Next Article in Journal
Hetero-Trinuclear CoII2-DyIII Complex with a Octadentate Bis(Salamo)-Like Ligand: Synthesis, Crystal Structure and Luminescence Properties
Previous Article in Journal
Crystal Structure of the Catalytic Domain of MCR-1 (cMCR-1) in Complex with d-Xylose
 
 
Font Type:
Arial Georgia Verdana
Font Size:
Aa Aa Aa
Line Spacing:
Column Width:
Background:
Article

Structures and Fluorescent and Magnetic Behaviors of Newly Synthesized NiII and CuII Coordination Compounds

School of Chemical and Biological Engineering, Lanzhou Jiaotong University, Lanzhou 730070, China
*
Author to whom correspondence should be addressed.
Crystals 2018, 8(4), 173; https://doi.org/10.3390/cryst8040173
Submission received: 20 March 2018 / Revised: 15 April 2018 / Accepted: 16 April 2018 / Published: 18 April 2018
(This article belongs to the Section Crystal Engineering)

Abstract

:
Newly designed three trinuclear coordination compounds [Ni3(L1)2(OAc)2(CH3OH)2] (1), [Ni3(L1)2(OAc)2(CH3CH2CH2OH)2]·2CH3CH2CH2OH (2) and [Ni3(L1)2(OAc)2(DMF)2]·1.71DMF (3) and one mononuclear coordination compound [Cu(L2)2] (4) have been synthesized by H2L1 and nickel(II) and copper(II) acetate hydrates in different solvents. Single-crystal X-ray structure determinations revealed that the coordination compounds 13 have analogous molecular structures. The coordination compounds 1, 2, and 3 were affected by the coordinated methanol, n-propanol, and N,N-dimethylformamide molecules, respectively, and the various coordinated solvent molecules give rise to the formation of the representive solvent-induced NiII coordination compounds. All the NiII atoms are six-coordinated with geometries of slightly distorted octahedron. Obviously, in the coordination compound 4, the expected salamo-like mono- or tri-nuclear CuII coordination compound has not been obtained, but a new CuII coordination compound [Cu(L2)2] has been gained. The Cu1 atom is four-coordinated and possesses a geometry of slightly distorted planar quadrilateral. Furthermore, the fluorescence properties of coordination compounds 14 and magnetic behavior of coordination compound 1 were investigated.

Graphical Abstract

1. Introduction

Salen-like ligands and their analogues continue to play an increasingly vital roles in inorganic chemistry in the last decades [1,2,3,4], since their metallic coordination compounds are widely used in catalysis activities [5,6], magnetic materials [7,8,9,10], biological fields [11,12,13,14,15,16,17], supramolecular architectures [18,19,20,21], molecular recognitions [22,23,24,25], and luminescence properties [26,27,28,29,30]. It is significant to find appropriate substituted groups forthe moieties of the ligands to enhance the properties of these metallic coordination compounds [31,32,33]. Lately, a number of Salen-like compounds [34,35,36,37,38,39] (Salamo and its derivatives) has been exploited using O-alkyloxime units (–CH=N–O–(CH2)n–O–N=CH–) rather than the non O-alkyloxime (–CH=N–(CH2)n–N=CH–) units, and the larger electronegativity of oxygen atoms is desired to strongly influence the electronic behavior of the N2O2 coordination environment, which can give rise to novel structures and different properties of the resulting coordination compounds [40,41,42,43,44,45,46,47]. In addition, metallic ions play important roles in different biological processes and the interaction of the metallic ion with drugs employed for therapeutic reasons [48].
Herein, following our previous research on the syntheses, crystal structures, and fluorescent and antimicrobial properties of CoII and NiII coordination compounds with salamo-like bisoxime ligand H2L1 (4,4′-dichloro-2,2′-[(propane-1,3-diyldioxy)bis(nitrilomethylidyne)]diphenol) [49,50], the alkoxy chain is increasing from two to three on the ligand H2L1, which can give rise to better flexibility and coordination ability. In this paper, four new tri- and mono-nuclear salamo-like NiII and CuII coordination compounds, [Ni3(L1)2(OAc)2(CH3OH)2] (1), [Ni3(L1)2(OAc)2(CH3CH2CH2OH)2]·2CH3CH2CH2OH (2) and [Ni3(L1)2(OAc)2(DMF)2]·1.71DMF (3) and [Cu(L2)2] (4), have been synthesized. X-ray crystal structures revealed that the coordination compounds 13 have analogous molecular structures. The coordination compounds 1, 2, and 3 were affected by the coordinated methanol, n-propanol, and N,N-dimethylformamide molecules, respectively, In the coordination compound 4, the expected mono- or tri-nuclear salamo-like CuII coordination compound has not been gained, but a new CuII coordination compound [Cu(L2)2] has been obtained. Moreover, the fluorescent and magnetic behaviors have been discussed.

