Next Article in Journal
Comparative Analysis of Existing RC Columns Jacketed with CFRP or FRCC
Previous Article in Journal
Thermal, Structural, and Rheological Characterization of Waxy Starch as a Cryogel for Its Application in Food Processing
Previous Article in Special Issue
Enantiopure Chiral Coordination Polymers Based on Polynuclear Paddlewheel Helices and Arsenyl Tartrate
 
 
Font Type:
Arial Georgia Verdana
Font Size:
Aa Aa Aa
Line Spacing:
Column Width:
Background:
Article

Structural Transformations of Amino-Acid-Based Polymers: Syntheses and Structural Characterization

1
Department of Chemical Engineering and Biotechnology, National Taipei University of Technology, Taipei 106, Taiwan
2
Institute of Chemistry, Academia Sinica, Taipei 115, Taiwan
3
Department of Chemistry, Soochow University, Taipei 100, Taiwan
4
Department of Chemistry, National Taiwan University, Taipei 106, Taiwan
5
National Synchrotron Radiation Research Center, Hsinchu 300, Taiwan
*
Authors to whom correspondence should be addressed.
Polymers 2018, 10(4), 360; https://doi.org/10.3390/polym10040360
Submission received: 9 February 2018 / Revised: 13 March 2018 / Accepted: 17 March 2018 / Published: 23 March 2018
(This article belongs to the Special Issue Coordination Polymer)

Abstract

A discrete complex [Zn(tpro)2(H2O)2] (1, Htpro = l-thioproline), and two structural isomers of coordination polymers, a 1D chain of [Zn(tpro)2]n (2) and a layered structure [Zn(tpro)2]n (3), were synthesized and characterized. The discrete complex 1 undergoes a temperature-driven structural transformation, leading to the formation of a 1D helical coordination polymer 2. Compound 3 is comprised of a 2D homochiral layer network with a (4,4) topology. These layers are mutually linked through hydrogen bonding interactions, resulting in the formation of a 3D network. When 1 is heated, it undergoes nearly complete conversion to the microcrystalline form, i.e., compound 2, which was confirmed by powder X-ray diffractions (PXRD). The carboxylate motifs could be activated after removing the coordinated water molecules by heating at temperatures of up to 150 °C, their orientations becoming distorted, after which, they attacked the activation sites of the Zn(II) centers, leading to the formation of a 1D helix. Moreover, a portion of the PXRD pattern of 1 was converted into the patterns corresponding to 2 and 3, and the ratio between 2 and 3 was precisely determined by the simulation study of in-situ synchrotron PXRD expriments. Consequently, such a 0D complex is capable of underdoing structural transformations and can be converted into 1D and/or 2D amino acid-based coordination polymers.

Graphical Abstract

1. Introduction

Various strategies for the rational design of coordination polymers (CPs) or metal-organic frameworks (MOFs) have been subjects of considerable interest recently, not only because of their structural diversities and intriguing topologies [1,2,3,4,5,6], but also due to potential applications in the fields of gas storage, separation, fluorescence, drug delivery, and related fields [7,8,9,10,11,12]. The creation of desirable CPs or MOFs with variable dimensions relies on controlling a few critical factors, such as the functionality on the ligand, concentration, template, pH, temperature, the solvent system being used, and reaction time, among others [13,14,15,16,17]. One unusual feature of CPs or MOFs is their structural flexibilities, which can lead to remarkable effects, including breathing, pore-discriminating adsorption and structural transformations in the solid state, which are completely different from those that are observed in solvent systems [18,19,20,21,22,23]. Of particular interest are structural transformations that are involved with the replacement or the substitution of labile ligands, which provide crystallographic snapshots that are potentially useful for collecting information related to solvent-free chemical reactions [24,25,26,27]. The coordination geometries of the metal ions could be changed upon exposure to exogenous stimuli, and some coordinating tectons can escape via metal-ligand bonding breakage, thus facilitating the reforming of new bonding modes in a concerted manner [28,29,30]. Recent achievements in phase transformations include demonstrations of the mutual sliding of coordination arrays in the solid state, which may be induced by external stimuli, such as solvents, ions, light, temperature, and mechanical force, and synergistic effects associated with these stimuli [31,32,33,34,35,36,37,38]. For example, the reversible solvent-responsive phase transformation process driven by water molecules was explored for the case of a multi-metallic coordination polymer [39]. For some time, we have been interested in preparing labile compounds containing a chiral amino acid ligand as target metal complexes, which can be self-assembled under mild conditions. There are several structural transformations that are primarily influenced by thermal association, condensation, and the rearrangement of bonds [40,41,42,43,44,45]; however, employing such amino acid-containing complexes in studies of their self-reorganizing properties as well as their structural transformations have not fully been addressed [46,47,48,49]. A detailed understanding of the behaviors of such complexes is thus important in the design of future materials for use in advanced applications.
As part of our ongoing efforts in the design and synthesis of functionally crystalline materials [49,50,51,52,53], we report herein on the preparation and characterization of one discrete [Zn(tpro)2(H2O)2] complex (1, Htpro = l-thioproline), and two structural isomers of coordination polymers, one comprised of a 1D chain of [Zn(tpro)2]n (2) and the other with a layered structure [Zn(tpro)2]n (3). Their features are as follows: (i) the discrete complex contains two labile water molecules and two strongly chelated amino acid ligands; (ii) compounds 2 and 3 have the same fomula, but their structures and space groups are completely different, the former is a 1D right-handed helix, while the latter is composed of a 2D protuberant-grid-type network; (iii) the use of several different solvents or the addition of structure-directing reagents was found to play an important role in promoting the yield of each product; (iv) upon heating at 210 °C, the carboxylate oxygens of the complexes became distorted and coordinated to the neighboring Zn(II) centers, i.e., the activation sites, leading to the PXRD pattern of 1 being transformed to that of 2; and (v) a small fraction of 3 (2.4%) could also be obtained, as verified by the studies of in situ synchrotron powder X-ray diffraction patterns. Furthermore, this methodology provides an opportunity to develop an effective strategy for preparing a variety of diverse products under mild conditions. This report deals with the issue of labile ligands that can be removed upon heating. Importantly, such a discrete complex exhibited structural transformations via conversion to 1D and/or 2D amino acid-based coordination polymers in the solid state.

