Hetero-Trinuclear CoII2-DyIII Complex with a Octadentate Bis(Salamo)-Like Ligand: Synthesis, Crystal Structure and Luminescence Properties
Abstract
:1. Introduction
2. Experimental Section
2.1. Materials and Physical Measurements
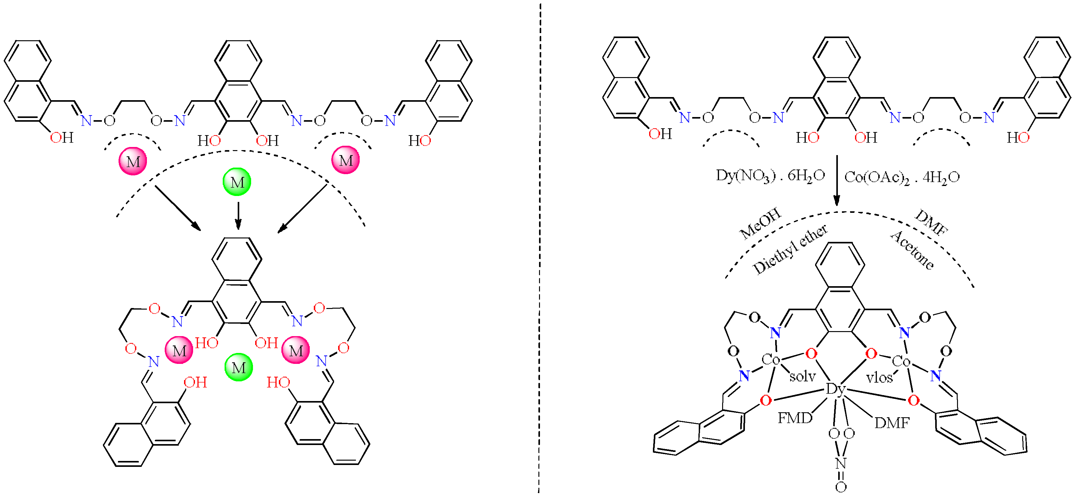
2.2. Synthesis and Characterization of the Ligand H4L
2.3. Synthesis of the CoII2-DyIII Complex
2.4. X-ray Structure Determination of the CoII2-DyIII Complex
3. Results and Discussion
3.1. IR Spectra of H4L and Its Corresponding CoII2-DyIII Complex
3.2. UV-Vis Absorption Spectra of H4L and Its Corresponding CoII2-DyIII Complex
3.3. Description of Crystal Structure of the CoII2-DyIII Complex
3.4. Supramolecular Interactions of the CoII2-DyIII Complex
3.5. Fluorescence Properties of the CoII2-DyIII Complex
4. Conclusions
Supplementary Materials
Acknowledgments
Author Contributions
Conflicts of Interest
References
- Song, X.Q.; Peng, Y.J.; Chen, G.Q.; Wang, X.R.; Liu, P.P.; Xu, W.Y. Substituted group-directed assembly of Zn(II) coordination complexes based on two new structural related pyrazolone based Salen ligands: Syntheses, structures and fluorescence properties. Inorg. Chim. Acta 2015, 427, 13–21. [Google Scholar] [CrossRef]
- Song, X.Q.; Xing, D.Y.; Lei, Y.K.; Zhao, M.M.; Cheng, G.Q. Lanthanide coordination polymers constructed by a new semirigid bridging salicylamide ligand: Synthesis, supramolecular structure and luminescence properties. Inorg. Chim. Acta 2013, 404, 113–122. [Google Scholar] [CrossRef]
- Song, X.Q.; Liu, P.P.; Xiao, Z.R.; Li, X.; Liu, Y.A. Four polynuclear complexes based on a versatile salicylamide salen-like ligand: Synthesis, structural variations and magnetic properties. Inorg. Chim. Acta 2015, 438, 232–244. [Google Scholar] [CrossRef]
- Sun, Y.X.; Gao, X.H. Synthesis, characterization, and crystal structure of a new CuII complex with salen-type ligand. Synth. React. Inorg. Met.-Org. Nano-Met. Chem. 2011, 41, 973–978. [Google Scholar] [CrossRef]
- Dong, W.K.; Li, X.L.; Wang, L.; Zhang, Y.; Ding, Y.J. A new application of Salamo-type bisoximes: As a relay-sensor for Zn2+/Cu2+ and its novel complexes for successive sensing of H+/OH−. Sens. Actuators B 2016, 229, 370–378. [Google Scholar] [CrossRef]
- Sun, Y.X.; Xu, L.; Zhao, T.H.; Liu, S.H.; Liu, G.H.; Dong, X.T. Synthesis and crystal structure of a 3D supramolecular copper(II) complex with 1-(3-{[(E)-3-bromo-5-chloro-2-hydroxybenzylidene]amino}phenyl) ethanone oxime. Synth. React. Inorg. Met.-Org. Nano-Met. Chem. 2013, 43, 509–513. [Google Scholar] [CrossRef]
- Dong, W.K.; Akogun, S.F.; Zhang, Y.; Sun, Y.X.; Dong, X.Y. A reversible “turn-on” fluorescent sensor for selective detection of Zn2+. Sens. Actuators B 2017, 238, 723–734. [Google Scholar] [CrossRef]
- Wang, B.J.; Dong, W.K.; Zhang, Y.; Akogun, S.F. A novel relay-sensor for highly sensitive and selective detection of Zn2+/Pic- and fluorescence on/off switch response of H+/OH−. Sens. Actuators B 2017, 247, 254–264. [Google Scholar] [CrossRef]
- Wang, F.; Gao, L.; Zhao, Q.; Zhang, Y.; Dong, W.K.; Ding, Y.J. A highly selective fluorescent chemosensor for CN- based on a novel bis(salamo)-type tetraoxime ligand. Spectrochim. Acta A 2018, 190, 111–115. [Google Scholar] [CrossRef] [PubMed]
