Chen, Y. Lithium-Sulfur Batteries: Functionalized Boron Nitride Nanosheets/Graphene Interlayer for Fast and Long-Life Lithium–Sulfur Batteries (Adv. Energy Mater. 13/2017). Adv. Energy Mater. 2017, 7. [Google Scholar] [CrossRef]
- Luo, W.; Shen, F.; Bommier, C.; Zhu, H.; Ji, X.; Hu, L. Na-ion battery anodes: Materials and electrochemistry. Acc. Chem. Res. 2016, 49, 231–240. [Google Scholar] [CrossRef] [PubMed]
- Jian, Z.; Luo, W.; Ji, X. Carbon electrodes for K-ion batteries. J. Am. Chem. Soc. 2015, 137, 11566–11569. [Google Scholar] [CrossRef] [PubMed]
- Levi, E.; Levi, M.; Chasid, O.; Aurbach, D. A review on the problems of the solid state ions diffusion in cathodes for rechargeable Mg batteries. J. Electroceram. 2009, 22, 13–19. [Google Scholar] [CrossRef]
- Subadevi, R.; Sivakumar, M.; Rajendran, S.; Wu, H.-C.; Wu, N.-L. Development and characterizations of PVdF-PEMA gel polymer electrolytes. Ionics 2012, 18, 283–289. [Google Scholar] [CrossRef]
- Karuppasamy, K.; Reddy, P.A.; Srinivas, G.; Tewari, A.; Sharma, R.; Shajan, X.S.; Gupta, D. Electrochemical and cycling performances of novel nonafluorobutanesulfonate (nonaflate) ionic liquid based ternary gel polymer electrolyte membranes for rechargeable lithium ion batteries. J. Membr. Sci. 2016, 514, 350–357. [Google Scholar] [CrossRef]
- Chen, L.; Fiore, M.; Wang, J.E.; Ruffo, R.; Kim, D.K.; Longoni, G. Readiness Level of Sodium-Ion Battery Technology: A Materials Review. Adv. Sustain. Syst. 2018, 2, 1700153. [Google Scholar]
- Nichelson, A.; Karthickprabhu, S.; Karuppasamy, K.; Hirankumar, G.; Sahaya Shajan, X. A Brief Review on Integrated (Layered and Spinel) and Olivine Nanostructured Cathode Materials for Lithium Ion Battery Applications. Mater. Focus 2016, 5, 324–334. [Google Scholar] [CrossRef]
- Schipper, F.; Nayak, P.; Erickson, E.; Amalraj, S.; Srur-Lavi, O.; Penki, T.; Talianker, M.; Grinblat, J.; Sclar, H.; Breuer, O. Study of cathode materials for lithium-ion batteries: Recent progress and new challenges. Inorganics 2017, 5, 32. [Google Scholar] [CrossRef]
- Sun, Y.; Zheng, G.; Seh, Z.W.; Liu, N.; Wang, S.; Sun, J.; Lee, H.R..; Cui, Y. Graphite-Encapsulated Li-Metal Hybrid Anodes for High-Capacity Li Batteries. Chem 2016, 1, 287–297. [Google Scholar] [CrossRef]
- Karuppasamy, K.; Reddy, P.A.; Srinivas, G.; Sharma, R.; Tewari, A.; Kumar, G.H.; Gupta, D. An efficient way to achieve high ionic conductivity and electrochemical stability of safer nonaflate anion-based ionic liquid gel polymer electrolytes (ILGPEs) for rechargeable lithium ion batteries. J. Solid State Electrochem. 2017, 21, 1145–1155. [Google Scholar] [CrossRef]
- Wang, L.; Chen, B.; Ma, J.; Cui, G.; Chen, L. Reviving lithium cobalt oxide-based lithium secondary batteries-toward a higher energy density. Chem. Soc. Rev. 2018, 47, 6505–6602. [Google Scholar] [CrossRef]
- Karuppasamy, K.; Kim, H.-S.; Kim, D.; Vikraman, D.; Prasanna, K.; Kathalingam, A.; Sharma, R.; Rhee, H.W. An enhanced electrochemical and cycling properties of novel boronic Ionic liquid based ternary gel polymer electrolytes for rechargeable Li/LiCoO2 cells. Sci. Rep. 2017, 7, 11103. [Google Scholar] [CrossRef]