2. Experimental

2.1. Materials and Physical Techniques

All chemicals were of reagent grade and used as commercially obtained without further purification. Elemental analyses (carbon, hydrogen and nitrogen) were performed using a Perkin-Elmer 2400 elemental analyzer (Perkin-Elmer, Inc., Billerica, MA, USA). The infrared spectrum was recorded on a Nicolet Fourier Transform IR (Nicolet Instrument Inc., Madison, WI, USA), and a Nicolet MAGNA-IR 500 spectrometer (Nicolet Instrument Inc., Madison, WI, USA) in the range 500–4000 cm−1 using the KBr disc technique. Thermogravimetric analyses (TGA) were performed on a computer-controlled Perkin-Elmer 7 Series/UNIX TGA7 analyzer (Perkin-Elmer, Inc., Billerica, MA, USA). Single-phased powder samples of 1 (3.1 mg), 2 (3.2 mg) and 3 (3.4 mg) were loaded into alumina pans and heated with a ramp rate of 5 °C/min from room temperature to 800 °C under nitrogen atmosphere.

2.2. Synthesis of [Zn(Tpro)2(H2O)2] (1)

An ethanol solution (4 mL) of Zn(CH3COO)2·2H2O (0.100 mmol, 0.0223 g) was carefully layered on the top of an aqueous solution (4 mL) of triethylamine (0.6 mL, 0.3 mmol) and l-thioproline (Htpro, 0.359 mmol, 0.0488 g). The resulting solution was then allowed to stand under ambient conditions for several days, whereupon colorless plate-shaped crystals of 1 were formed in 93% yield (0.034 g, based on Zn(II)). Elemental analysis calcd (%) for C8H16N2O6S2Zn (1): C 26.13, H 7.68, N 3.86. Found: C 26.27, H 7.65, N 4.40. IR (KBr pellet): ν = 1325 (s), 1402 (s), 1477 (s), 1599 (vs), 1689 (s), 2938 (s), 3204 (s) cm−1. It is noteworthy that complex 1 was obtained as the major product, and the two other products were formed in minor amounts under mild conditions except that mixing was necessary, suggesting that the laying methodology may play an important role in the synthesis of complex 1.

2.3. Synthesis of [Zn(tpro)2]n (2)

An ethanol solution (4 mL) of Zn(CH3COO)2·2H2O (0.100 mmol, 0.0223 g) was carefully layered on the top of a solution, consisting of an aqueous solution (4 mL) of Htpro (0.359 mmol, 0.0488 g) and triethylamine (0.6 mL, 0.3 mmol), and an ethanol solution (4 mL) of 4,4′-bipyridine (0.0497 g, 0.312 mmol). The resulting solution was then allowed to stand at ambient conditions for two weeks, whereupon colorless cubic block crystals were formed in 79% yield (0.026 g, based on Zn(II)). Elemental analysis calcd (%) for C8H12N2O4S2Zn (2): C 29.12, H 8.50, N 3.64. Found: C 29.18, H 8.49, N 3.65. IR (KBr pellet): ν = 1336 (m), 1370 (m), 1608 (vs), 1645 (s), 3218 (s), 3444(s) cm−1.

2.4. Synthesis of [Zn(tpro)2]n (3)

A methanol solution (4 mL) of Zn(CH3COO)2·2H2O (0.100 mmol, 0.0223 g) was carefully layered on the top of an aqueous solution (4 mL) of Htpro (0.359 mmol, 0.0488 g) and triethylamine (0.6 mL, 0.3 mmol) and a methanol solution (4 mL) of 4,4′-bipyridine (0.0469 g, 0.294 mmol). The resulting solution was then allowed to stand at ambient conditions for several days, colorless grainy crystals of 3 were obtained in 88% yield (0.029 g, based on Zn(II)). Elemental analysis calcd (%) for C8H12N2O4S2Zn (3): C 29.12, H 8.50, N 3.64. Found: C 29.14, H 8.47, N 3.65. IR (KBr pellet): ν = 1326 (s), 1403 (s), 1431 (s), 1476 (s), 1598 (vs), 1692 (s), 2939 (s), 3206 (s) cm−1.

2.5. Crystallographic Data Collection and Refinement

Single crystal X-ray diffraction analyses of compounds 13 were performed on a Siemens SMART diffractomer (Siemens, Germany) with a CCD detector with Mo Kα radiation (λ = 0.71073 Å) at 295(2) K. Cell parameters were retrieved using SMART [54] software (Bruker SAINT, Tokyo, Japan) and refined with SAINT on all observed reflections. Data reduction was performed with the SAINT software and corrected for Lorentz and polarization effects. Absorption corrections were applied with the program SADABS (Bruker (2016), Tokyo, Japan). Direct phase determination and subsequent difference Fourier map synthesis yielded the positions of all non-hydrogen atoms, which were subjected to anisotropic refinements. All hydrogen atoms were generated geometrically with the exception of the hydrogen atoms of the coordinated water molecules, which were located in the difference Fourier map with the corresponding positions and isotropic displacement parameters being refined. The final full-matrix, least-squares refinement on F2 was applied for all observed reflections [I > 2σ(I)]. All calculations were performed using the SHELX software package (SHELXS-97, Göttingen, Germany) [55]. The Crystal data and structural refinement for compounds 13 are listed in Table 1. Selected bond and hydrogen bonding lengths (Å) and angles (°) for 13 are summarized in Tables S1–S6. The Cambridge Crystallographic Data Centre CCDC-1823036, 1823037 and 1823039 for 1, 2 and 3, respectively, contain the supplementary crystallographic data for the paper. These data can be obtained free of charge at www.ccdc.cam.ac.uk/conts/retrieving.html or from the Cambridge Crystallographic Data Centre (Cambridge, UK).

2.6. Powder X-ray Diffraction of Compounds 13

The powder X-ray diffraction patterns of 1 were recorded by the National Synchrotron Radiation Research Center (NSRRC, TPS 09A, Hsinchu, Taiwan) via the BL01C2 beamline. The ring energy of NSRRC was operated at 1.5 GeV with a typical current of 300 mA. The wavelength of the incident X-rays was 1.0332 Å (12.0 keV), delivered from the superconducting wavelength-shifting magnet and a Si(111) double-crystal monochromator. The diffraction patterns were recorded with a Mar345 imaging plate detector approximately 300 mm from sample positions and typical exposure duration 5 min. The pixel size of Mar345 was 100 µm. The one-dimensional powder diffraction profile was converted with program FIT2D (ESRF, Grenoble, France) and cake-type integration. The diffraction angles were calibrated according to Bragg positions of Ag-Benhenate and Si powder (NBS640b) standards. In situ synchrotron powder X-ray diffraction patterns of 13 were recorded from room temperature to 450 °C with a heating rate approximately 10 °C/min. The powder sample was sealed in a capillary (1.0 mm diameter) and heated in a stream of hot air; each in situ powder XRD pattern was exposed for about 1.2 min.