- Song, X.Q.; Zheng, Q.F.; Wang, L.; Liu, W.S. Synthesis and luminescence properties of lanthanide complexes with a new tripodal ligand featuring N-thenylsalicylamide arms. Luminescence 2010, 25, 328–335. [Google Scholar] [CrossRef] [PubMed]
- Li, X.Y.; Chen, L.; Gao, L.; Zhang, Y.; Akogun, S.F.; Dong, W.K. Syntheses, crystal structures and catalytic activities of two solvent-induced homotrinuclear Co(II) complexes with a naphthalenediol-based bis(Salamo)-type tetraoxime ligand. RSC Adv. 2017, 7, 35905–35916. [Google Scholar] [CrossRef]
- Tao, C.H.; Ma, J.C.; Zhu, L.C.; Zhang, Y.; Dong, W.K. Heterobimetallic 3d–4f Zn(II)–Ln(III) (Ln = Sm, Eu, Tb and Dy) complexes with a N2O4 bisoxime chelate ligand and a simple auxiliary ligand Py: Syntheses, structures and luminescence properties. Polyhedron 2017, 128, 38–45. [Google Scholar] [CrossRef]
- Dong, W.K.; Zhang, J.; Zhang, Y.; Li, N. Novel multinuclear transition metal(II) complexes based on an asymmetric salamo-type ligand: Syntheses, structure characterizations and fluorescent properties. Inorg. Chim. Acta 2016, 444, 95–102. [Google Scholar] [CrossRef]
- Song, X.Q.; Liu, P.P.; Liu, Y.A.; Zhou, J.J.; Wang, X.L. Two dodecanuclear heterometallic [Zn6Ln6] clusters constructed by a multidentate salicylamide salen-like ligand: Synthesis, structure, luminescence and magnetic properties. Dalton Trans. 2016, 45, 8154–8163. [Google Scholar] [CrossRef] [PubMed]
- Wu, H.L.; Pan, G.L.; Wang, H.; Wang, X.L.; Bai, Y.C.; Zhang, Y.H. Study on synthesis, crystal structure, antioxidant and DNA-binding of mono-, di- and poly-nuclear lanthanides complexes with bis(N-salicylidene)-3-oxapentane-1,5-diamine. J. Photochem. Photobio. B 2014, 135, 33–43. [Google Scholar] [CrossRef] [PubMed]
- Wu, H.L.; Pan, G.L.; Bai, Y.C.; Wang, H.; Kong, J.; Shi, F.; Zhang, Y.H.; Wang, X.L. Preparation, structure, DNA-binding properties, and antioxidant activities of a homodinuclear erbium(III) complex with a pentadentate Schiff base ligand. J. Chem. Res. 2014, 38, 211–217. [Google Scholar] [CrossRef]
- Wu, H.L.; Pan, G.L.; Bai, Y.C.; Wang, H.; Kong, J.; Shi, F.R.; Zhang, Y.H.; Wang, X.L. A Schiff base bis(N-salicylidene)-3-oxapentane-1,5-diamine and its yttrium(III) complex: Synthesis, crystal structure, DNA-binding properties, and antioxidant activities. J. Coord. Chem. 2013, 66, 2634–2646. [Google Scholar] [CrossRef]
- Wu, H.L.; Bai, Y.C.; Zhang, Y.H.; Pan, G.L.; Kong, J.; Shi, F.; Wang, X.L. Two lanthanide(III) complexes based on the Schiff base N,N-bis(salicylidene)-1,5-diamino-3-oxapentane: Synthesis, characterization, DNA-binding properties, and antioxidation. Z. Anorg. Allg. Chem. 2014, 640, 2062–2071. [Google Scholar] [CrossRef]
- Chen, C.Y.; Zhang, J.W.; Zhang, Y.H.; Yang, Z.H.; Wu, H.L. Gadolinium(III) and dysprosium(III) complexes with a Schiff base bis(N-salicylidene)-3-oxapentane-1,5-diamine: Synthesis, characterization, antioxidation, and DNA-binding studies. J. Coord. Chem. 2015, 68, 1054–1071. [Google Scholar] [CrossRef]
- Wu, H.L.; Wang, C.P.; Wang, F.; Peng, H.P.; Zhang, H.; Bai, Y.C. A new manganese(III) complex from bis(5-methylsalicylaldehyde)-3-oxapentane-1,5-diamine: Synthesis, characterization, antioxidant activity and luminescence. J. Chin. Chem. Soc. 2015, 62, 1028–1034. [Google Scholar] [CrossRef]
