Study of theThermo-/pH-Sensitivity of Stereo-Controlled Poly(N-isopropylacrylamide-co-IAM) Copolymers via RAFT Polymerization
Abstract
1. Introduction
2. Experimental
2.1. Materials
2.2. Synthesis of Stereo-Controlled Poly(nipam-co-IAM) Copolymers (I-12Y and I-8Y)
2.3. Synthesis of Stereo-Controlled Poly(nipam) Homopolymer (P-Y)
2.4. Synthesis of Non-Stereo-Controlled Poly(nipam-co-IAM) Copolymers (I-12 noLA and I-8 noLA)
2.5. Synthesis of Non-Stereo-Controlled Pnipam Homopolymer (P_noLA)
3. Results and Discussion
3.1. 1H NMR Analysis
3.2. FTIR Analysis
3.3. Gel Permeation Chromatography (GPC) Analysis
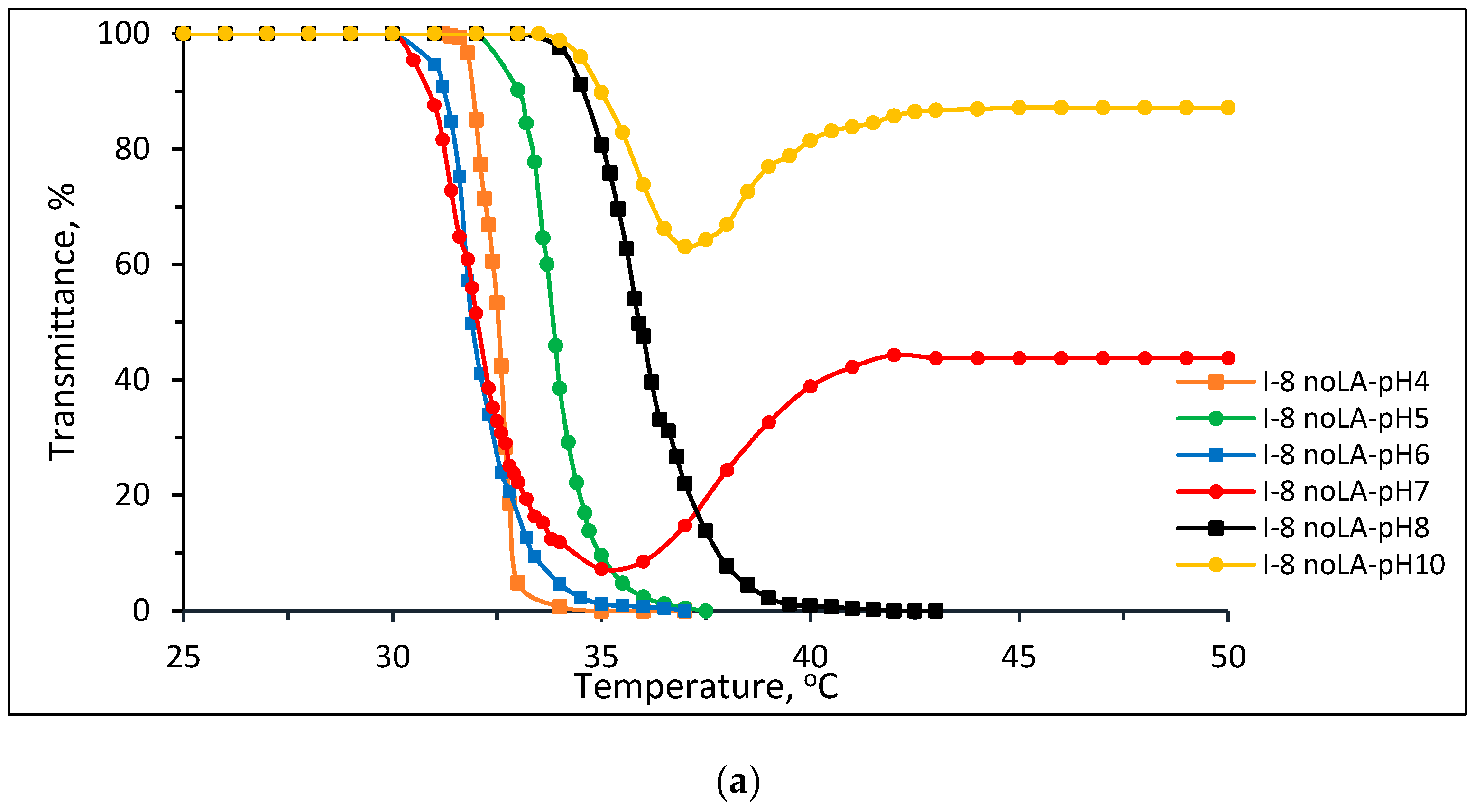
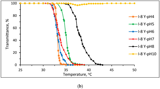
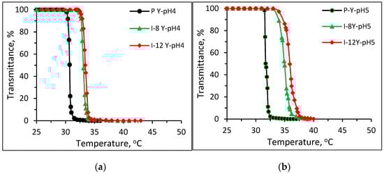
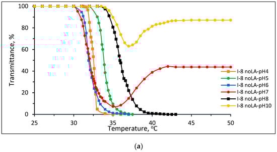
3.4. LCST Analysis
4. Conclusions
Author Contributions
Acknowledgments
Conflicts of Interest
References
- Fang, S.; Kawaguchi, H. A thermosensitive amphoteric microsphere and its potential application as a biological carrier. Colloid Polym. Sci. 2002, 280, 984–989. [Google Scholar] [CrossRef]
- Cirillo, G.; Iemma, F.; Spizzirri, U.; Puoci, F.; Curcio, M.; Parisi, O.; Picci, N. Synthesis of Stimuli-Responsive Microgels for In Vitro Release of Diclofenac Diethyl Ammonium. J. Biomater. Sci. 2011, 22, 823–844. [Google Scholar] [CrossRef] [PubMed]
- Ho, K.M.; Li, W.Y.; Wong, C.H.; Li, P. Amphiphilic polymeric particles with core–shell nanostructures: Emulsion-based syntheses and potential applications. Colloid Polym. Sci. 2010, 288, 1503–1523. [Google Scholar] [CrossRef]
- Cai, J.; Guo, J.; Ji, M.; Yang, W.; Wang, C.; Fu, S. Preparation and characterization of multiresponsive polymer composite microspheres with core–shell structure. Colloid Polym. Sci. 2007, 285, 1607–1615. [Google Scholar] [CrossRef]
- Ramkissoon-Ganorkar, C.; Vaudyš, M.; Kim, S.W. Effect of ionic strength on the loading efficiency of model polypeptide/protein drugs in pH-/temperature-sensitive polymers. J. Biomater. Sci. Polym. Ed. 2000, 11, 45–54. [Google Scholar] [CrossRef] [PubMed]
- Zhao, S.P.; Zhou, F.; Li, L.Y. pH- and temperature-responsive behaviors of hydrogels resulting from the photopolymerization of allylated chitosan and N-isopropylacrylamide, and their drug release profiles. J. Polym. Res. 2012, 19, 9944. [Google Scholar] [CrossRef]