2. Experimental Section

2.1. Materials and Methods

5-Chlorosalicylaldehyde (98%) was obtained from Alfa Aesar and used without further purification. 1,3-Dibromoprophane and other reagents and solvents were analytical grade reagents from Tianjin Chemical Reagent Factory (Tianjin, China).
C, H, and N analyses were performed using a GmbH VariuoEL V3.00 automatic elemental analysis instrument (Elementar, Berlin, Germany). Elemental analyses for NiII or CuII were measured with an IRIS ER/S-WP–1 ICP atomic emission spectrometer (Elementar, Berlin, Germany). Melting points were gained via a X4 microscopic melting point apparatus made by Beijing Taike Instrument Company Limited and were uncorrected. IR spectra were measured on a Vertex 70 FT-IR spectrophotometer (Bruker, Billerica, MA, USA), with samples prepared as KBr (400–4000 cm−1) pellets. UV-vis absorption spectra were measured on a Shimadzu UV-3900 spectrometer (Shimadzu, Tokyo, Japan). 1H NMR spectra were performed by German Bruker AVANCE DRX-400/600 spectroscopy (Bruker AVANCE, Billerica, MA, USA). X-ray single crystal structure determinations for the coordination compounds 1, 2, 3, and 4 were carried out on a Bruker Smart Apex CCD and SuperNova, Dual, Cu at zero, Eos four-circle diffractometers. Magnetic susceptibility data were collected on the powdered samples of the coordination compound 1 using a Quantum Design (San Diego, CA, USA) model MPMS XL7 SQUID magnetometer. Magnetic susceptibility measurements were performed at 1000 Oe in the 2–300 K temperature range.

2.2. Synthesis of H2L1

The ligand H2L1 was synthesized according to a same method reported earlier [49,50,51]. (Scheme 1) Yield: 75.8%. m.p. 164–166 °C. Anal. Calcd. for C17H16Cl2N2O4 (%): C, 53.02; H, 4.11; N, 7.45. Found: C, 53.28; H, 4.21; N, 7.31. 1H NMR (400 MHz, CDCl3), δ 2.14 (t, J = 6.0 Hz, 2H, CH2), 4.31 (t, J = 6.0 Hz, 4H, CH2), 6.85 (d, J = 8.0 Hz, 2H, ArH), 7.25 (s, 2H, ArH), 7.33 (d, J = 8.0 Hz, 2H, ArH), 8.09 (s, 2H, CH=N), 9.80 (s, 2H, OH). IR (KBr, cm–1): 3101 [ν(O-H)], 1606 [ν(C=N)], 1263 [ν(Ar-O)]. UV–Vis (CHCl3), λmax (nm) (εmax): 223, 267 and 325 nm (2.5 × 10−5 M).