- Wu, H.L.; Pan, G.L.; Bai, Y.C.; Wang, H.; Kong, J. Synthesis, structure, antioxidation, and DNA-bindingstudies of a binuclear ytterbium(III) complex with bis(N-salicylidene)-3-oxapentane-1,5-diamine. Res. Chem. Intermed. 2015, 41, 3375–3388. [Google Scholar] [CrossRef]
- Dong, W.K.; Lan, P.F.; Zhou, W.M.; Zhang, Y. Salamo-type trinuclear and tetranuclear cobalt(II) complexes based on a new asymmetry Salamotype ligand: Syntheses, crystal structures, and fluorescence properties. J. Coord. Chem. 2016, 65, 1272–1283. [Google Scholar] [CrossRef]
- Dong, W.K.; Ma, J.C.; Zhu, L.C.; Zhang, Y.; Li, X.L. Four new nickel(II) complexes based on an asymmetric Salamo-type ligand: Synthesis, structure, solvent effect and electrochemical property. Inorg. Chim. Acta 2016, 445, 140–148. [Google Scholar] [CrossRef]
- Hu, J.H.; Li, J.B.; Qi, J.; Sun, Y. Selective colorimetric and “turn-on” fluorimetric detection of cyanide using an acylhydrazone sensor in aqueous media. New J. Chem. 2015, 39, 4041–4046. [Google Scholar] [CrossRef]
- Hu, J.H.; Li, J.B.; Qi, J.; Chen, J.J. Highly selective and effective mercury (II) fluorescent sensor. New J. Chem. 2015, 39, 843–848. [Google Scholar] [CrossRef]
- Hu, J.H.; Yan, N.P.; Chen, J.J.; Li, J.B. Synthesis of azosalicylic aldehyde of benzoyl hydrazone based sensor and it’s colorimetric sensing properties for cyanide anions in aqueous solutions. Chem. J. Chin. Univ. 2013, 34, 1368–1373. [Google Scholar]
- Li, J.B.; Hu, J.H.; Chen, J.J.; Qi, J. Cyanide detection using a benzimidazole derivative in aqueous media. Spectrochim. Acta A 2014, 133, 773–777. [Google Scholar] [CrossRef] [PubMed]
- Hu, J.H.; Li, J.B.; Qi, J.; Sun, Y. Acylhydrazone based fluorescent chemosensor for zinc in aqueous solution with high selectivity and sensitivity. Sens. Actuators B 2015, 208, 581–587. [Google Scholar] [CrossRef]
- Sun, Y.; Hu, J.H.; Qi, J.; Li, J.B. A highly selective colorimetric and “turn-on” fluorimetric chemosensor for detecting CN- based on unsymmetrical azine derivatives in aqueous media. Spectrochim. Acta A 2016, 167, 101–105. [Google Scholar] [CrossRef] [PubMed]
- Qi, J.; Hu, J.H.; Chen, J.J.; Sun, Y.; Li, J.B. Cyanide detection using azo-acylhydrazone in aqueous media with high sensitivity and selectivity. Current Anal. Chem. 2016, 12, 119–123. [Google Scholar] [CrossRef]
- Hu, J.H.; Li, J.B.; Qi, J.; Sun, Y. Studies on the crystal structure and characterization of N-(4-acetylphenyl)-N′-(2-nitrobenzoyl)-thiourea. Phosphorus Sulfur Silicon Relat. Elem. 2016, 191, 984–987. [Google Scholar] [CrossRef]
- Hu, J.H.; Sun, Y.; Qi, J.; Li, Q.; Wei, T.B. A new unsymmetrical azine derivative based on coumarin group as dual-modal sensor for CN- and fluorescent “OFF–ON” for Zn2+. Spectrochim. Acta A 2017, 175, 125–133. [Google Scholar] [CrossRef] [PubMed]
- Sun, Y.X.; Zhang, S.T.; Ren, Z.L.; Dong, X.Y.; Wang, L. Synthesis, characterization, and crystal structure of a new supramolecular CdII complex with halogen-substituted salen-type bisoxime. Synth. React. Inorg. Met.-Org. Nano-Met. Chem. 2013, 43, 995–1000. [Google Scholar] [CrossRef]
- Zhao, L.; Dang, X.T.; Chen, Q.; Zhao, J.X.; Wang, L. Synthesis, crystal structure and spectral properties of a 2D supramolecular copper(II) complex with 1-(4-{[(E)-3-ethoxyl-2-hydroxybenzylidene]amino}phenyl)ethanone oxime. Synth. React. Inorg. Met.-Org. Nano-Met. Chem. 2013, 43, 1241–1246. [Google Scholar] [CrossRef]