- Yang, S.; Schmidt, D.; Khetan, A.; Schrader, F.; Jakobi, S.; Homberger, M.; Noyong, M.; Paulus, A.; Kungl, H.; Eichel, R.-A. Electrochemical and electronic charge transport properties of Ni-doped LiMn2O4 spinel obtained from polyol-mediated synthesis. Materials 2018, 11, 806. [Google Scholar]
- Li, J.; Ma, Z.-F. Past and Present of LiFePO4: From Fundamental Research to Industrial Applications. Chem 2019, 5, 3–6. [Google Scholar] [CrossRef]
- Tian, M.; Hu, L.; Huang, Z.; Li, M.; Yang, J.; Wang, Z.; Li, J.; Lin, X.; Mu, S. Tri-phase (1-x-y) Li2FeSiO4·xLiFeBO3·yLiFePO4 nested nanostructure with enhanced Li-storage properties. Chem. Eng. J. 2019, 358, 786–793. [Google Scholar] [CrossRef]
- Nytén, A.; Abouimrane, A.; Armand, M.; Gustafsson, T.; Thomas, J.O. Electrochemical performance of Li2FeSiO4 as a new Li-battery cathode material. Electrochem. Commun. 2005, 7, 156–160. [Google Scholar] [CrossRef]
- Dominko, R.; Bele, M.; Kokalj, A.; Gaberscek, M.; Jamnik, J. Li2MnSiO4 as a potential Li-battery cathode material. J. Power Sources 2007, 174, 457–461. [Google Scholar] [CrossRef]
- Zeng, Y.; Chiu, H.-C.; Rasool, M.; Brodusch, N.; Gauvin, R.; Jiang, D.-T.; Ryan, D.H.; Zaghib, K.; Demopoulos, G.P. Hydrothermal crystallization of Pmn21 Li2FeSiO4 hollow mesocrystals for Li-ion cathode application. Chem. Eng. J. 2019, 359, 1592–1602. [Google Scholar] [CrossRef]
- Deng, C.; Zhang, S.; Fu, B.; Yang, S.; Ma, L. Characterization of Li2MnSiO4 and Li2FeSiO4 cathode materials synthesized via a citric acid assisted sol–gel method. Mater. Chem. Phys. 2010, 120, 14–17. [Google Scholar] [CrossRef]
- Dong, Y.; Zhang, W.-L.; Wang, C.-M.; Shi, T.; Chen, L. Synthesis of La-doped Li2MnSiO4 nano-particle with high-capacity via polyol-assisted hydrothermal method. Electrochim. Acta 2015, 166, 40–46. [Google Scholar] [CrossRef]
- Sasaki, H.; Nemoto, A.; Miyahara, M.; Katayama, S.; Akimoto, Y.; Nakajima, A.; Hirano, S.-I. Synthesis of Li2FeSiO4 nanoparticles/carbon composite for cathode materials by spray pyrolysis method. J. Ceram. Soc. Jpn. 2016, 124, 963–966. [Google Scholar] [CrossRef]
- Kempaiah, D.M.; Rangappa, D.; Honma, I. Controlled synthesis of nanocrystalline Li2MnSiO4 particles for high capacity cathode application in lithium-ion batteries. Chem. Commun. 2012, 48, 2698–2700. [Google Scholar] [CrossRef]
- Kumar, A.; Jayakumar, O.; Naik, V.M.; Nazri, G.; Naik, R. Improved electrochemical properties of solvothermally synthesized Li2FeSiO4/C nanocomposites: A comparison between solvothermal and sol-gel methods. Solid State Ion. 2016, 294, 15–20. [Google Scholar] [CrossRef]
- Du, X.; Zhao, H.; Lu, Y.; Gao, C.; Xia, Q.; Zhang, Z. Electrochemical properties of nanostructured Li2FeSiO4/C synthesized by a simple coprecipitation method. Electrochim. Acta 2016, 188, 744–751. [Google Scholar] [CrossRef]
- Ni, J.; Jiang, Y.; Bi, X.; Li, L.; Lu, J. Lithium Iron Orthosilicate Cathode: Progress and Perspectives. Acs Energy Lett. 2017, 2, 1771–1781. [Google Scholar] [CrossRef]
- Wei, H.; Lu, X.; Chiu, H.-C.; Wei, B.; Gauvin, R.; Arthur, Z.; Emond, V.; Jiang, D.-T.; Zaghib, K.; Demopoulos, G.P. Ethylenediamine-Enabled Sustainable Synthesis of Mesoporous Nanostructured Li2FeIISiO4 Particles from Fe(III) Aqueous Solution for Li-Ion Battery Application. Acs Sustain. Chem. Eng. 2018, 6, 7458–7467. [Google Scholar] [CrossRef]
