The Thermoviscosifying Behavior of Water-Soluble Polymer Based on Graft Polymerization of Pluronic F127 with Acrylamide and 2-Acrylamido-2-methylpropane Sulfonic Acid Sodium Salt
Abstract
1. Introduction
2. Materials and Methods
2.1. Materials
2.2. Synthesis of Polymers
2.3. Characteristics
3. Results and Discussion
3.1. Molecular Structure of Prepared Polymers
3.1.1. FT-IR
3.1.2. 1H NMR Spectra
3.1.3. 13C NMR Spectra
3.1.4. SLS Results
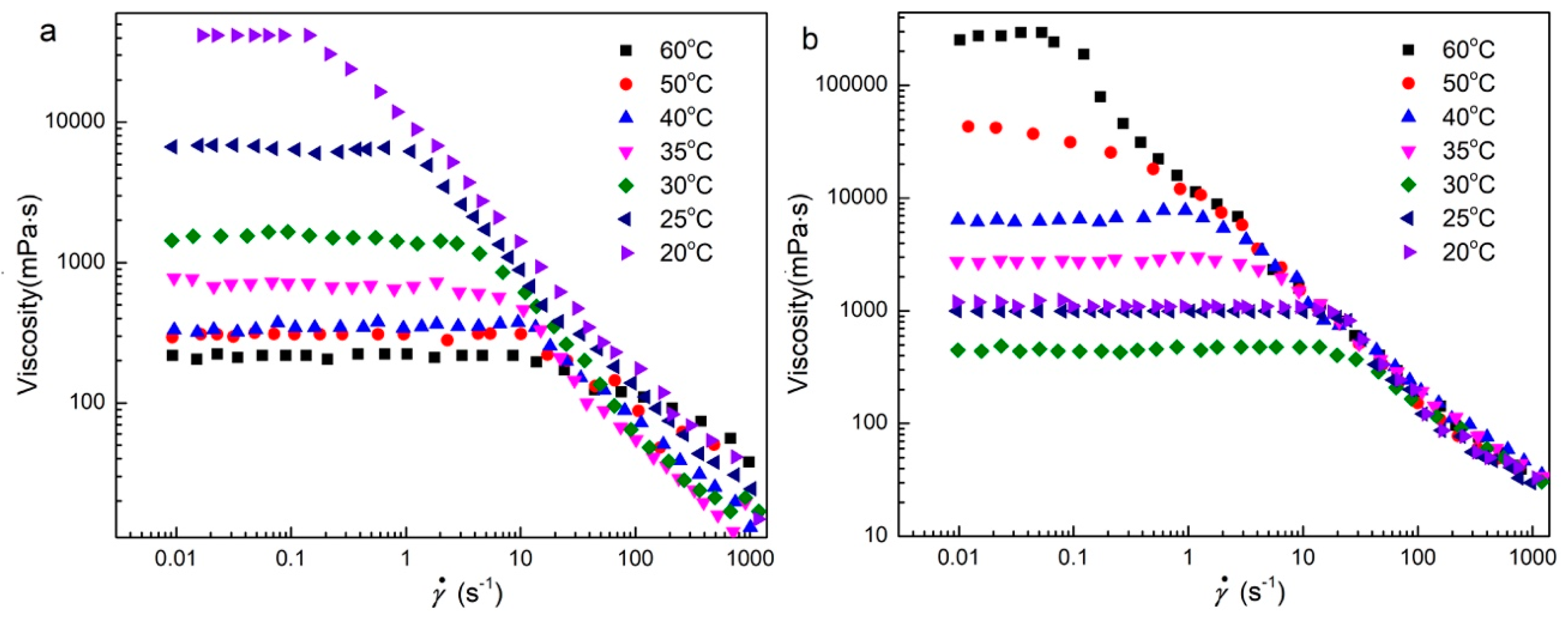
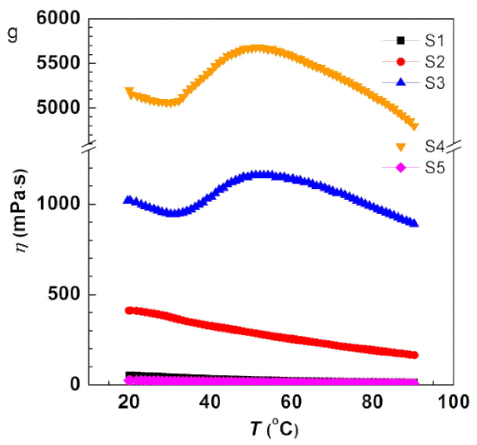
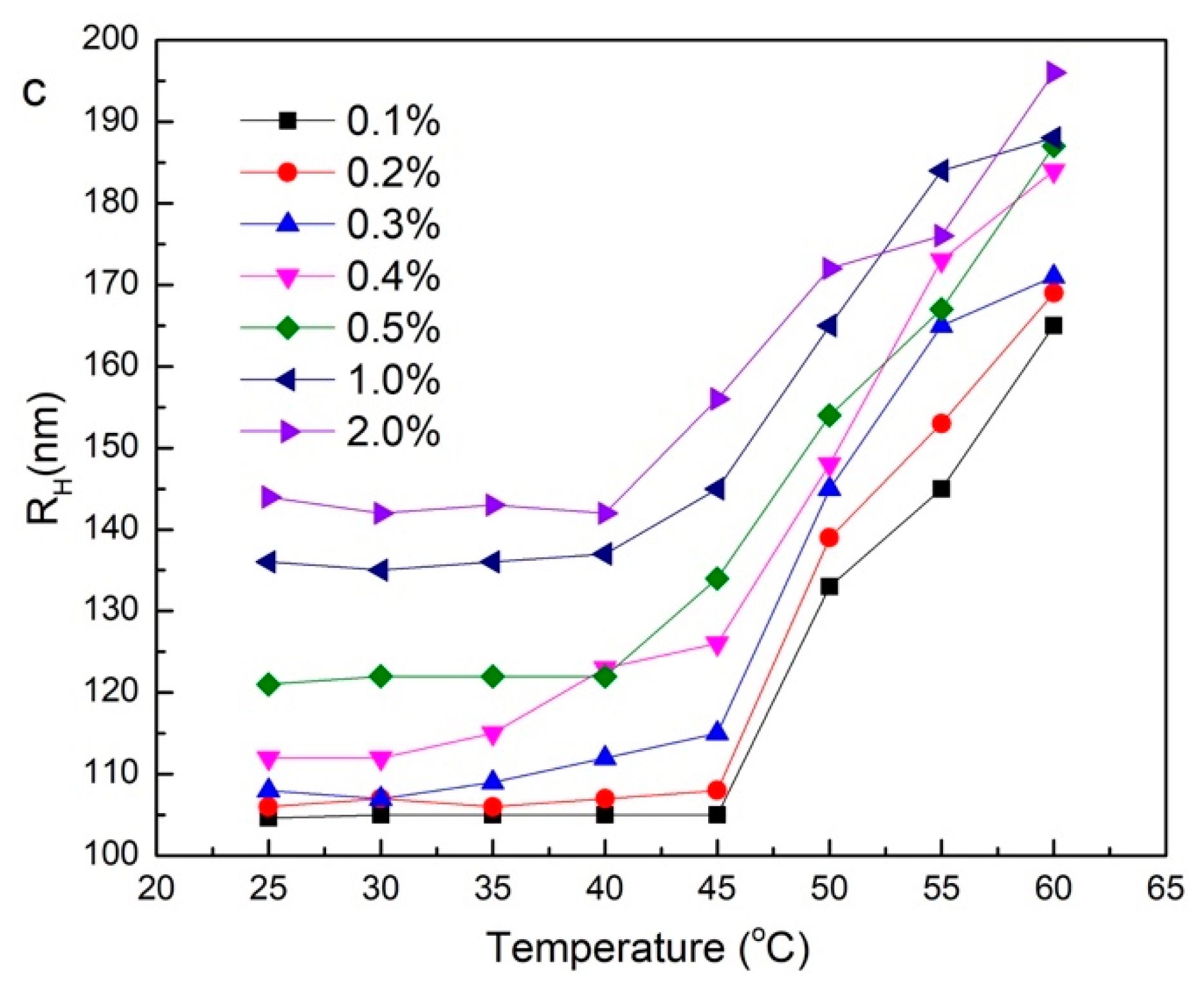
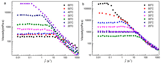
3.2. Viscosity Properties of Polymer Solution
3.2.1. Effects of Concentration on Thermoviscosifying Behaviors
3.2.2. Effects of Molecular Structure on Thermoviscosifying Behaviors
4. Conclusions
Supplementary Materials
Author Contributions
Funding
Conflicts of Interest
References
- Chatterji, J.; Borchardt, J.K. Application of water soluble polymers in the oil field. J. Pet. Technol. 1981, 33, 2042–2056. [Google Scholar] [CrossRef]
- Lucas, E.F.; Mansur, C.R.E.; Spinelli, L.; Queirós, Y.G.C. Polymer science applied to petroleum production. Pure Appl. Chem. 2009, 81, 473–494. [Google Scholar] [CrossRef]
- Peng, S.; Wu, C. Light Scattering Study of the Formation and Structure of Partially Hydrolyzed Poly(acrylamide)/Calcium(II) Complexes. Macromolecules 1999, 32, 585–589. [Google Scholar] [CrossRef]
- François, J.; Truong, N.D.; Medjahdi, G.; Mestdagh, M.M. Aqueous solutions of acrylamide-acrylic acid copolymers: Stability in the presence of alkalinoearth cations. Polymer 1997, 38, 6115–6127. [Google Scholar] [CrossRef]
- Woo, S.; Lee, J.Y.; Choi, W.; Moon, M.H. Characterization of ultrahigh-molecular weight cationic polyacrylamide using frit-inlet asymmetrical flow field-flow fractionation and multi-angle light scattering. J. Chromatogr. A 2016, 1429, 304–310. [Google Scholar] [CrossRef]
- Hourdet, D.; L’alloret, F.; Audebert, R. Synthesis of thermoassociative copolymers. Polymer 1997, 38, 2535–2547. [Google Scholar] [CrossRef]