- Gupta, B.; Kumari, M.; Ikram, S. Drug release studies of N-isopropyl acrylamide/acrylic acid grafted polypropylene nonwoven fabric. J. Polym. Res. 2013, 20, 95. [Google Scholar] [CrossRef]
- Liu, R.; Fraylich, M.; Saunders, B.R. Thermoresponsive copolymers: From fundamental studies to applications. Colloid Polym. Sci. 2009, 287, 627–643. [Google Scholar] [CrossRef]
- Rwei, S.P.; Chuang, Y.Y.; Way, T.F.; Chiang, W.Y.; Hsu, S.P. Preparation of thermo- and pH-responsive star copolymers via ATRP and used in drug release application. Colloid Polym. Sci. 2015, 293, 493–503. [Google Scholar] [CrossRef]
- Rwei, S.P.; Way, T.F.; Chang, S.M.; Chiang, W.Y.; Lien, Y.Y. Thermo- and pH-responsive copolymers: Poly(n-Isopropylacrylamide-co-IAM) copolymers. J. Appl. Polym. Sci. 2015. [Google Scholar] [CrossRef]
- Ling, Y.; Lu, M. Thermo and pH dual responsive Poly (N-isopropylacrylamide-co-itaconic acid) hydrogels prepared in aqueous NaCl solutions and their characterization. J. Polym. Res. 2009, 16, 29–37. [Google Scholar] [CrossRef]
- Ivan Meléndez-Ortiz, H.; Bucio, E. Stimuli-Sensitive Behaviour of Binary Graft Co-polymers (PP-g-DMAEMA)-g-NIPAAm and (PP-g-4VP)-g-NIPAAm in Acidic and Basic Medium. Des. Monomers Polym. 2009, 12, 99–108. [Google Scholar] [CrossRef]
- Zhao, C.; Gao, X.; He, P.; Xiao, C.; Zhuang, X.; Chen, X. Facile synthesis of thermo- and pH-responsive biodegradable microgels. Colloid Polym. Sci. 2011, 289, 447–451. [Google Scholar] [CrossRef]
- Bai, Y.; Wei, J.; Yang, L.; He, C.; Lu, X. Temperature and pH dual-responsive behavior of polyhedral oligomeric silsesquioxane-based star-block copolymer with poly(acrylic acid-block-N-isopropylacrylamide) as arms. Colloid Polym. Sci. 2012, 290, 507–515. [Google Scholar] [CrossRef]
- Li, P.; Xu, R.; Wang, W.; Li, X.; Xu, Z.; Yeung, K.; Chu, P. Thermosensitive poly(N-isopropylacrylamide-co-glycidyl methacrylate) microgels for controlled drug release. Colloids Surf. B Biointerfaces 2013, 101, 251–255. [Google Scholar] [CrossRef] [PubMed]
- Pei, Y.; Chen, J.; Yang, L.; Shi, L.; Tao, Q.; Hui, B.; Li, J. The effect of pH on the LCST of poly(N-isopropylacrylamide) and poly(N-isopropylacrylamide-co-acrylic acid). J. Biomater. Sci. Polym. Ed. 2004, 15, 585–594. [Google Scholar] [CrossRef] [PubMed]
- Stile, R.A.; Chung, E.; Burghardt, W.R.; Healy, K.E. Poly(N-isopropylacrylamide)-based semi-interpenetrating polymer networks for tissue engineering applications. Effects of linear poly(acrylic acid) chains on rheology. J. Biomater. Sci. Polym. Ed. 2004, 15, 865–878. [Google Scholar] [CrossRef] [PubMed]