- Dong, X.Y.; Li, X.Y.; Liu, L.Z.; Zhang, H.; Ding, Y.J.; Dong, W.K. Tri- and hexanuclear heterometallic Ni(II)–M(II) (M = Ca, Sr and Ba) bis(salamo)-type complexes: Synthesis, structure and fluorescence properties. RSC Adv. 2017, 7, 48394–48403. [Google Scholar] [CrossRef]
- Darensbourg, D.J. Making plastics from carbon dioxide: Salen metal complexes as catalysts for the production of polycarbonates from epoxides and CO2. Chem. Rev. 2007, 107, 2388–2410. [Google Scholar] [CrossRef] [PubMed]
- Li, L.H.; Dong, W.K.; Zhang, Y.; Akogun, S.F.; Xu, L. Syntheses, structures and catecholase activities of homo-and hetero-trinuclear cobalt(II) complexes constructed from an acyclic naphthalenediol-based bis(salamo)-type ligand. Appl. Organomet. Chem. 2017, 31, e3818. [Google Scholar] [CrossRef]
- Chai, L.Q.; Huang, J.J.; Zhang, H.S.; Zhang, Y.L.; Zhang, J.Y.; Li, Y.X. An unexpected cobalt(III) complex containing a Schiff base ligand: Synthesis, crystal structure, spectroscopic behavior, electrochemical property and SOD-like activity. Spectrochim. Acta A 2014, 131, 526–533. [Google Scholar] [CrossRef] [PubMed]
- Chai, L.Q.; Tang, L.J.; Chen, L.C.; Huang, J.J. Structural, spectral, electrochemical and DFT studies of two mononuclear manganese(II) and zinc(II) complexes. Polyhedron 2017, 122, 228–240. [Google Scholar] [CrossRef]
- Chai, L.Q.; Zhang, K.Y.; Tang, L.J.; Zhang, J.Y.; Zhang, H.S. Two mono- and dinuclear Ni(II) complexes constructed from quinazoline-type ligands: Synthesis, X-ray structures, spectroscopic, electrochemical, thermal, and antimicrobial studies. Polyhedron 2017, 130, 100–107. [Google Scholar] [CrossRef]
- Li, G.; Hao, J.; Liu, L.Z.; Zhou, W.M.; Dong, W.K. Syntheses, crystal structures and thermal behaviors of two supramolecular salamo-type cobalt(II) and zinc(II) complexes. Crystals 2017, 7, 217. [Google Scholar] [CrossRef]
- Chai, L.Q.; Mao, K.H.; Zhang, J.Y.; Zhang, K.Y.; Zhang, H.S. Synthesis, X-ray crystal structure, spectroscopic, electrochemical and antimicrobial studies of a new dinuclear cobalt(III) complex. Inorg. Chim. Acta 2017, 457, 34–40. [Google Scholar] [CrossRef]
- Akine, S.; Taniguchi, T.; Nabeshima, T. Synthesis and characterization of novel ligands 1,2-Bis(salicylideneaminooxy)ethanes. Chem. Lett. 2001, 30, 682–683. [Google Scholar] [CrossRef]
- Dong, Y.J.; Dong, X.Y.; Dong, W.K.; Zhang, Y.; Zhang, L.S. Three asymmetric Salamo-type copper(II) and cobalt(II) complexes: Syntheses, structures, fluorescent properties. Polyhedron 2017, 123, 305–315. [Google Scholar] [CrossRef]
- Zhao, L.; Wang, L.; Sun, Y.X.; Dong, W.K.; Tang, X.L.; Gao, X.H. A supramolecular copper(II) complex bearing salen-type bisoxime ligand: Synthesis, structural characterization, and thermal property. Synth. React. Inorg. Met.-Org. Nano-Met. Chem. 2012, 42, 1303–1308. [Google Scholar] [CrossRef]
- Akine, S.; Taniguchi, T.; Nabeshima, T. Acyclic bis(N2O2 chelate) ligand for trinuclear d-block homo- and heterometal complexes. Inorg. Chem. 2008, 47, 3255–3264. [Google Scholar] [CrossRef] [PubMed]
- Zheng, S.S.; Dong, W.K.; Zhang, Y.; Chen, L.; Ding, Y.J. Four Salamo-type 3d–4f hetero-bimetallic [ZnIILnIII] complexes: Syntheses, crystal structures, and luminescent and magnetic properties. New J. Chem. 2017, 41, 4966–4973. [Google Scholar] [CrossRef]