- Hourdet, D.; L’alloret, F.; Audebert, R. Reversible thermothickening of aqueous polymer solutions. Polymer 1994, 35, 2624–2630. [Google Scholar] [CrossRef]
- Chen, Q.; Wang, Y.; Lu, Z.; Feng, Y. Thermoviscosifying polymer used for enhanced oil recovery: Rheological behaviors and core flooding test. Polym. Bull 2013, 70, 391–401. [Google Scholar] [CrossRef]
- Su, X.; Feng, Y. Thermoviscosifying smart polymers for oil and gas production: State of the art. ChemPhysChem 2018, 19, 1941–1955. [Google Scholar] [CrossRef]
- L’Alloret, F.; Maroy, P.; Hourdet, D.; Audebert, R. Reversible thermoassociation of water-soluble polymers. Rev. Inst. Fr. Pét. 1997, 52, 117–128. [Google Scholar] [CrossRef]
- Bromberg, L. Polyacrylamide conjugated with poly(oxyethylene)-block-poly(oxypropylene)-block-poly(oxyethylene): A self-assembling material. Macromol. Rapid Commun. 1998, 19, 467–471. [Google Scholar] [CrossRef]
- Dong, A.; Zhai, Y.; Xiao, L.; Qi, H.; Tian, Q.; Deng, L.; Guo, R. Thermosensitive behavior of poly(ethylene glycol)/poly(2-(N,N-dimethylamino)ethyl methacrylate) double hydrophilic block copolymers. J. Polym. Sci. Part B Polym. Phys. 2010, 48, 503–508. [Google Scholar] [CrossRef]
- Wang, Y.; Feng, Y.; Wang, B.; Lu, Z. A novel thermoviscosifying water-soluble polymer: Synthesis and aqueous solution properties. J. Appl. Polym. Sci. 2010, 116, 3516–3524. [Google Scholar] [CrossRef]
- Halperin, A.; Kröger, M.; Winnik, F.M. Poly(N-isopropylacrylamide) phase diagrams: Fifty years of research. Angew. Chem. Int. Ed. 2015, 54, 15342–15367. [Google Scholar] [CrossRef] [PubMed]
- Zhang, X.; Jiang, X.; Zhang, X.; Dai, H. Solution properties of thermothickening copolymers bearing hydrocarbon end-capped oxyethylene units. J. Polym. Sci. Part B Polym. Phys. 2010, 48, 1799–1808. [Google Scholar] [CrossRef]
- Kumar, R.; Raghavan, S.R. Thermothickening in solutions of telechelic associating polymers and cyclodextrins. Langmuir 2010, 26, 56–62. [Google Scholar] [CrossRef]
- Habas, J.P.; Pavie, E.; Lapp, A.; Peyrelasse, J. Non-linear viscoelastic properties of ordered phases of a poly(ethylene oxide)-poly(propylene oxide)triblock copolymer. Rheol. Acta 2008, 47, 765–776. [Google Scholar] [CrossRef]