3. Results and Discussion

3.1. Syntheses of Compounds 13

A discrete complex [Zn(tpro)2(H2O)2] (1, Htpro = l-thioproline), and two structural isomers of coordination polymers, a 1D chain of [Zn(tpro)2]n (2) and a layered structure [Zn(tpro)2]n (3), were synthesized by reacting Zn(CH3COO)2·2H2O, l-thioproline (Htpro) and triethylamine at ambient temperature for several days through a single-step, self-organization process (Scheme 1). Interestingly, three different single crystal products could be obtained under similar conditions by appropriately tuning the system via the use of different solvents, such as ethanol, methanol, aqueous solutions, and introducing a structure-directing reagent, such as 4,4′-bipyridine. In order to introduce the chirality into the products, we attempted to use a l-thioproline species as a ligand to achieve self-assembly with Zn(II) ions under mild conditions. Because the five-membered ring of the thiazolidine motif of Htpro is not planar, it exists in a twisted type of conformation. The tpro ligand can adopt two types of bonding modes: a η1-O,N-bidentate mode or a µ22-syn-anti-chelating mode (Figure 1).
It should be noted that the tpro ligand can exist in a chelating mode, thus allowing it to be linked in La helical manner, permitting its chirality to be translated into the target products. The thio and amino functional groups of the tpro ligand can also participate in hydrogen bonding interactions, thus increasing the dimensions of the target products. However, such tpro-based complexes are still rare as of this writing [56,57,58,59]. A chiral l-thioproline species was employed as a ligand to react with the Zn(II) ions under mild conditions, in order to permit some labile compounds with coordinated water molecules to be produced. Thus, such a simple labile complex could be used to investigate the intriguing structural transformations.

3.2. Structural Description of [Zn(Tpro)2(H2O)2] (1)

A single-crystal X-ray diffraction analysis revealed that compound 1 crystallizes in the monoclinic space group P21. As shown in Figure 2a, the Zn(II) ion is bound to two nitrogen atoms (N1,N2) and two oxygen atoms (O1,O3) from two crystallographically independent tpro ligands, and two oxygen atoms (O5, O6) from two coordinated water molecules, giving rise to a complex with a distorted octahedral geometry. Two coordinated water and two tpro ligands are located in a cis conformation, and the latter adopted a chelating coordination mode. Compound 1 can be classified as a class of MA2B2C2 type complex, thus, from a stereochemical point of view, it could be described as having a trans-N,N, cis-O,O, cis-O′,O′ configuration. The Zn–O distances are in the range of 2.051(7)–2.158(6) Å and the Zn–N distances are 2.146(1) and 2.143(1) Å, respectively. It is noteworthy that a variety of hydrogen bonding interactions are operative among these discrete complexes. They were mutually interlinked via the coordinated water molecules (O5, O6) and the carboxylate oxygen atoms (O3, O2, O4) from the tpro ligands with hydrogen bonding interactions (O–H···O) with distances of 2.64, 2.73 and 2.69 Å, respectively. As a result, these Zn2+ ions are linked together through the carboxylate motif of the tpro ligands, leading to the formation of a 1D chain (Figure 2b), and these chains were then further staggered in an ABAB manner, resulting in the formation of a 2D layer (Figure S1). Finally, these hydrogen-bonded layers were further linked by hydrogen bonding interactions (C–H···S) with distances of 3.764 (1) and 3.948 (2) Å, resulting in a 3D supramolecular architecture, as depicted in Figure S2.

3.3. Structural Description of [Zn(tpro)2]n (2)

A single-crystal X-ray diffraction analysis revealed that compound 2 also crystallizes in the monoclinic space group P21, but the unit cell parameters of this compound were completely different from those of 1. As shown in Figure 3, the Zn(II) center is surrounded by three tpro ligands using the N atom and an O atom in a µ22-syn-anti-chelating mode to produce slightly distorted trigonal bipyramidal coordination geometry, in which the O1 and O3 atoms occupy axial positions and the other atoms O2, N1 and N2 are located in equatorial positions. The Zn–O distances are 2.004(3), 2.053(3) and 2.128(3) Å and the Zn–N distances are 2.055(3) and 2.080(3) Å. Notably, in compound 2, the O2 atom from the carboxylate motif of the tpro ligand served as a bridge for the neighboring Zn(II) ions, resulting in the formation of a 1D right-handed helix (Figure 3b). These adjacent helical chains were further connected via hydrogen bonding interactions (N–H⋅⋅⋅O) with distances of 2.862(5), 3.170(5) and 3.097(6) Å, forming a 2D homochiral layer structure. Finally, these layers were linked together by hydrogen bonding through C–H⋅⋅⋅S interactions, leading to the formation of a 3D supramolecular structure (Figure S3).

3.4. Structural Description of [Zn(tpro)2]n (3)

A single-crystal X-ray diffraction analysis revealed that compound 3 crystallizes in the orthorhombic space group P212121. As shown in Figure 4a, the Zn(II) ion is six-coordinated via two N and two O atoms of two chelated tpro ligands, and two O atoms from two η1-carboxylate from two tpro ligands, in a distorted octahedral geometry. It is interesting to note that there are four tpro ligands bound to the Zn(II) ions, two ligands are coordinated via N and O atoms adopting a bidentate mode, and thereby forming two five-membered chelated rings. The other two are coordinated through two η1-carboxylate motifs in a η1-O,N-bidentate mode, each of which is located trans to the bidentate tpro ligand. The Zn–O distances are 2.030(2), 2.081(2), 2.099(2) and 2.131(2) Å, respectively, and the Zn–N distances are 2.149(2) and 2.289(2) Å. Interestingly, all of the tpro ligands are linked to two Zn(II) centers in a µ22-syn-anti-chelating mode, forming a right-handed helical structure. The two types of helices (along the a, b axis) intersect through the Zn(II) centers, yielding a 2D homochiral layer in the ab plane. The ZnII atom can be regarded as a four-connecting node. The carboxylate motifs of the tpro ligands function as an extended linker, bridging two ZnII centers, while the other motifs are omitted for the sake of clarity. Interestingly, a protuberant-grid-type network is apparent (Figure 4b). Thus, this layered architecture possesses a (4,4) topology (Figure 4c). The ZnII···ZnII separation distances across the µ22-syn-anti-COO are 5.883(1) and 5.226(1) Å, respectively. These layers are stacked in an ABAB manner connected by hydrogen bonding interactions (N–H···S) with a distance of 3.418(2) Å, leading to the formation of a 3D homochiral supramolecular network (Figure S4).