2.3. Syntheses of the Coordination Compounds 14

Tri- and mono-nuclear coordination compounds 14 were synthesized by the reaction of H2L1 with Ni(OAc)2·4H2O and Cu(OAc)2·4H2O, respectively (Scheme 2).
A methanol solution (2 mL) of Ni(OAc)2·4H2O (5.07 mg, 0.015 mmol) was added dropwise to H2L1 (3.83 mg, 0.010 mmol) in acetone (2 mL) and stirred for 30 min. The mixture was filtered, and the filtrate was allowed to stand at room temperature for ca. four weeks on slow evaporation of the solution in the dark. Several green block-like single crystals suitable for X-ray crystallographic analysis were collected and then filtrated and washed with n-hexane. The coordination compounds 2, 3, and 4 were prepared by an analogous procedure as for the coordination compound 1.
Coordination compound 1, light green crystals. Yield, 2.93 mg (52.3%). Anal. Calcd. for C40H42Cl4Ni3N4O14 (%): C, 42.87; H, 3.78; N, 5.00; Ni, 15.71. Found: C, 43.02; H, 3.82; N, 4.87; Ni, 15.79. IR (KBr, cm–1): 3230 [ν(O-H)], 1612 [ν(C=N)], 1197 [ν(Ar-O)]. UV–Vis (CHCl3), λmax (nm) (εmax): 234 and 367 nm (2.5 × 10−5 M).
Coordination compound 2, light green crystals. Yield, 3.13 mg (48.3%). Anal. Calcd. for C50H66Cl4Ni3N4O16 (%): C, 46.30; H, 5.13; N, 4.32; Ni, 13.58. Found: C, 46.42; H, 5.19; N, 4.26; Ni, 13.63. IR (KBr, cm–1): 3354 [ν(O-H)], 1616 [ν(C=N)], 1195 [ν(Ar-O)]. UV–Vis (CHCl3), λmax (nm) (εmax): 234 and 365 nm (2.5 × 10−5 M).
Coordination compound 3, light green crystals. Yield, 3.96 mg (58.7%). Anal. Calcd. for C49.12H59.94Cl4Ni3N7.71O15.71 (%): C, 44.44; H, 4.55; N, 8.13; Ni, 13.26. Found: C, 44.69; H, 4.71; N, 8.16; Ni, 12.88. IR (KBr, cm–1): 1629 [ν(C=N)], 1197 [ν(Ar-O)]. UV–Vis (CHCl3), λmax (nm) (εmax): 233 and 367 nm (2.5 × 10−5 M).
Coordination compound 4, dark green crystals. Yield, 2.82 mg (65.1%). Anal. Calcd. for C16H14Cl2CuN2O4 (%): C, 44.41; H, 3.26; N, 6.47; Cu, 14.68. Found: C, 44.47; H, 3.33; N, 6.34; Cu, 14.73. IR (KBr, cm–1): 1623 [ν(C=N)], 1198 [ν(Ar-O)]. UV–Vis (CHCl3), λmax (nm) (εmax): 232 and 345 nm (2.5 × 10−5 M).

2.4. Crystal Structure Determinations of the Coordination Compounds 14

The crystal diffractometers with a monochromatic beam of Mo Kα radiation (λ = 0.71073 Å) produced using Graphite monochromator from a sealed Mo X-ray tube was used for gaining crystal data for the coordination compounds 14 at 293(2), 294.39(10) 294.29(10), and 293(2) K, respectively. The program(s) used to solve structure were SHELXS-2008 (Sheldrick, 2008) [52]; the program(s) used to refine structure were SHELXL-2008 (Sheldrick, 2008) [53]. The crystal data and experimental parameters relevant to the structure determinations are listed in Table 1. Supplementary crystallographic data for this paper have been deposited at Cambridge Crystallographic Data Centre (1588647, 1588644, 1588646, and 1588645 for the coordination compounds 1, 2, 3, and 4) and can be obtained free of charge via www.ccdc.cam.ac.uk/conts/retrieving.html.