- Dong, Y.J.; Li, X.L.; Zhang, Y.; Dong, W.K. A highly selective visual and fluorescent sensor for Pb2+ and Zn2+ and crystal structure of Cu2+ complex based-on a novel single-armed Salamo-type bisoxime. Supramol. Chem. 2017, 29, 518–527. [Google Scholar] [CrossRef]
- Dong, W.K.; Ma, J.C.; Zhu, L.C.; Zhang, Y. Nine self–assembled nickel(II)-lanthanide(III) heterometallic complexes constructed from a Salamo–type bisoxime and bearing N- or O-donor auxiliary ligand: Syntheses, structures and magnetic properties. New J. Chem. 2016, 40, 6998–7010. [Google Scholar] [CrossRef]
- Song, X.Q.; Wang, L.; Zheng, Q.F.; Liu, W.S. Synthesis, crystal structure and luminescence properties of lanthanide complexes with a new semirigid bridging furfurylsalicylamide ligand. Inorg. Chim. Acta 2013, 391, 171–178. [Google Scholar] [CrossRef]
- Chai, L.Q.; Liu, G.; Zhang, J.Y.; Huang, J.J.; Tong, J.F. Synthesis, crystal structure, fluorescence, electrochemical property, and SOD-like activity of an unexpected nickel(II) complex with a quinazoline-type ligand. J. Coord. Chem. 2013, 66, 3926–3938. [Google Scholar] [CrossRef]
- Ma, J.C.; Dong, X.Y.; Dong, W.K.; Zhang, Y.; Zhu, L.C.; Zhang, J.T. An unexpected dinuclear Cu(II) complex with a bis(Salamo) chelating ligand: Synthesis, crystal structure, and photophysical properties. J. Coord. Chem. 2016, 69, 149–159. [Google Scholar] [CrossRef]
- Hao, J.; Liu, L.Z.; Dong, W.K.; Zhang, J.; Zhang, Y. Three multinuclear Co(II), Zn(II) and Cd(II) complexes based on a single-armed salamo-type bisoxime: Syntheses, structural characterizations and fluorescent properties. J. Coord. Chem. 2017, 70, 1936–1952. [Google Scholar] [CrossRef]
- Liu, P.P.; Sheng, L.; Song, X.Q.; Xu, W.Y.; Liu, Y.A. Synthesis, structure and magnetic properties of a new one dimensional manganese coordination polymer constructed by a new asymmetrical ligand. Inorg. Chim. Acta 2015, 434, 252–257. [Google Scholar] [CrossRef]
- Griffiths, K.; Gallop, C.W.D.; Abdul-Sada, A.; Vargas, A.; Navarro, O.; Kostakis, G.E. Heteronuclear 3d/DyIII coordination clusters as catalysts in a domino reaction. Chem. Eur. J. 2015, 21, 6358–6361. [Google Scholar] [CrossRef] [PubMed]
- Griffiths, K.; Kumar, P.; Akien, G.R.; Chilton, N.F.; Abdul-Sada, A.; Tizzard, G.J.; Coles, S.J.; Kostakis, G.E. Tetranuclear Zn/4f coordination clusters as highly efficient catalysts for Friedel-Crafts alkylation. Chem. Commun. 2016, 52, 7866–7869. [Google Scholar] [CrossRef] [PubMed]
- Kumar, P.; Griffiths, K.; Lymperopoulou, S.; Kostakis, G.E. Tetranuclear Zn2Ln2 coordination clusters as catalysts in the petasis borono-mannich multicomponent reaction. RSC Adv. 2016, 6, 79180–79184. [Google Scholar] [CrossRef]
- Griffiths, K.; Kumar, P.; Mattock, J.D.; Abdul-Sada, A.; Pitak, M.B.; Coles, S.J.; Navarro, O.; Vargas, A.; Kostakis, G.E. Efficient NiII2LnIII2 electrocyclization catalysts for the synthesis of trans-4,5-diaminocyclopent-2-enones from 2-furaldehyde and primary or secondary amines. Inorg. Chem. 2016, 55, 6988–6994. [Google Scholar] [CrossRef] [PubMed]
- Kumar, P.; Lymperopoulou, S.; Griffiths, K.; Sampani, S.I.; Kostakis, G.E. Highly efficient tetranuclear ZnII2LnIII2 catalysts for the friedel-crafts alkylation of indoles and nitrostyrenes. Catalysts 2016, 6, 140. [Google Scholar] [CrossRef]