3.5. The Study of Thermogravimetric Analysis and Powder X-ray Diffraction

Thermogravimetric analyses (TGA) of 1 indicated that the coordinated water molecules are removed in the temperature range of 66−106 °C (Figure S5a). The resulting 9.8% weight loss is consistent with the calculated value (9.0%). After the water molecules are removed, the complex was stable up to a temperature of about 213 °C. TGA patterns of 2 showed no significant change and it was thermally stable at temperatures of up to 209.6 °C, after which it gradually decomposed (Figure S5b). The TGA pattern of 3 revealed that it was thermally stable at temperatures of up to 215 °C, after which it underwent decomposition (Figure S5c).
Powder X-ray diffraction (PXRD) patterns showed that the crystallinity of 1 does not change appreciably upon the removal of the coordinated water molecules at temperatures of up to 120 °C (Figure 5a). A new crystalline pattern, however, was observed when the temperature reached 150 °C, and this pattern remained unchanged at temperatures of up to 240 °C. However, at temperatures higher than 240 °C, a second new crystalline pattern appeared, indicating that some interesting structural changes had likely occurred. It is noteworthy that, when compound 1 was heated at 240 °C, the broad adsorption band of the O–H group (about at 3200 cm−1, in Figure S6a) changed, and a new spectrum appeared, which was similar to that of 2 (Figure S6b), indicating that 1 was converted into 2. In addition, powder X-ray diffraction (PXRD) patterns showed that the crystallinity of 2 did not change appreciably until the temperature reached 240 °C, suggesting that this 1D polymeric chain is thermally stable at this temperature (Figure 5b). PXRD patterns of 3 showed that the crystallinity of 3 remains unchanged until the temperature reached 210 °C, indicating that it is relatively thermally stable (Figure S7).

3.6. Solid-State Thermal-Driven Structural Transformations

We were astonished at what occurred during this thermally driven structural transformation in the solid state. We are inspired by the bottom-up approach that employs the assembly of secondary building units (SBUs), which play an important role in controlling the growth of higher dimensional metal-organic frameworks or coordination polymeric networks. It is noteworthy that, upon heating at 240 °C, the PXRD pattern of the dehydrated form of 1 underwent a complete change, suggesting that it was truly activated and that a structural transformation had occurred (Figure S8). As a result, upon the removal of the two coordinated water molecules, the Zn(II) centers of the complexes were transformed into two uncoordinated sites. These adjacent carboxylate oxygen atoms (O2, O4) from the neighboring complexes were probably slightly distorted and, as a result, were capable of being coordinated alternately to the active sites of Zn(II) ions, resulting in the structural transformation. (Figure 6, Figure S9 and S10).
Finally, in order to further study the details involved in these phase transformations, we carried out a precise examination of 1 using in situ synchrotron powder X-ray diffraction. As shown in Figure 7, the simulation results of the synchrotron powder X-ray diffraction revealed that the ratio of 2:3 is 97.6% to 2.4%, indicating that small amounts of compound 3 were also produced during this structural transformation. This can be attributed to the fact that the orientations of carboxylate motifs of 2 were arranged in a helical form; as a result, it would be difficult for their related orientations to change in the solid state (Figure S11). Therefore, these in situ synchrotron powder X-ray diffraction analyses demonstrate that two phase transformations are induced from a discrete complex in the crystalline state. It is likely that, because of the close molecular packing, the restricted migration and reorientation of functional groups are able to form the higher-dimensional structures, but only sluggishly [60].

4. Conclusions

In conclusion, three compounds were successfully synthesized, including a discrete complex, a 1D right-handed helical chain and a 2D amino-acid-based coordination polymer comprised of a protuberant-grid-type network with a (4,4) topology. The labile water molecules of the discrete complex are removed upon heating, and the carboxylate oxygens become activated with their orientations being distorted. Consequently, it is possible to induce these carboxylate motifs from the neighbouring complexes to attack the Zn(II) ions with the activation sites. Therefore, the ligand, tpro, which possesses chirality, and a carboxylate motif with a µ22-syn-anti-chelating mode, appear to play an important role in the distortion effect that, in turn, facilitates structural transformations of the discrete complex into a 1D polymeric chain and a small amount of 2D structure. This study provides the deep insights into the structural transformation of such a discrete complex, which can be converted to 1D and/or 2D amino-acid-based coordination polymers.

Supplementary Materials

The following are available online at https://www.mdpi.com/2073-4360/10/4/360/s1, Figure S1: A representation of a 2D structure of compound 1 connected by hydrogen bonding interactions. Figure S2. A 3D supramolecular network of compound 1 connected by hydrogen bonding interactions. Figure S3. A representation of the 3D network of 1 linked through hydrogen bonding interactions. Figure S4. These 2D layers of 3 are linked through hydrogen bonding interactions, leading to a 3D supramolecular network. Figure S5. Thermogravimetric analysis (TGA) curves of compounds: 1 (a), 2 (b), 3 (c). Figure S6. IR spectra of compounds: 1 (a), 2 (b), 3 (c). Figure S7. The powder X-ray diffraction (PXRD) patterns of 3 upon heating from room temperature up to 450 °C. Figure S8. PXRD patterns of 1 (under different temperatures), 2 and 3. Figure S9. A view of local structure of 1 shows the Zn(II) ions between the neighboring carboxylate oxygen atoms (O2,O4) from the neighboring discrete complex with the separation distances of 4.2897 and 4.357 Å, respectively. Figure S10. A plausible mechanism of a structural transformation of 1 in the solid state, leading to the formation of a 1D helical chain of 2. Figure S11. A presentation of structural transformation for 1. This discrete complexes 1 were converted into 2 and 3 in the ratio of 97.6 to 2.4%. Table S1: Selected bond lengths (Å) and angles (°) for compound 1. Table S2. Hydrogen bonding lengths (Å) and angles (°) for compound 1. Table S3. Selected bond lengths (Å) and angles (°) for compound 2. Table S4. Hydrogen bonding lengths (Å) and angles (°) for 2. Table S5. Selected bond lengths (Å) and angles (°) for compound 3. Table S6. Hydrogen bonding lengths (Å) and angles (°) for compound 3.

Acknowledgments

We are grateful to the National Taipei University of Technology, Academia Sinica, and the Ministry of Science and Technology of Taiwan for financial support.

Author Contributions

Hsiao-Shan Chiu, Chih-Chieh Wang and Kuang-Lieh Lu conceived and designed the experiments; Gene-Hsiang Lee performed the experiments of single crystal X-ray diffraction; Hwo-Shuenn Sheu collected the data of in situ powder X-ray diffraction; Tzuoo-Tsair Luo, Tien-Wen Tseng, Hsiao-Shan Chiu, Chih-Chieh Wang and Kuang-Lieh Lu wrote the paper.

Conflicts of Interest

The authors declare no competing financial interests.