3. Results and Discussion

3.1. IR Spectra

The FT-IR spectral results of H2L1 and its corresponding coordination compounds 14 exhibited different bands in the 4000–400 cm−1 region (Figure 1).
A typical C=N stretching band of H2L1 appeared at 1606 cm−1, and that of the coordination compounds 14 appeared at 1612, 1616, 1629, and 1623 cm−1, respectively [54,55]. The C=N stretching bands are shifted to high wavenumber, exhibiting that the NiII and CuII atoms are bonded by oxime nitrogen atoms of deprotonated (L2)2− and (L1) moieties. Hence, conclusion could be given that the ligands H2L1 and H2L2 have bonded with NiII and CuII atoms [56,57]. The free ligand H2L1 exhibited a Ar–O stretching band at 1263 cm−1, while the Ar–O stretching bands of the coordination compounds 14 appeared at 1197, 1195, 1197, and 1198 cm−1, respectively. The Ar–O stretching bands are waved to low wavenumber, which could be presence of the coordination of phenolic oxygen to NiII and CuII atoms [58,59]. The free ligand H2L1 showed a desired absorption band at 3101 cm−1, which as an evidence for the presence of phenolic OH groups. The expected OH stretching absorption bands in the coordination compounds 1 and 2 are observed at 3230 and 3354 cm−1, exhibiting the existence of coordinated methanol and n-propanol molecules, respectively [60]. Furthermore, a N–H stretching band is observed at 3353 cm−1 in the coordination compound 4.

3.2. UV-vis Absorption Spectra

UV–vis absorption spectral results of H2L1 and its coordination compounds 14 were determined in 2.5 × 10−5 M chloroform solution and are shown in Figure 2.
The absorption spectrum of H2L1 showed three absorption peaks at ca. 223, 267, and 325 nm, the peaks at 223 and 267 nm can be assigned to the π-π* transitions of the phenyl rings, and the peak at 325 nm can be attributed to the π-π* transitions of the oxime group [61,62]. Compared to H2L1, with the appearance of the first peaks at about 233 nm are observed in the coordination compounds 14, These absorption peaks are shifted bathochromically, exhibiting coordination of the (L1)2− and (L2) moieties with NiII and CuII atoms. The absorption peak at ca. 267 nm is absent in the coordination compounds 14. Meanwhile, new absorption peaks are observed at about 345–367 nm in the coordination compounds 14 that might be owing to L→M charge-transfer transitions, which are characteristic of the transition metallic coordination compounds with N2O2 coordination spheres [63,64,65].

3.3. Descriptions of the Crystal Structures

Selected bond lengths and angles for the coordination compounds 13 and 4 are presented in Table 2 and Table 3, respectively. The relative hydrogen bonds of the coordination compounds 14 are listed in Table 4.