- Griffiths, K.; Tsipis, A.C.; Kumar, P.; Townrow, O.P.E.; Abdul-Sada, A.; Akien, G.R.; Baldansuren, A.; Spivey, A.C.; Kostakis, G.E. 3d/4f coordination clusters as cooperative catalysts for highly diastereoselective michael addition reactions. Inorg. Chem. 2017, 56, 9563–9573. [Google Scholar] [CrossRef] [PubMed]
- Sampani, S.I.; Aubert, S.; Cattoen, M.; Griffiths, K.; Abdul-Sada, A.; Akien, G.R.; Tizzard, G.J.; Coles, S.J.; Arseniyadis, S.; Kostakis, G.E. Dinucleating Schiff base ligand in Zn/4f coordination chemistry: Synthetic challenges and catalytic activity evaluation. Dalton Trans. 2018, 47, 4486–4493. [Google Scholar] [CrossRef] [PubMed]
- Wang, L.; Hao, J.; Zhai, L.X.; Zhang, Y.; Dong, W.K. Synthesis, crystal structure, luminescence, electrochemical and antimicrobial properties of bis(salamo)-based Co(II) complex. Crystals 2017, 7, 277. [Google Scholar] [CrossRef]
- Sheldrick, G.M. SHELXL-2016, Program for Crystal Structure Refinement; University of Göttingen: Göttingen, Germany, 1997. [Google Scholar]
- Gao, L.; Wang, F.; Zhao, Q.; Zhang, Y.; Dong, W.K. Mononuclear Zn(II) and trinuclear Ni(II) complexes derived from a coumarin-containing N2O2 ligand: Syntheses, crystal structures and fluorescence properties. Polyhedron 2018, 139, 7–16. [Google Scholar] [CrossRef]
- Wang, P.; Zhao, L. An infinite 2D supramolecular cobalt(II) complex based on an asymmetric Salamo-type ligand: Synthesis, crystal structure, and spectral properties. Synth. React. Inorg. Met.-Org. Nano-Met. Chem. 2016, 46, 1095–1101. [Google Scholar] [CrossRef]
- Dong, Y.J.; Ma, J.C.; Zhu, L.C.; Dong, W.K.; Zhang, Y. Four 3d–4f heteromultinuclear zinc(II)–lanthanide(III) complexes constructed from a distinct hexadentate N2O2-type ligand: Syntheses, structures and photophysical properties. J. Coord. Chem. 2017, 70, 103–115. [Google Scholar] [CrossRef]
- Dong, W.K.; Zhang, F.; Li, N.; Xu, L.; Zhang, Y.; Zhang, J.; Zhu, L.C. Trinuclear cobalt(II) and zinc(II) salamo–type complexes: Syntheses, crystal structures, and fluorescent properties. Z. Anorg. Allg. Chem. 2016, 642, 532–538. [Google Scholar] [CrossRef]
- Sun, Y.X.; Zhao, Y.Y.; Li, C.Y.; Yu, B.; Guo, J.Q.; Li, J. Supramolecular cobalt(II) and copper(II) complexes with Schiff base ligand: Syntheses, characterizations and crystal structures. Chin. J. Inorg. Chem. 2016, 32, 913–920. [Google Scholar]
- Dong, X.Y.; Sun, Y.X.; Wang, L.; Li, L. Synthesis and structure of a penta- and hexa-coordinated tri-nuclear cobalt(II) complex. J. Chem. Res. 2012, 36, 387–390. [Google Scholar] [CrossRef]
- Dong, X.Y.; Gao, L.; Wang, F.; Zhang, Y.; Dong, W.K. Tri- and mono-nuclear zinc(II) complexes based on half- and mono-salamo chelating ligands. Crystals 2017, 7, 267. [Google Scholar] [CrossRef]
- Chen, L.; Dong, W.K.; Zhang, H.; Zhang, Y.; Sun, Y.X. Structural variation and luminescence properties of tri- and dinuclear CuII and ZnII complexes constructed from a naphthalenediol-based bis(Salamo)-type ligand. Cryst. Growth Des. 2017, 17, 3636–3648. [Google Scholar] [CrossRef]
- Hao, J.; Li, L.L.; Zhang, J.T.; Akogun, S.F.; Wang, L.; Dong, W.K. Four homo- and hetero-bismetallic 3d/3d-2s complexes constructed from a naphthalenediol-based acyclic bis(salamo)-type tetraoxime ligand. Polyhedron 2017, 134, 1–10. [Google Scholar] [CrossRef]