- Kim, S.Y.; Lee, S.C. Thermo-responsive injectable hydrogel system based on poly(N-isopropylacrylamide-co-vinylphosphonic acid). I. Biomineralization and protein delivery. J. Appl. Polym. Sci. 2009, 113, 3460–3469. [Google Scholar] [CrossRef]
- Ray, B.; Okamoto, Y.; Kamigaito, M.; Sawamoto, M.; Seno, K.; Kanaoka, S.; Aoshima, S. Effect of Tacticity of Poly(N-isopropylacrylamide) on the Phase Separation Temperature of Its Aqueous Solutions. Polym. J. 2005, 37, 234–237. [Google Scholar] [CrossRef]
- Alfurhood, J.A.; Sun, H.; Bachler, P.R.; Sumerlin, B.S. Hyperbranched poly(N-(2-hydroxypropyl) methacrylamide) via RAFT self-condensing vinyl polymerization. Polym. Chem. 2016, 7, 2099–2104. [Google Scholar] [CrossRef]
- Lutz, J.-F.; Akdemir, O.; Hoth, A. Point by Point Comparison of Two Thermosensitive Polymers Exhibiting a Similar LCST: Is the Age of Poly(NIPAM) Over? J. Am. Chem. Soc. 2006, 128, 13046–13047. [Google Scholar] [CrossRef] [PubMed]
- Bokias, G.; Staikos, G.; Iliopoulos, I. Solution properties and phase behaviour of copolymers of acrylic acid with N-isopropylacrylamide: The importance of the intrachain hydrogen bonding. Polymer 2000, 41, 7399–7405. [Google Scholar] [CrossRef]
- Rwei, S.P.; Chuang, Y.Y.; Way, T.F.; Chiang, W.Y. Thermosensitive Copolymer by Controlled-Living Radical Polymerization: Phase Behavior of Diblock Copolymers of Poly(N-Isopropylacrylamide) Families. J. Appl. Polym. Sci. 2016, 133. [Google Scholar] [CrossRef]
- Longenecker, R.; Mu, T.; Hanna, M.; Burke, N.; Stöver, H. Thermally Responsive 2-Hydroxyethyl Methacrylate Polymers: Soluble-Insoluble and Soluble-Insoluble-Soluble Transitions. Macromolecules 2011, 44, 8962–8971. [Google Scholar] [CrossRef]
- Mori, T.; Nakashima, M.; Fukuda, Y.; Minagawa, K.; Tanaka, M.; Maeda, Y. Soluble-Insoluble-Soluble Transitions of Aqueous Poly(N-vinylacetamide-co-acrylic acid) Solutions. Langmuir 2006, 22, 4336–4342. [Google Scholar] [CrossRef] [PubMed]
- Cai, X.; Zhong, L.; Su, Y.; Lin, S.; He, X. Novel pH-tunable thermoresponsive polymers displaying lower and upper critical solution temperatures. Polym. Chem. 2015, 6, 3875–3884. [Google Scholar] [CrossRef]