3.3.1. Crystal Structures of the Coordination Compounds 13

The coordination compound 1 belongs to the triclinic system, with space group P − 1, which includes of three NiII atoms, two completely deprotonated (L1)2− units, two µ2-acetato ligands, and two coordinated methanol molecules. The terminal NiII atoms (Ni1 or Ni1 #1) are six-coordinated by two oxime nitrogen atoms (N1, N2 or N1 #1, N2 #1) and two phenoxo oxygen atoms (O5, O6 or O5 #1, O6 #1), the four atoms mentioned above are all from one deprotonated (L1)2− units, one oxygen atom (O4 or O4 #1) from the µ2-acetato ligands and one oxygen atom (O7 or O7 #1) from the coordinated methanol molecules (Figure 3). The central NiII atom (Ni2) is also six-coordinated via four phenoxo oxygen atoms from two (L1)2− units, and two oxygen atoms from µ2-acetato ligands (O3 or O3 #1), The Ni1 and Ni2 atoms (Ni1 #1 and Ni2) are connected through µ2-acetato ligands in an usual M-O-C-O-M fashion [66,67]. The coordination sphere around all the NiII atoms are best described as slightly distorted octahedral geometries [68,69]. For the synthesis of NiII coordination compounds must be under dark conditions, the conditions are different from the previously reported NiII coordination compounds [50], the synthesis conditions are different, and the structures of resulting coordination compounds will be changed.
The molecular structures and atom numberings of the coordination compounds 2 and 3 are shown in Figure 4 and Figure 5, respectively. Contributions to scattering these highly disordered solvent molecules were removed using the SQUEEZE routine of PLATON. The structure of the coordination compounds 1 was then refined again using the data generated.
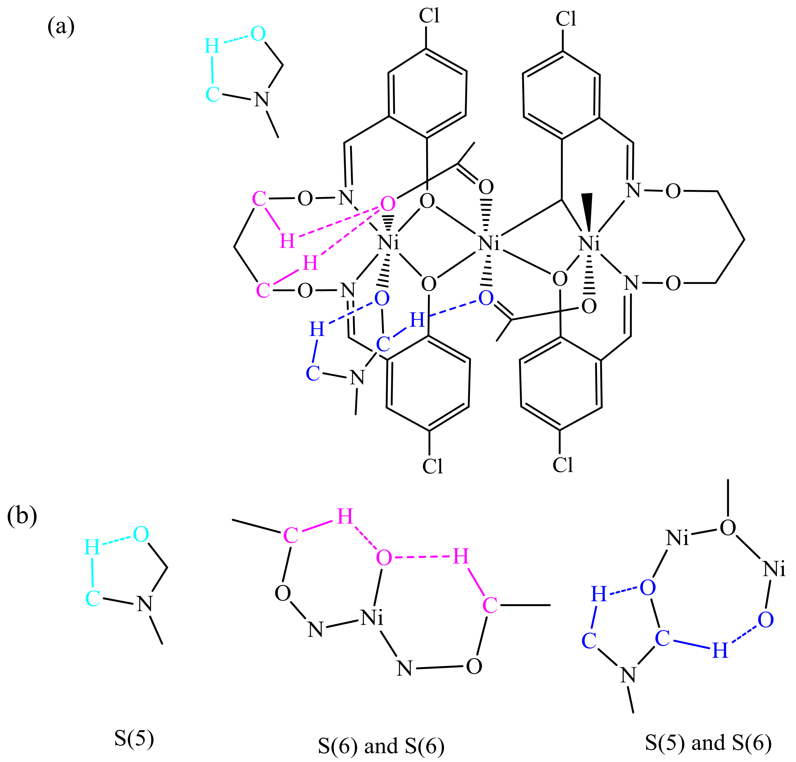
In the coordination compound 1, there are six pairs of the intramolecular C8–H8B⋯O2, O5–H5⋯O3, C10–H10B⋯O6, C3–H3⋯O7, C10–H10B⋯O1, and C16–H16⋯O7 hydrogen bonds are formed (Figure 6) [68,69], and the weak hydrogen bonds existing in the coordination compound 1 has been described in graph sets (Figure 7) [70].