- Dong, X.Y.; Akogun, S.F.; Zhou, W.M.; Dong, W.K. Tetranuclear Zn(II) complex based on an asymmetrical salamo-type chelating ligand: Synthesis, structural characterization, and fluorescence property. J. Chin. Chem. Soc. 2017, 64, 412–419. [Google Scholar] [CrossRef]
- Xu, L.; Zhu, L.C.; Ma, J.C.; Zhang, Y.; Zhang, J.; Dong, W.K. Syntheses, structures and spectral properties of mononuclear CuII and dimeric ZnII complexes based on an asymmetric Salamo-type N2O2 ligand. Z. Anorg. Allg. Chem. 2015, 641, 2520–2524. [Google Scholar] [CrossRef]
- Dong, W.K.; Zheng, S.S.; Zhang, J.T.; Zhang, Y.; Sun, Y.X. Luminescent properties of heterotrinuclear 3d–4f complexes constructed from a naphthalenediol-based acyclic bis(salamo)-type ligand. Spectrochim. Acta A 2017, 184, 141–150. [Google Scholar] [CrossRef] [PubMed]
- Wang, P.; Zhao, L. Synthesis, structure and spectroscopic properties of the trinuclear cobalt(II) and nickel(II) complexes based on 2-hydroxynaphthaldehyde and bis(aminooxy)alkane. Spectrochim. Acta Part A 2015, 135, 342–350. [Google Scholar] [CrossRef] [PubMed]
- Sun, Y.X.; Wang, L.; Dong, X.Y.; Ren, Z.L.; Meng, W.S. Synthesis, characterization, and crystal structure of a supramolecular CoII complex containing Salen-type bisoxime. Synth. React. Inorg. Met.-Org. Nano-Met. Chem. 2013, 43, 599–603. [Google Scholar] [CrossRef]
- Dong, W.K.; Ma, J.C.; Zhu, L.C.; Zhang, Y. Self-assembled zinc(II)-lanthanide(III) heteromultinuclear complexes constructed from 3-MeOsalamo ligand: Syntheses, structures and luminescent properties. Cryst. Growth Des. 2016, 16, 6903–6914. [Google Scholar] [CrossRef]










| [Co2L(DMF)2Dy(NO3)3]·C2H5O2 | |
|---|---|
| Formula | C52H62Co2DyN9O21 |
| Formula weight | 1429.46 |
| Temperature (K) | 293(2) |
| Wavelength (Å) | 0.71073 |
| Crystal system | monoclinic |
| Space group | P121/m1 |
| a (Å) | 9.2838(4) |
| b (Å) | 24.9653(11) |
| c (Å) | 12.7982(6) |
| β (°) | 97.059(4)° |
| V(Å3) | 2943.8(2) |
| Z | 2 |
| Dcalc (g·cm−3) | 1.613 |
| µ (mm−1) | 1.897 |
| F (000) | 1450 |
| Crystal size (mm) | 0.26 × 0.24 × 0.23 |
| θ Range (°) | 3.310–26.017 |
| −11 ≤ h ≤ 10 | |
| Index ranges | −30 ≤ k ≤ 25 |
| −15 ≤ l ≤ 11 | |
| Reflections collected | 11,948 |
| Independent reflections | 5933 |
| Rint | 0.0456 |
| Completeness to θ | 99.7% (θ = 26.32) |
| Data/restraints/parameters | 5933/3/422 |
| GOF | 1.028 |
| Final R1, wR2 indices [I > 2σ(I)] | 0.0426/0.0758 |
| Final R1, wR2 indices (all data) | 0.0590/0.0854 |
| Largest differences peak and hole (e Å−3) | 0.840/−1.044 |
| Bond | Lengths | Bond | Lengths | Bond | Lengths |
| Dy1–O1#1 | 2.339(3) | Dy1–O9 | 2.480(4) | Co1–O1 | 2.104(3) |
| Dy1–O1 | 2.339(3) | Dy1–O11 | 2.316(3) | Co1–O4 | 1.983(3) |
| Dy1–O4#1 | 2.383(2) | Dy1–O12 | 2.275(5) | Co1–O5 | 2.210(3) |
| Dy1–O4 | 2.383(2) | Dy1–O12#1 | 2.275(5) | Co1–O6 | 2.159(3) |
| Dy1–O8 | 2.400(4) | Dy1–N4 | 2.861(5) | Co1–N1 | 2.034(3) |
| Bond | Angles | Bond | Angles | Bond | Angles |
| O1#1–Dy1–O1 | 158.66(13) | O9–Dy1–N4 | 26.13(13) | O12–Dy1–O11 | 76.66(17) |
| O1#1–Dy1–O4 | 132.84(9) | O11–Dy1–O1#1 | 80.97(6) | O12#1–Dy1–O11 | 76.66(17) |
| O1–Dy1–O4 | 68.05(9) | O11–Dy1–O1 | 80.97(6) | O12#1–Dy1–O12 | 18.2(5) |