References

  1. Aggarwal, H.; Das, R.K.; Bhatt, P.M.; Barbour, L.J. Isolation of a structural intermediate during switching of degree of interpenetration in a metal-organic framework. Chem. Sci. 2015, 6, 4986–4992. [Google Scholar] [CrossRef]
  2. Kole, G.K.; Vittal, J.J. Solid-state reactivity and structural transformations involving coordination polymers. Chem. Soc. Rev. 2013, 42, 1755–1775. [Google Scholar] [CrossRef] [PubMed]
  3. Sen, S.; Neogi, S.; Rissanen, K.; Bharadwaj, P.K. Solvent induced single-crystal to single-crystal structural transformation and concomitant transmetalation in a 3D cationic Zn(II)-framework. Chem. Commun. 2015, 51, 3173–3176. [Google Scholar] [CrossRef] [PubMed]
  4. Martí-Rujas, J.; Bonafede, S.; Tushib, D.; Cametti, M. Multiple single-crystal-to-single-crystal guest exchange in a dynamic 1D coordination polymer. Chem. Commun. 2015, 51, 12357–12360. [Google Scholar] [CrossRef] [PubMed][Green Version]
  5. Lv, X.X.; Shi, L.L.; Li, K.; Li, B.L.; Li, H.Y. An unusual porous cationic metal-organic framework based on a tetranuclear hydroxyl-copper(II) cluster for fast and highly efficient dichromate trapping through a single-crystal to single-crystal process. Chem. Commun. 2017, 53, 1860–1863. [Google Scholar] [CrossRef] [PubMed]
  6. Agnew, D.W.; DiMucci, I.M.; Arroyave, A.; Gembicky, M.; Moore, C.E.; MacMillan, S.N.; Rheingold, A.L.; Lancaster, K.M.; Figueroa, J.S. Crystalline coordination networks of zero-valent metal centers: Formation of a 3 dimensional Ni(0) framework with m-terphenyl diisocyanides. J. Am. Chem. Soc. 2017, 139, 17257–17260. [Google Scholar] [CrossRef] [PubMed]
  7. Li, J.R.; Sculley, J.; Zhou, H.C. Metal-organic frameworks for separations. Chem. Rev. 2012, 112, 869–932. [Google Scholar] [CrossRef] [PubMed]
  8. Kolesnichenko, I.V.; Anslyn, E.V. Practical applications of supramolecular chemistry. Chem. Soc. Rev. 2017, 46, 2385–2390. [Google Scholar] [CrossRef] [PubMed]
  9. Maurin, G.; Serre, C.; Cooper, A.; Férey, G. The new age of MOFs and of their porous-related solids. Chem. Soc. Rev. 2017, 46, 3104–3107. [Google Scholar] [CrossRef] [PubMed]
  10. Mendecki, L.; Ko, M.; Zhang, X.; Meng, Z.; Mirica, K.A. Porous scaffolds for electrochemically controlled reversible capture and release of ethylene. J. Am. Chem. Soc. 2017, 139, 17229–17232. [Google Scholar] [CrossRef] [PubMed]
  11. Lochenie, C.; Schötz, K.; Panzer, F.; Kurz, H.; Maier, B.; Puchtler, F.; Agarwal, S.; Köhler, A.; Weber, B. Spin-crossover iron(II) coordination polymer with fluorescent properties: Correlation between emission properties and spin state. J. Am. Chem. Soc. 2018, 140, 700–709. [Google Scholar] [CrossRef] [PubMed]
  12. Aoki, R.; Toyoda, R.; Kögel, J.F.; Sakamoto, R.; Kumar, J.; Kitagawa, Y.; Harano, K.; Kawai, T.; Nishihara, H. Bis(dipyrrinato)zinc(II) complex chiroptical wires: Exfoliation into single strands and intensification of circularly polarized luminescence. J. Am. Chem. Soc. 2017, 139, 16024–16027. [Google Scholar] [CrossRef] [PubMed]
  13. Deng, H.; Doonan, C.J.; Furukawa, H.; Ferreira, R.B.; Towne, J.; Knobler, C.B.; Wang, B.; Yaghi, O.M. functionalities on linking groups. Science 2010, 327, 846–850. [Google Scholar] [CrossRef] [PubMed]
  14. Alaerts, L.; Maes, M.; Giebeler, L.; Jacobs, P.A.; Martens, J.A.; Denayer, J.F.M.; Kirschhock, C.E.A.; De Vos, D.E. Selective adsorption and separation of ortho-substituted alkylaromatics with the microporous aluminum terephthalate MIL-53. J. Am. Chem. Soc. 2008, 130, 14170–14178. [Google Scholar]
  15. Wu, J.Y.; Yang, S.L.; Luo, T.T.; Liu, Y.H.; Cheng, Y.W.; Chen, Y.F.; Wen, Y.S.; Lin, L.G.; Lu, K.L. Time-evolving self-organization and autonomous structural adaptation of cobalt(II)-organic framework materials with scu and pts nets. Chem. Eur. J. 2008, 14, 7136–7139. [Google Scholar] [CrossRef] [PubMed]
  16. Chen, X.M.; Tong, M.L. Solvothermal in situ metal/ligand reactions: A new bridge between coordination chemistry and organic synthetic chemistry. Acc. Chem. Res. 2007, 40, 162–170. [Google Scholar] [CrossRef] [PubMed]
  17. McKinlay, R.M.; Atwood, J.L. A hydrogen-bonded hexameric nanotoroidal assembly. Angew. Chem. Int. Ed. 2007, 46, 2394–2397. [Google Scholar] [CrossRef] [PubMed]
  18. Wen, L.; Cheng, P.; Lin, W. Solvent-induced single-crystal to single-crystal transformation of a 2D coordination network to a 3D metal-organic framework greatly enhances porosity and hydrogen uptake. Chem. Commun. 2012, 48, 2846–2848. [Google Scholar] [CrossRef] [PubMed]
  19. Burnett, B.J.; Barron, P.M.; Hu, C.; Choe, W. Stepwise synthesis of metal-organic frameworks: Replacement of structural organic linkers. J. Am. Chem. Soc. 2011, 133, 9984–9987. [Google Scholar] [CrossRef] [PubMed]
  20. Aggarwal, H.; Bhatt, P.M.; Bezuidenhout, C.X.; Barbour, L.J. Direct evidence for single-crystal to single-crystal switching of degree of interpenetration in a metal-organic framework. J. Am. Chem. Soc. 2014, 136, 3776–3779. [Google Scholar] [CrossRef] [PubMed]
  21. Li, C.P.; Wang, S.; Guo, W.; Yan, Y.; Du, M. Dual structure evolution of a Ag(I) supramolecular framework triggered by anion-exchange: Replacement of terminal ligand and switching of network interpenetration degree. Chem. Commun. 2016, 52, 11060–11063. [Google Scholar] [CrossRef] [PubMed]
  22. Morris, R.E.; Brammer, L. Coordination change, lability and hemilability in metal-organic frameworks. Chem. Soc. Rev. 2017, 46, 5444–5462. [Google Scholar] [CrossRef] [PubMed]
  23. Stylianou, K.C.; Rabone, J.; Chong, S.Y.; Heck, R.; Armstrong, J.; Wiper, P.V.; Jelfs, K.E.; Zlatogorsky, S.; Bacsa, J.; McLennan, A.G.; et al. Dimensionality transformation through paddlewheel reconfiguration in a flexible and porous Zn-based metal-organic framework. J. Am. Chem. Soc. 2012, 134, 20466–20478. [Google Scholar] [CrossRef] [PubMed]
  24. Jiang, X.; Kou, H.Z. Solid state reconstructive phase transition from porous supramolecular network to porous coordination polymer. Chem. Commun. 2016, 52, 2952–2955. [Google Scholar] [CrossRef] [PubMed]
  25. Assi, H.; Mouchaham, G.; Steunou, N.; Devic, T.; Serre, C. Titanium coordination compounds: From discrete metal complexes to metal-organic frameworks. Chem. Soc. Rev. 2017, 46, 3431–3452. [Google Scholar] [CrossRef] [PubMed]
  26. He, W.W.; Li, S.L.; Zang, H.Y.; Yang, G.S.; Zhang, S.R.; Su, Z.M.; Lan, Y.Q. Entangled structures in polyoxometalate-based coordination polymers. Coord. Chem. Rev. 2014, 279, 141–160. [Google Scholar] [CrossRef]