- Bromberg, L. Polyether-modified poly(acrylic acid): synthesis and applications. Ind. Eng. Chem. Res. 1998, 37, 4267–4274. [Google Scholar] [CrossRef]
- Huibers, P.; Bromberg, L.; Robinson, B.; Hatton, T.A. Reversible gelation in semidilute aqueous solutions of associative polymers: A small-angle neutron scattering study. Macromolecules 1999, 32, 4889–4894. [Google Scholar] [CrossRef]
- Bromberg, L.; Temchenko, M. Solubilization of hydrophobic compounds by micellar solutions of hydrophobically modified polyelectrolytes. Langmuir 1999, 15, 8627–8632. [Google Scholar] [CrossRef]
- Xiong, X.Y.; Tam, K.C.; Gan, L.H. Synthesis and aggregation behavior of pluronic F127/poly(lactic acid) block copolymers in aqueous solutions. Macromolecules 2003, 36, 9979–9985. [Google Scholar] [CrossRef]
- Zhang, Y.; Lam, Y.M.; Tan, W.S. Poly(ethylene oxide)-poly(propylene oxide)-poly(ethylene oxide)-g-poly(vinylpyrrolidone): Association behavior in aqueous solution and interaction with anionic surfactants. J. Colloid Interface Sci. 2005, 285, 74–79. [Google Scholar] [CrossRef] [PubMed]
- Zhang, Y.; Lam, Y.M. Poly(ethylene oxide)-b-poly(propylene oxide)-b-poly(ethylene oxide)-g-poly(vinyl pyrrolidone): Synthesis and characterization. J. Colloid Interface Sci. 2005, 285, 80–85. [Google Scholar] [CrossRef] [PubMed]
- Ivanova, R.; Lindman, B.; Alexandridis, P. Evolution in structural polymorphism of pluronic F127 poly(ethylene oxide)–poly(propylene oxide) block copolymer in ternary systems with water and pharmaceutically acceptable organic solvents: from “glycols” to “oils”. Langmuir 2000, 16, 9058–9069. [Google Scholar] [CrossRef]
- Wang, M.; Sun, G.; Han, P.; Su, X.; Feng, Y. Thermoviscosifying polymers based on polyether prepared from inverse emulsion polymerization. J. Appl. Polym. Sci. 2018, 135, 46696. [Google Scholar] [CrossRef]
- Huggins, M.L. The viscosity of dilute solutions of long-chain molecules. IV. dependence on concentration. J. Am. Chem. Soc. 1942, 64, 2716–2720. [Google Scholar] [CrossRef]