| O1–Dy1–O4#1 | 132.84(9) | O11–Dy1–O4 | 142.30(8) | O12–Dy1–N4 | 170.7(2) |
| O1#1–Dy1–O4#1 | 68.05(9) | O11–Dy1–O4#1 | 142.30(8) | O12#1–Dy1–N4 | 170.7(2) |
| O1–Dy1–O8 | 91.00(7) | O11–Dy1–O8 | 127.46(15) | O1–Co1–O5 | 100.03(12) |
| O1#1–Dy1–O8 | 91.00(7) | O11–Dy1–O9 | 75.60(14) | O1–Co1–O6 | 91.67(12) |
| O1#1–Dy1–O9 | 82.29(7) | O11–Dy1–N4 | 101.74(15) | O4–Co1–O1 | 80.49(11) |
| O1–Dy1–O9 | 82.29(7) | O12–Dy1–O1 | 102.3(2) | O4–Co1–O5 | 91.68(12) |
| O1–Dy1–N4 | 86.31(7) | O12#1–Dy1–O1#1 | 102.3(2) | O4–Co1–O6 | 147.62(12) |
| O1#1–Dy1–N4 | 86.31(7) | O12–Dy1–O1#1 | 84.4(2) | O4–Co1–N1 | 111.71(12) |
| O4#1–Dy1–O4 | 64.84(12) | O12#1–Dy1–O1 | 84.4(2) | O4–Co1–N2 | 87.13(12) |
| O4#1–Dy1–O8 | 75.65(11) | O12–Dy1–O4#1 | 79.37(18) | O6–Co1–O5 | 58.58(12) |
| O4–Dy1–O8 | 75.65(11) | O12#1–Dy1–O4 | 79.37(18) | N1–Co1–O1 | 82.90(12) |
| O4–Dy1–O9 | 118.79(10) | O12#1–Dy1–O4#1 | 89.13(18) | N1–Co1–O5 | 156.54(14) |
| O4#1–Dy1–O9 | 118.79(10) | O12–Dy1–O4 | 89.13(18) | N1–Co1–O6 | 98.23(13) |
| O4#1–Dy1–N4 | 97.30(12) | O12#1–Dy1–O8 | 154.48(18) | N1–Co1–N2 | 94.30(13) |
| O4–Dy1–N4 | 97.30(12) | O12–Dy1–O8 | 154.48(18) | N2–Co1–O1 | 165.20(12) |
| O8–Dy1–O9 | 51.86(14) | O12#1–Dy1–O9 | 150.76(17) | N2–Co1–O5 | 88.34(13) |
| O8–Dy1–N4 | 25.73(14) | O12–Dy1–O9 | 150.76(17) | N2–Co1–O6 | 103.12(13) |
| D–H···A | H···A | D···A | D–H···A | Symmetry Codes |
|---|---|---|---|---|
| C13–H13B··· O6 | 2.58 | 3.497(6) | 158 | |
| C20–H20··· O12 | 2.53 | 3.041(8) | 115 | |
| O8–H8 ···O7 | 2.57 | 3.378(6) | 145 | 1-x, 1-y, -z |
| O12–H12A ···O7 | 2.51 | 3.476(6) | 174 | 1-x, 1-y, -z |
| C20–H20··· O10 | 2.54 | 3.403(7) | 154 | -1+x, y, z |
| C21–H21A··· O10 | 2.46 | 3.358(9) | 155 | -1+x, y, z |
| C21–H21C··· O13 | 2.46 | 3.421(6) | 176 | x, 1/2-y, z |
| C13–H13A··· Cg1 | 2.79 | 140 | 1-x, 1-y, -z | |
| C27–H27A··· Cg2 | 2.70 | 167 | x, y, z | |
| C24–H24C··· Cg3 | 2.72 | 122 | -1+x, 1/2-y, z | |
| C22–H22B··· Cg4 | 2.97 | 107 | x, 1/2-y, 1+z |
© 2018 by the authors. Licensee MDPI, Basel, Switzerland. This article is an open access article distributed under the terms and conditions of the Creative Commons Attribution (CC BY) license (http://creativecommons.org/licenses/by/4.0/).
Share and Cite
Yang, Y.-H.; Hao, J.; Li, X.-Y.; Zhang, Y.; Dong, W.-K. Hetero-Trinuclear CoII2-DyIII Complex with a Octadentate Bis(Salamo)-Like Ligand: Synthesis, Crystal Structure and Luminescence Properties. Crystals 2018, 8, 174. https://doi.org/10.3390/cryst8040174
Yang Y-H, Hao J, Li X-Y, Zhang Y, Dong W-K. Hetero-Trinuclear CoII2-DyIII Complex with a Octadentate Bis(Salamo)-Like Ligand: Synthesis, Crystal Structure and Luminescence Properties. Crystals. 2018; 8(4):174. https://doi.org/10.3390/cryst8040174
Chicago/Turabian StyleYang, Yu-Hua, Jing Hao, Xiao-Yan Li, Yang Zhang, and Wen-Kui Dong. 2018. "Hetero-Trinuclear CoII2-DyIII Complex with a Octadentate Bis(Salamo)-Like Ligand: Synthesis, Crystal Structure and Luminescence Properties" Crystals 8, no. 4: 174. https://doi.org/10.3390/cryst8040174
APA StyleYang, Y.-H., Hao, J., Li, X.-Y., Zhang, Y., & Dong, W.-K. (2018). Hetero-Trinuclear CoII2-DyIII Complex with a Octadentate Bis(Salamo)-Like Ligand: Synthesis, Crystal Structure and Luminescence Properties. Crystals, 8(4), 174. https://doi.org/10.3390/cryst8040174