  27. Kole, G.K.; Kojima, T.; Kawano, M.; Vittal, J.J. Reversible single-crystal-to-single-crystal photochemical formation and thermal cleavage of a cyclobutane ring. Angew. Chem. Int. Ed. 2014, 53, 2143–2146. [Google Scholar] [CrossRef] [PubMed]
  28. Dutta, S.; Bučar, D.K.; Elacqua, E.; MacGillivray, L.R. Single-crystal-to-single-crystal direct cross-linking and photopolymerisation of a discrete Ag(I) complex to give a 1D polycyclobutane coordination polymer. Chem. Commun. 2013, 49, 1064–1066. [Google Scholar] [CrossRef] [PubMed]
  29. Yang, F.; Zheng, Q.; Chen, Z.; Ling, Y.; Liu, X.; Weng, L.; Zhou, Y. A three-dimensional structure built of paddle-wheel and triazolate-dinuclear metal clusters: Synthesis, deformation and reformation of paddle-wheel unit in the single-crystal-to-single-crystal transformation. CrystEngComm 2013, 15, 7031–7037. [Google Scholar] [CrossRef]
  30. Girard, J.; Fromm, K. Single crystal to single crystal polymorphic phase transition of a silver nitrate 24-crown-8 complex and its pseudo-polymorphism. CrystEngComm 2012, 14, 6487–6491. [Google Scholar] [CrossRef]
  31. Tripathi, S.; Srirambalaji, R.; Patra, S.; Anantharaman, G. Anion triggered and solvent assisted structural diversity and reversible single-crystal-to-single crystal (SCSC) transformation between 1D and 2D coordination polymers. CrystEngComm 2015, 17, 8876–8887. [Google Scholar] [CrossRef]
  32. Ding, B.; Wang, Y.Y.; Liu, S.X.; Wu, X.X.; Zhu, Z.Z.; Huo, J.Z.; Liu, Y.Y. A series of multi-dimensional metal-organic frameworks with trans-4,4′-azo-1,2,4-triazole: Polymorphism, guest induced single-crystal-to single-crystal transformation and solvatochromism. CrystEngComm 2015, 17, 5396–5409. [Google Scholar] [CrossRef]
  33. Lanza, A.; Germann, L.S.; Fisch, M.; Casati, N.; Macchi, P. Solid-state reversible nucleophilic addition in a highly flexible MOF. J. Am. Chem. Soc. 2015, 137, 13072–13078. [Google Scholar] [CrossRef] [PubMed]
  34. Tian, Y.; Allan, P.K.; Renouf, C.L.; He, X.; McCormick, L.J.; Morris, R.E. Synthesis and structural characterization of a single-crystal to single-crystal transformable coordination polymer. Dalton Trans. 2014, 43, 1519–1523. [Google Scholar] [CrossRef] [PubMed]
  35. Seki, T.; Sakurada, K.; Muromoto, M.; Ito, H. Photoinduced single-crystal-to-single-crystal phase transition and photosalient effect of a gold(I) isocyanide complex with shortening of intermolecular aurophilic bonds. Chem. Sci. 2015, 6, 1491–1497. [Google Scholar] [CrossRef] [PubMed]
  36. Li, C.P.; Zhou, H.; Wang, S.; Chen, J.; Wang, Z.L.; Du, M. Highly efficient Cr2O72− removal of a 3D metal-organic framework fabricated by tandem single-crystal to single-crystal transformations from a 1D coordination array. Chem. Commun. 2017, 53, 9206–9209. [Google Scholar] [CrossRef] [PubMed]
  37. Wu, J.Y.; Liu, Y.C.; Chao, T.C. From 1D Helix to 0D Loop: Nitrite anion induced structural transformation associated with unexpected N-nitrosation of amine ligand. Inorg. Chem. 2014, 53, 5581–5588. [Google Scholar] [CrossRef] [PubMed]
  38. Chen, D.M.; Shi, W.; Cheng, P. A cage-based cationic body-centered tetragonal metal-organic framework: Single-crystal to single-crystal transformation and selective uptake of organic dyes. Chem. Commun. 2015, 51, 370–372. [Google Scholar] [CrossRef] [PubMed]
  39. Niu, Z.; Ma, J.G.; Shi, W.; Cheng, P. Water molecule-driven reversible single-crystal to single-crystal transformation of a multi-metallic coordination polymer with controllable metal ion movement. Chem. Commun. 2014, 50, 1839–1841. [Google Scholar] [CrossRef] [PubMed]
  40. Legrand, Y.M.; van der Lee, A.; Masquelez, N.; Rabu, P.; Barboiu, M. Temperature induced single-crystal-to-single-crystal transformations andstructure directed effects on magnetic properties. Inorg. Chem. 2007, 46, 9083–9089. [Google Scholar] [CrossRef] [PubMed]
  41. Bardelang, D.; Udachin, K.A.; Anedda, R.; Moudrakovski, I.; Leek, D.M.; Ripmeester, J.A.; Ratcliffe, C.I. Single-crystal to single-crystal phase transition of cucurbit[5]uril hydrochloride hydrates: Large water-filled channels transforming to layers of unusual stability. Chem. Commun. 2008, 4927–4929. [Google Scholar] [CrossRef] [PubMed]
  42. Du, M.; Li, C.P.; Chen, M.; Ge, Z.W.; Wang, X.; Wang, L.; Liu, C.S. Divergent kinetic and thermodynamic hydration of a porous Cu(II) coordination polymer with exclusive CO2 sorption selectivity. J. Am. Chem. Soc. 2014, 136, 10906–10909. [Google Scholar] [CrossRef] [PubMed]
  43. Kumar, S.; Mandal, S.K. Capturing the structural diversification upon thermal desolvation of a robust metal-organic framework via a single-crystal-to-single-crystal transformation. CrystEngComm 2015, 17, 8801–8806. [Google Scholar] [CrossRef]
  44. Hong, X.J.; Wang, M.F.; Jin, H.G.; Zhan, Q.G.; Liu, Y.T.; Jia, H.Y.; Liu, X.; Cai, Y.P. Single-crystal to single-crystal transformation from a 1-D chain-like structure to a 2-D coordination polymer on heating. CrystEngComm 2013, 15, 5606–5611. [Google Scholar] [CrossRef]
  45. Wang, G.E.; Xu, G.; Li, P.X.; Wang, S.H.; Wang, M.S.; Guo, G.C.; Huang, J.S. Diplex single-crystal-to-single-crystal transformation by different inducement. CrystEngComm 2013, 15, 2579–2582. [Google Scholar] [CrossRef]
  46. Siu, C.K.; Ke, Y.; Guo, Y.; Hopkinson, A.C.; Siu, K.W.M. Dissociations of copper(II)-containing complexes of aromatic amino acids: Radical cations of tryptophan, tyrosine, and phenylalanine. Phys. Chem. Chem. Phys. 2008, 10, 5908–5918. [Google Scholar] [CrossRef] [PubMed]
  47. Rossin, A.; Giambastiani, G. Structural features and applications of metal-organic frameworks containing thiazole- and thiazolidine-based spacers. CrystEngComm 2015, 17, 218–228. [Google Scholar] [CrossRef]
  48. Rossin, A.; Credico, B.D.; Giambastiani, G.; Gonsalvi, L.; Peruzzini, M.; Reginato, G. Coordination chemistry of thiazole-based ligands: New complexes generating 3D hydrogen-bonded architectures. Eur. J. Inorg. Chem. 2011, 539–548. [Google Scholar] [CrossRef]
  49. Luo, T.T.; Wu, H.C.; Jao, Y.C.; Huang, S.M.; Tseng, T.W.; Wen, Y.S.; Lee, G.H.; Peng, S.M.; Lu, K.L. Self-assembled arrays of single-walled metal-organic nanotubes. Angew. Chem. Int. Ed. 2009, 48, 9461–9464. [Google Scholar] [CrossRef] [PubMed]
  50. Tseng, T.W.; Luo, T.T.; Tsai, C.H.; Chen, C.C.; Lee, G.H.; Wang, C.C.; Lu, K.L. Benzene absorption in a protuberant-grid-type zinc(II)-organic framework triggered by the migration of guest water molecules. Dalton Trans. 2015, 44, 62–65. [Google Scholar] [CrossRef] [PubMed]