- Graf, C.; Kramer, H.; Deggelmann, M.; Hagenbüchle, M.; Johner, C.; Martin, C.; Weber, R. Rheological properties of suspensions of interacting rodlike FD-virus particles. J. Chem. Phys. 1993, 98, 4920–4928. [Google Scholar] [CrossRef]
- Andersson, M.; Wittgren, B.; Wahlund, K. Accuracy in multiangle light scattering measurements for molar mass and radius estimations. Model calculations and experiments. Anal. Chem. 2003, 75, 4279–4291. [Google Scholar] [CrossRef]
- Li, T.; Lin, J.; Chen, T.; Zhang, S. Polymeric micelles formed by polypeptide graft copolymer and its mixtures with polypeptide block copolymer. Polymer 2006, 47, 4485–4489. [Google Scholar] [CrossRef]
- Carrot, G.; Hilborn, J.; Knauss, D.M. Synthesis, characterization and micelle formation of amphiphilic graft copolymers. Polymer 1997, 38, 6401–6407. [Google Scholar] [CrossRef]
- Park, C.P.; Lee, S.J.; Kim, D.; Lee, D.S.; Kim, S.C. Micelle formation and sol–gel transition behavior of comb-like amphiphilic poly((PLGA-b-PEG)MA) copolymers. J. Polym. Sci. Part A Polym. Chem. 2008, 46, 1954–1963. [Google Scholar] [CrossRef]













| Sample | Feed Weight | Yield (%) | B c (%) | Chemical Formula | ||
|---|---|---|---|---|---|---|
| F127 | NaAMPS a | AM b | ||||
| S1 | 20.02 g (1.5 mmol) | 16.03 g (70 mmol) | / | 83% | 3.42 | F127-NaAMPS31 |
| S2 | 20.01 g (1.5 mmol) | 12.01 g (52 mmol) | 3.99 g (56 mmol) | 81% | 4.78 | F127-NaAMPS32-AM47 |
| S3 | 20.03 g (1.5 mmol) | 8.02 g (35 mmol) | 8.01 g (113 mmol) | 89% | 5.01 | F127-NaAMPS37-AM142 |
| S4 | 20.01 g (1.5 mmol) | 4.02 g (18 mmol) | 12.01 g (169 mmol) | 84% | 5.72 | F127-NaAMPS26-AM205 |
| S5 | 20.02 g (1.5 mmol) | / | 16.02 g (226 mmol) | 85% | 6.61 | F127-AM300 |
| Sample | F127 (wt %) | NaAMPS (wt %) | AM (wt %) | AM/NaAMPS (mol/mol) |
|---|---|---|---|---|
| S1 | 63.9 | 36.1 | 0 | / |
| S2 | 54.1 | 31.6 | 14.3 | 1.46 |
| S3 | 40.4 | 27.3 | 32.3 | 3.83 |
| S4 | 38.0 | 18.1 | 43.9 | 7.88 |
| S5 | 37.2 | 0 | 62.8 | / |
| Sample | A2 (×104 mL·mol·g−2) | Rg (nm) | Mw a (×106) | Mw,GPC b (×106) | Đ c | KH | [η] (mL⋅g−1) |
|---|---|---|---|---|---|---|---|
| S1 | 9.87 | 32.1 | 0.24 | 0.27 | 2.98 | 0.52 | 501.9 |