- Gao, H.; Wang, L.; Zhang, Y.; Song, Y. Effects of solvent composition on the electrochemical performance of Li2FeSiO4/C cathode materials synthesized via tartaric-acid-assisted sol–gel method. Ionics 2014, 20, 817–823. [Google Scholar] [CrossRef]
- Yang, J.; Kang, X.; He, D.; Peng, T.; Hu, L.; Mu, S. Hierarchical shuttle-like Li2FeSiO4 as a highly efficient cathode material for lithium-ion batteries. J. Power Sources 2013, 242, 171–178. [Google Scholar] [CrossRef]
- Muruganantham, R.; Sivakumar, M.; Subadevi, R.; Ramaprabhu, S.; Wu, N.-L. Studies on graphene enfolded olivine composite electrode material via polyol technique for high rate performance lithium-ion batteries. Electron. Mater. Lett. 2015, 11, 841–852. [Google Scholar] [CrossRef]
- Ren, B.; Xu, Y.; Yan, Y.; Yang, R.; Wang, J. Synthesis and electrochemical performance of spherical-like Li2FeSiO4/C/SP cathode material for lithium-ion batteries. J. Alloy. Compd. 2015, 633, 456–462. [Google Scholar] [CrossRef]
- Sirisopanaporn, C.; Masquelier, C.; Bruce, P.G.; Armstrong, A.R.; Dominko, R. Dependence of Li2FeSiO4 electrochemistry on structure. J. Am. Chem. Soc. 2010, 133, 1263–1265. [Google Scholar] [CrossRef]
- Cruz, D.; Bulbulian, S. Synthesis of Li4SiO4 by a Modified Combustion Method. J. Am. Ceram. Soc. 2005, 88, 1720–1724. [Google Scholar] [CrossRef]
- Priyanka, V.; Savithiri, G.; Subadevi, R.; Suryanarayanan, V.; Sivakumar, M. Physicochemical exfoliation of graphene sheets using graphitic carbon nitride. New J. Chem. 2019. [Google Scholar] [CrossRef]
- Zhang, L.-L.; Sun, H.-B.; Yang, X.-L.; Wen, Y.-W.; Huang, Y.-H.; Li, M.; Peng, G.; Tao, H.-C.; Ni, S.-B.; Liang, G. Study on electrochemical performance and mechanism of V-doped Li2FeSiO4 cathode material for Li-ion batteries. Electrochim. Acta 2015, 152, 496–504. [Google Scholar] [CrossRef]
- Srivastava, M.; Alla, S.; Meena, S.; Gupta, N.; Mandal, R.K.; Prasad, N. ZnxFe3−xO4 (0.01 ≤ x ≤ 0.8) nanoparticles for controlled magnetic hyperthermia application. New J. Chem. 2018, 42. [Google Scholar] [CrossRef]
- Menapace, I.; Yiming, W.; Masad, E. Chemical analysis of surface and bulk of asphalt binders aged with accelerated weathering tester and standard aging methods. Fuel 2017, 202, 366–379. [Google Scholar] [CrossRef]
- Zhang, Z.; Liu, X.; Wang, L.; Wu, Y.; Zhao, H.; Chen, B. Synthesis of Li2FeSiO4/C nanocomposite via a hydrothermal-assisted sol–gel process. Solid State Ion. 2015, 276, 33–39. [Google Scholar] [CrossRef]
- Vellaisamy, M.; Nallathamby, K. Li2Ni0.5Mn0.5SnO4/C: A Novel Hybrid Composite Electrode for High Rate Applications. Inorg. Chem. 2015, 54, 8590–8597. [Google Scholar] [CrossRef] [PubMed]
- Lu, X.; Wei, H.; Chiu, H.-C.; Gauvin, R.; Hovington, P.; Guerfi, A.; Zaghib, K.; Demopoulos, G.P. Rate-dependent phase transitions in Li2FeSiO4 cathode nanocrystals. Sci. Rep. 2015, 5, 8599. [Google Scholar] [CrossRef] [PubMed]
- Ding, Z.; Liu, J.; Ji, R.; Zeng, X.; Yang, S.; Pan, A.; Ivey, D.; Wei, W. Three-dimensionally ordered macroporous Li2FeSiO4/C composite as a high performance cathode for advanced lithium ion batteries. J. Power Sources 2016, 329, 297–304. [Google Scholar] [CrossRef]
- Fujita, Y.; Iwase, H.; Shida, K.; Liao, J.; Fukui, T.; Matsuda, M. Synthesis of high-performance Li2FeSiO4/C composite powder by spray-freezing/freeze-drying a solution with two carbon sources. J. Power Sources 2017, 361, 115–121. [Google Scholar] [CrossRef]