  51. Mendiratta, S.; Usman, M.; Tseng, T.W.; Luo, T.T.; Lee, S.F.; Zhao, L.; Wu, M.K.; Lee, M.M.; Sun, S.S.; Lin, Y.C.; et al. Low dielectric behavior of a robust, guest-free magnesium(II)-organic framework: A potential application of an alkaline-earth metal compound. Eur. J. Inorg. Chem. 2015, 1669–1674. [Google Scholar] [CrossRef]
  52. Tseng, T.W.; Luo, T.T.; Liao, S.H.; Lu, K.H.; Lu, K.L. Isorecticular synthesis of dissectible molecular bamboo tubes of hexarhenium(I) benzene-1,2,3,4,5,6-hexaolate complexes. Angew. Chem. Int. Ed. 2016, 55, 8343–8347. [Google Scholar] [CrossRef] [PubMed]
  53. Tseng, T.W.; Lee, L.W.; Luo, T.T.; Chien, P.H.; Liu, Y.H.; Lee, S.L.; Wang, C.M.; Lu, K.L. Gate-opening upon CO2 adsorption on a metal-organic framework that mimics a natural stimuli-response system. Dalton Trans. 2017, 46, 14728–14732. [Google Scholar] [CrossRef] [PubMed]
  54. Bruker. SMART, SAINT and SADABS; Bruker AXS Inc.: Madison, WI, USA, 1998. [Google Scholar]
  55. Sheldrick, G.M. A Short History of SHELX. Acta Crystallogr. 2008, A64, 112–122. [Google Scholar] [CrossRef] [PubMed]
  56. Dong, L.; Chu, W.; Zhu, Q.; Huang, R. Three novel homochiral helical metal-organic frameworks based on amino acid ligand: Syntheses, crystal structures, and properties. Cryst. Growth Des. 2011, 11, 93–99. [Google Scholar] [CrossRef]
  57. Yang, J.R.; Xie, S.M.; Zhang, J.H.; Chen, L.; Nong, R.Y.; Yuan, L.M. Metal-organic framework [Cd(LTP)2]n for improved enantioseparations on a chiral cyclodextrin stationary phase in GC. J. Chromatogr. Sci. 2016, 54, 1467–1474. [Google Scholar] [CrossRef] [PubMed]
  58. Craciunescu, D.G.; Doadrio, A.; Furlani, A.; Scarcia, V. Synthesis and antitmnour properties of complexes with heavy transition metals and thioproline. Inorg. Chim. Acta 1982, 67, Lll–L13. [Google Scholar] [CrossRef]
  59. Li, Q.; Zhang, H.; Li, X.; Wang, B.; Hu, J.; Yao, F.; Yang, D.; Xiao, S.; Ye, L. Synthesis of thioproline salicylic acid samarium complex and microcalorimetric study on effects of the complex on the growth metabolism of S. pombe cells. Chin. J. Chem. 2011, 29, 2285–2292. [Google Scholar] [CrossRef]
  60. Wei, Y.S.; Chen, K.J.; Liao, P.Q.; Zhu, B.Y.; Lin, R.B.; Zhou, H.L.; Wang, B.Y.; Xue, W.; Zhang, J.P.; Chen, X.M. Turning on the flexibility of isoreticular porous coordination frameworks for drastically tunable framework breathing and thermal expansion. Chem. Sci. 2013, 4, 1539–1546. [Google Scholar] [CrossRef]
Scheme 1. The syntheses of Compounds 13.
Scheme 1. The syntheses of Compounds 13.
Polymers 10 00360 sch001
Figure 1. Available coordination modes between the tpro Ligand and the metal ion (Mn+).
Figure 1. Available coordination modes between the tpro Ligand and the metal ion (Mn+).
Polymers 10 00360 g001
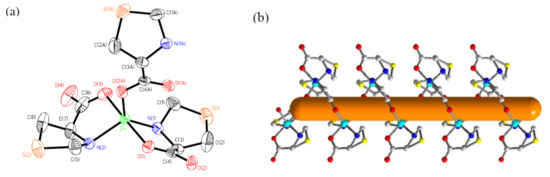
Figure 2. Structures of 1: (a) coordination environment of the Zn(II) ion; (b) a simplified 1D chain connected by hydrogen bonding interactions (orange dash lines).
Figure 2. Structures of 1: (a) coordination environment of the Zn(II) ion; (b) a simplified 1D chain connected by hydrogen bonding interactions (orange dash lines).
Polymers 10 00360 g002
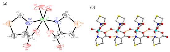
Figure 3. Structures of compound 2: (a) the coordination environment of the Zn(II) ion; (b) a simplified right-handed single-stranded helical chain.
Figure 3. Structures of compound 2: (a) the coordination environment of the Zn(II) ion; (b) a simplified right-handed single-stranded helical chain.
Polymers 10 00360 g003
Figure 4. Structures of compound 3: (a) the coordination environment of Zn(II) ion; (b) a simplified 2D homochiral layer with the Zn(II) ions and the carboxylate motifs from the tpro ligands in the ab plane, while the other motifs are omitted for clarity; (c) a 2D layer structure with a (4,4) topology.
Figure 4. Structures of compound 3: (a) the coordination environment of Zn(II) ion; (b) a simplified 2D homochiral layer with the Zn(II) ions and the carboxylate motifs from the tpro ligands in the ab plane, while the other motifs are omitted for clarity; (c) a 2D layer structure with a (4,4) topology.
Polymers 10 00360 g004
Figure 5. The PXRD patterns at different temperatures for compounds: 1 (a), 2 (b).
Figure 5. The PXRD patterns at different temperatures for compounds: 1 (a), 2 (b).
Polymers 10 00360 g005
Figure 6. A plausible mechanism for compound 1 underwent a structural transformation. Upon the removal of labile water (O6), creating the activation sites on the Zn(II) centers and the neighbouring carboxylate oxygen atoms (O2, O4) form the tpro ligands were also activated and distorted to a suitable orientation, so that they were facilely attacked to the Zn(II) centers in the solid state.
Figure 6. A plausible mechanism for compound 1 underwent a structural transformation. Upon the removal of labile water (O6), creating the activation sites on the Zn(II) centers and the neighbouring carboxylate oxygen atoms (O2, O4) form the tpro ligands were also activated and distorted to a suitable orientation, so that they were facilely attacked to the Zn(II) centers in the solid state.
Polymers 10 00360 g006
Figure 7. Representation of in situ synchrotron powder X-ray diffraction patterns of 1 during the phase transformations, indicating that compounds 2 and 3 were obtained in a ratio of 97.6% to 2.4%.
Figure 7. Representation of in situ synchrotron powder X-ray diffraction patterns of 1 during the phase transformations, indicating that compounds 2 and 3 were obtained in a ratio of 97.6% to 2.4%.
Polymers 10 00360 g007
Table 1. Crystal data and refinement details of 13.
Table 1. Crystal data and refinement details of 13.
Compounds123
formulaC8H16N2O6S2ZnC8H12N2O4S2Zn C8H12N2O4S2Zn
Mw365.72329.69329.69
crystal systemmonoclinicmonoclinic orthorhombic
space groupP21P21P212121
a (Å)6.0254(2)9.714(1) 5.8839(5)
b (Å)20.8382(9)5.7126(6)9.2587(8)
c (Å)6.1614(2)10.336(1)21.211(2)
α (deg)90.0090.00 90.00
β (deg)111.282(2)93.187(2)90.00
γ (deg)90.0090.0090.00
V3)720.86(5)572.7(1) 1157.5(2)
Z224
ρcalc/g·cm−31.6851.9121.892
2θ range (deg)3.91° to 27.50°1.97° to 27.49°1.92° to 27.50°
µ (mm−1)2.0142.5122.486
T/K295(2)295(2)295(2)
total no. of data collected68324467 8130
no. of observed data309026342655
no. of observed data (I > 2σ(I))267723662506
R1, wR2 (I > 2σ(I))0.0670, 0.17570.0380, 0.07730.0329, 0.0753
R1, wR2 (all data)0.0759, 0.18680.0442, 0.08050.0353, 0.0766
no. of variable169162162
GOF1.0380.9900.988
RF = ∑||FoFc||/∑|Fo|; Rw(F2) = [∑w|Fo2Fc2|2/∑w(Fo4)]1/2.