In the coordination compound 2, there are three intramolecular hydrogen bonds [68,69] (Figure 8). C8–H8A⋯O5, O6–H6⋯O7, and O7–H7A⋯O8 hydrogen bonds are formed. The donor (C8–H8A) from the (L1)2– unit forms hydrogen bond with oxygen atom (O5) of the μ2-acetato ligand as hydrogen bond receptor. The donors (O6–H6 and O7–H7A) from coordinated n-propanol molecule and crystalline n-propanol molecule form hydrogen bonds with oxygen atoms (O7 and O8) of crystalline n-propanol molecule and the μ2-acetato ligand as hydrogen bond receptors. The weak hydrogen bonds existing in the coordination compound 2 have been described in graph sets (Figure 9) [70].
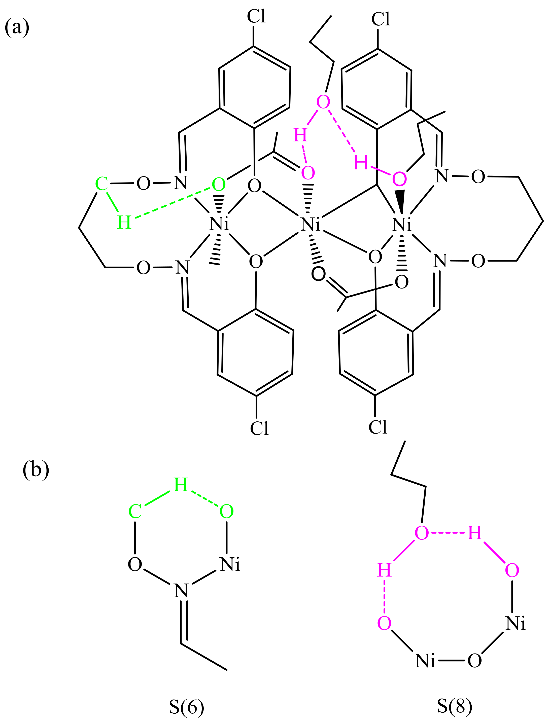
In the coordination compound 3, there are six pairs of the intramolecular hydrogen bonds (Figure 10) [68,69], and the weak hydrogen bonds existing in the coordination compound 3 have been described in graph sets (Figure 11) [70], C8–H8A⋯O5, C10–H10B⋯O5, C20–H20⋯O6, C22–H22C⋯O7, C24–H24B⋯O8 and C24–H24B⋯O8 hydrogen bonds are formed. The donors (C8–H8A and C10–H10B) come from the (L1)2– units form hydrogen bonds with oxygen atom (O5) of the μ2-acetato ligand as hydrogen bond receptor. The donor (C20–H20 and C22–H22C) from the coordinated N,N-dimethylformamide molecule form hydrogen bond with oxygen atoms (O6 and O7) of the μ2-acetato ligand and coordinated N,N-dimethylformamide molecule as hydrogen bond receptor, and the donor (C24–H24B) from the non-coordinated N,N-dimethylformamide molecule form hydrogen bond with oxygen atom (O8) of non-coordinated N,N-dimethylformamide molecule as hydrogen bond receptor. As illustrated in Figure 12, the coordination compound 3 is linked by three pairs of inter-molecular hydrogen bond interactions form a 1D hydrogen bonded chain. In addition, a pair of π⋯π interactions (Cg1⋯Cg2 (Cg1=C1-C2-C3-C4-C5-C6 and Cg2=C12-C13-C14-C15-C16-C17)) were formed (Figure 13) [71].