| S2 | 4.34 | 66.9 | 2.08 | 2.18 | 2.87 | 0.56 | 591.3 |
| S3 | 8.86 | 34.9 | 0.62 | 0.68 | 2.95 | 0.34 | 651.2 |
| S4 | 0.642 | 131.5 | 15.50 | / d | / d | 0.34 | 715.3 |
| S5 | 5.43 | 56.2 | 1.17 | 1.36 | 3.08 | 0.34 | 527.7 |
| ηmax/η30 | Tass (°C) | ||||||||||
|---|---|---|---|---|---|---|---|---|---|---|---|
| Sample | S1 | S2 | S3 | S4 | S5 | S1 | S2 | S3 | S4 | S5 | |
| Cp (wt %) | |||||||||||
| 0.3 | /a | / | 1.01 | / | / | / | 45.0 | / | / | ||
| 0.4 | / | / | 1.04 | / | / | / | / | 42.0 | / | / | |
| 0.5 | / | / | 1.07 | / | / | / | / | 41.0 | / | / | |
| 1.0 | / | / | 1.15 | / | / | / | / | 36.0 | / | / | |
| 2.0 | / | / | 1.23 | 1.12 | / | / | / | 31.0 | 31.0 | / | |
© 2019 by the authors. Licensee MDPI, Basel, Switzerland. This article is an open access article distributed under the terms and conditions of the Creative Commons Attribution (CC BY) license (http://creativecommons.org/licenses/by/4.0/).
Share and Cite
Quan, H.; Xie, L.; Su, X.; Feng, Y. The Thermoviscosifying Behavior of Water-Soluble Polymer Based on Graft Polymerization of Pluronic F127 with Acrylamide and 2-Acrylamido-2-methylpropane Sulfonic Acid Sodium Salt. Polymers 2019, 11, 1702. https://doi.org/10.3390/polym11101702
Quan H, Xie L, Su X, Feng Y. The Thermoviscosifying Behavior of Water-Soluble Polymer Based on Graft Polymerization of Pluronic F127 with Acrylamide and 2-Acrylamido-2-methylpropane Sulfonic Acid Sodium Salt. Polymers. 2019; 11(10):1702. https://doi.org/10.3390/polym11101702
Chicago/Turabian StyleQuan, Hongping, Luyao Xie, Xin Su, and Yujun Feng. 2019. "The Thermoviscosifying Behavior of Water-Soluble Polymer Based on Graft Polymerization of Pluronic F127 with Acrylamide and 2-Acrylamido-2-methylpropane Sulfonic Acid Sodium Salt" Polymers 11, no. 10: 1702. https://doi.org/10.3390/polym11101702
APA StyleQuan, H., Xie, L., Su, X., & Feng, Y. (2019). The Thermoviscosifying Behavior of Water-Soluble Polymer Based on Graft Polymerization of Pluronic F127 with Acrylamide and 2-Acrylamido-2-methylpropane Sulfonic Acid Sodium Salt. Polymers, 11(10), 1702. https://doi.org/10.3390/polym11101702