- Bae, Y.C.; Lambert, S.M.; Soane, D.S.; Prausnitz, J.M. Cloud-point curves of polymer solutions from thermooptical measurements. Macromolecules 1991, 24, 4403–4407. [Google Scholar] [CrossRef]
- Ray, B.; Isobe, Y.; Matsumoto, K.; Habaue, S.; Okamoto, Y.; Kamigaito, M.; Sawamoto, M. RAFT Polymerization of N-Isopropylacrylamide in the Absence and Presence of Y(OTf)3: Simultaneous Control of Molecular Weight and Tacticity. Macromolecules 2004, 37, 1702–1710. [Google Scholar] [CrossRef]
- Ray, B.; Isobe, Y.; Habaue, S.; Kamigaito, M.; Okamoto, Y. Novel Initiating System for the Stereocontrolled Radical Polymerization of Acrylamides: Alkyl Bromide/Rare Earth Metal Triflate System. Polym. J. 2004, 36, 728–736. [Google Scholar] [CrossRef][Green Version]
- Özaltin, T.F.; Değirmenci, I.; Aviyente, V.; Atilgan, C.; Sterck, B.D.; Speybroeckm, V.V.; Waroquier, M. Controlling the tacticity in the polymerization of N-isopropylacrylamide: A computational study. Polymer 2011, 52, 5503–5512. [Google Scholar] [CrossRef]
- Suito, Y.; Isobe, Y.; Habaue, S.; Okamoto, Y. Isotactic-specific radical polymerization of methacrylamides in the presence of Lewis acids. J. Polym. Sci. Part A Polym. Chem. 2002, 40, 2496–2500. [Google Scholar] [CrossRef]
- Way, T.F.; Chen, Y.T.; Chen, J.J.; Teng, K. Copolymer and Method for Manufacturing the Same. U.S. Patent No. 8835584 B21, 16 September 2014. [Google Scholar]
- Quinting, G.R.; Ca, R. High-Resolution NMR Analysis of the Tacticity of Poly(n-butyl methacrylate). Macromolecules 1994, 27, 6301–6306. [Google Scholar] [CrossRef]
- Isobe, Y.; Fujioka, D.; Habaue, S.; Okamoto, Y. Efficient Lewis Acid-Catalyzed Stereocontrolled Radical Polymerization of Acrylamides. J. Am. Chem. Soc. 2001, 123, 7180–7181. [Google Scholar] [CrossRef] [PubMed]
- Nishi, K.; Hiroi, T.; Hashimoto, K.; Fujii, K.; Han, Y.S.; Kim, T.H.; Katsumoto, Y.; Shibayama, M. SANS and DLS Study of Tacticity Effects on Hydrophobicity and Phase Separation of Poly(N-isopropylacrylamide). Macromolecules 2013, 46, 6225–6232. [Google Scholar] [CrossRef]
- Hasegawa, T.; Tatsuta, S.; Katsumoto, Y. Infrared spectroscopic study of molecular interaction of tacticity-controlled poly(N-isopropylacrylamide) in a cast film deposited on a solid substrate. Anal. Bioanal. Chem. 2010, 398, 2203–2209. [Google Scholar] [CrossRef] [PubMed]