- Zhang, Q.; Yan, C.; Guo, J.; Wang, X. Mesoporous Li2FeSiO4/C nanocomposites with enhanced performance synthesized from fumed nano silica. Ionics 2018, 24, 2555–2563. [Google Scholar] [CrossRef]
- Kumar, A.; Jayakumar, O.D.; Jagannath; Bashiri, P.; Nazri, G.A.; Naik, V.M.; Naik, R. Mg doped Li2FeSiO4/C nanocomposites synthesized by the solvothermal method for lithium ion batteries. Dalton Trans. 2017, 46, 12908–12915. [Google Scholar] [CrossRef]
- Xu, Y.; Shen, W.; Zhang, A.; Liu, H.; Ma, Z. Template-free hydrothermal synthesis of Li2FeSiO4 hollow spheres as cathode materials for lithium-ion batteries. J. Mater. Chem. A 2014, 2, 12982–12990. [Google Scholar] [CrossRef]
- Thayumanasundaram, S.; Rangasamy, V.S.; Seo, J.W.; Locquet, J.-P. A combined approach: Polyol synthesis of nanocrystalline Li2FeSiO4, doping multi-walled carbon nanotubes, and ionic liquid electrolyte to enhance cathode performance in Li-ion batteries. Electrochim. Acta 2017, 258, 1044–1052. [Google Scholar] [CrossRef]
- Mani, V.; Suresh babu, G.N.; Kalaiselvi, N. Sn-Fe5(PO4)4(OH)3·2H2O/graphene: A new electrode for superior rate applications in Li/Na ion batteries. J. Power Sources 2018, 395, 31–40. [Google Scholar] [CrossRef]
- Li, L.; Han, E.; Dou, L.; Zhu, L.; Mi, C.; Li, M.; Niu, J. Enhanced Electrochemical performance of Li2FeSiO4/C as cathode for lithium-ion batteries via metal doping at Fe-site. Solid State Ion. 2018, 325, 30–42. [Google Scholar] [CrossRef]
- Vajeeston, P.; Bianchini, F.; Fjellvåg, H. First-Principles Study of the Structural Stability and Dynamic Properties of Li2MSiO4 (M = Mn, Co, Ni) Polymorphs. Energies 2019, 12, 224. [Google Scholar] [CrossRef]









© 2019 by the authors. Licensee MDPI, Basel, Switzerland. This article is an open access article distributed under the terms and conditions of the Creative Commons Attribution (CC BY) license (http://creativecommons.org/licenses/by/4.0/).
Share and Cite
Karuppiah, D.; Palanisamy, R.; Rengapillai, S.; Liu, W.-R.; Huang, C.-H.; Marimuthu, S. Carbon Loaded Nano-Designed Spherically High Symmetric Lithium Iron Orthosilicate Cathode Materials for Lithium Secondary Batteries. Polymers 2019, 11, 1703. https://doi.org/10.3390/polym11101703
Karuppiah D, Palanisamy R, Rengapillai S, Liu W-R, Huang C-H, Marimuthu S. Carbon Loaded Nano-Designed Spherically High Symmetric Lithium Iron Orthosilicate Cathode Materials for Lithium Secondary Batteries. Polymers. 2019; 11(10):1703. https://doi.org/10.3390/polym11101703
Chicago/Turabian StyleKaruppiah, Diwakar, Rajkumar Palanisamy, Subadevi Rengapillai, Wei-Ren Liu, Chia-Hung Huang, and Sivakumar Marimuthu. 2019. "Carbon Loaded Nano-Designed Spherically High Symmetric Lithium Iron Orthosilicate Cathode Materials for Lithium Secondary Batteries" Polymers 11, no. 10: 1703. https://doi.org/10.3390/polym11101703
APA StyleKaruppiah, D., Palanisamy, R., Rengapillai, S., Liu, W.-R., Huang, C.-H., & Marimuthu, S. (2019). Carbon Loaded Nano-Designed Spherically High Symmetric Lithium Iron Orthosilicate Cathode Materials for Lithium Secondary Batteries. Polymers, 11(10), 1703. https://doi.org/10.3390/polym11101703