Share and Cite

MDPI and ACS Style

Tseng, T.-W.; Luo, T.-T.; Chiu, H.-S.; Wang, C.-C.; Lee, G.-H.; Sheu, H.-S.; Lu, K.-L. Structural Transformations of Amino-Acid-Based Polymers: Syntheses and Structural Characterization. Polymers 2018, 10, 360. https://doi.org/10.3390/polym10040360

AMA Style

Tseng T-W, Luo T-T, Chiu H-S, Wang C-C, Lee G-H, Sheu H-S, Lu K-L. Structural Transformations of Amino-Acid-Based Polymers: Syntheses and Structural Characterization. Polymers. 2018; 10(4):360. https://doi.org/10.3390/polym10040360

Chicago/Turabian Style

Tseng, Tien-Wen, Tzuoo-Tsair Luo, Hsiao-Shan Chiu, Chih-Chieh Wang, Gene-Hsiang Lee, Hwo-Shuenn Sheu, and Kuang-Lieh Lu. 2018. "Structural Transformations of Amino-Acid-Based Polymers: Syntheses and Structural Characterization" Polymers 10, no. 4: 360. https://doi.org/10.3390/polym10040360

APA Style

Tseng, T.-W., Luo, T.-T., Chiu, H.-S., Wang, C.-C., Lee, G.-H., Sheu, H.-S., & Lu, K.-L. (2018). Structural Transformations of Amino-Acid-Based Polymers: Syntheses and Structural Characterization. Polymers, 10(4), 360. https://doi.org/10.3390/polym10040360

Note that from the first issue of 2016, this journal uses article numbers instead of page numbers. See further details here.

Article Metrics

Back to TopTop