- Tada, T.; Katsumoto, Y.; Goossens, K.; Uji-I, H.; Hofkens, J.; Shoji, T.; Kitamura, N.; Tsuboi, Y. Accelerating the Phase Separation in Aqueous Poly(N-isopropylacrylamide) Solutions by Slight Modification of the Polymer Stereoregularity: A Single Molecule Fluorescence Study. J. Phys. Chem. C 2013, 117, 10818–10824. [Google Scholar] [CrossRef]
- Han, T.; Zhang, X.; Yin, Q.; Hu, J.; Liu, H.; Hu, Y. Thermoresponsive diblock copolymer with tunable soluble-insoluble and soluble-insoluble-soluble transitions. Macromol. Rapid Commun. 2013, 34, 574–580. [Google Scholar] [CrossRef] [PubMed]
















| Sample ID | Lewis AcidXX [Y(OTf)3]0 | Tacticity/% | Mn/104 | Mw/Mn | Particle Diameter/nm | |
|---|---|---|---|---|---|---|
| Conc./M (mol L−1) | m | r | In 25 °C | |||
| P_noLA | - | 49 | 51 | 11.2 | 1.48 | 155.3 ± 7.9 |
| I_8 noLA | - | 48 | 52 | 4.01 | 1.91 | 216.2 ± 8.7 |
| I_12 noLA | - | 48 | 52 | 3.77 | 1.99 | 268.4 ± 44.3 |
| P Y | 6 × 10−3 | 53 | 47 | 9.16 | 1.33 | 71.0 ± 1.8 |
| I_8 Y | 6 × 10−3 | 52 | 48 | 3.11 | 1.86 | 332.2 ± 19.6 |
| I_12 Y | 6 × 10−3 | 53 | 47 | 3.05 | 1.87 | 402.3 ± 28.1 |
© 2018 by the authors. Licensee MDPI, Basel, Switzerland. This article is an open access article distributed under the terms and conditions of the Creative Commons Attribution (CC BY) license (http://creativecommons.org/licenses/by/4.0/).
Share and Cite
Rwei, S.-P.; Chiang, W.-Y.; Way, T.-F.; Tuan, H.N.A.; Chang, Y.-C. Study of theThermo-/pH-Sensitivity of Stereo-Controlled Poly(N-isopropylacrylamide-co-IAM) Copolymers via RAFT Polymerization. Polymers 2018, 10, 512. https://doi.org/10.3390/polym10050512
Rwei S-P, Chiang W-Y, Way T-F, Tuan HNA, Chang Y-C. Study of theThermo-/pH-Sensitivity of Stereo-Controlled Poly(N-isopropylacrylamide-co-IAM) Copolymers via RAFT Polymerization. Polymers. 2018; 10(5):512. https://doi.org/10.3390/polym10050512
Chicago/Turabian StyleRwei, Syang-Peng, Whe-Yi Chiang, Tun-Fun Way, Huynh Nguyen Anh Tuan, and Ya-Chin Chang. 2018. "Study of theThermo-/pH-Sensitivity of Stereo-Controlled Poly(N-isopropylacrylamide-co-IAM) Copolymers via RAFT Polymerization" Polymers 10, no. 5: 512. https://doi.org/10.3390/polym10050512
APA StyleRwei, S.-P., Chiang, W.-Y., Way, T.-F., Tuan, H. N. A., & Chang, Y.-C. (2018). Study of theThermo-/pH-Sensitivity of Stereo-Controlled Poly(N-isopropylacrylamide-co-IAM) Copolymers via RAFT Polymerization. Polymers, 10(5), 512. https://doi.org/10.3390/polym10050512