3.3.2. Crystal Structure of the Coordination Compound 4

Molecular structure of the coordination compound 4 is shown in Figure 14, The structure revealed that the coordination compound 4 crystallizes in the monoclinic system, space group C 2/c.
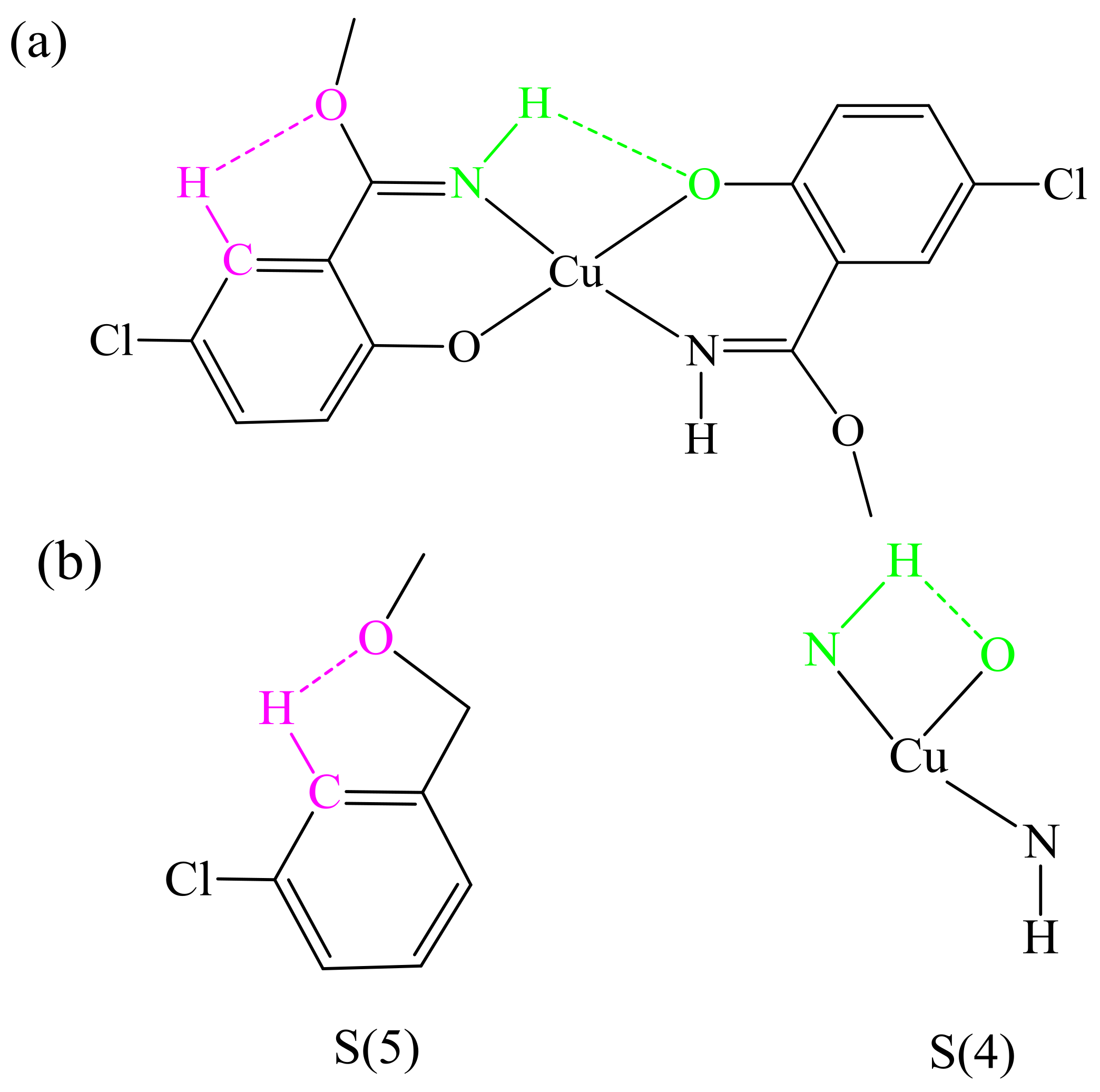
Clearly, the expected mono- or tri- nuclear CuII coordination compound has not been gained. Catalysis of CuII ions results in undesigned cleavages of two C–C and two N–O bonds in H2L1, and a new coordination compound [Cu(L2)2] has been obtained. In C=N bond, the electronegativity of N atom is higher than C atom, so the electron cloud density of C atom is lower. In addition, due to the high electronegativity of Cl atom, the electron cloud density of C atom in C=N bond will be further reduced in this conjugated system, and it is positively charged. If the electronegativity of O atom in the O-C bond is high, it will attack the C atom in C=N bond and form the new ligand H2L2. Finally, a new mononuclear CuII coordination compound has been gained. This phenomenon is not similar to the cleavage of CuII coordination compounds reported previously [72,73,74]. In the coordination compound 4, Cu1 atom is four-coordinated and possesses a geometry of slightly distorted planar quadrilateral with two nitrogen atoms of imino and the two phenolic oxygen atoms of the (L2) units [72,73,74,75]. These angles of N1–Cu1–N1#4 and O1–Cu1–O1#4 are all 180.0°. There are two pairs of the intramolecular N1–H1⋯O1 and C5–H5⋯O2 hydrogen bonds are formed (Figure 15) [72,73,74,75]. The weak hydrogen bonds existing in the coordination compound 4 have been described in graph sets (Figure 16) [70]. As illustrated in Figure 17, the coordination compound 4 is linked by a pair of inter-molecular hydrogen bond interactions forming a 1D hydrogen bonded chain.

3.4. Solvent Effect

Single-crystal X-ray structure analyses revealed that the coordination compounds 13 and previously reported coordination compound [Ni3(L1)2(OAc)2(CH3CH2OH)2]·2CH3CH2OH [76] have similar molecular structures, which were affected via the coordinated methanol, n-propanol, N,N-dimethylformamide, and ethanol molecules, and the various solvent molecules observed give rise to the formation of the characteristic solvent-induced NiII coordination compounds. Obviously, the coordination compounds 1, 2, 3, and [Ni3(L1)2(OAc)2(CH3CH2OH)2]·2CH3CH2OH [76] informed different intramolecular hydrogen bond interactions. The effects of solvent molecules are obviously exhibited in selected bond distances (nm) and angles (°) for the coordination compounds 1, 2, 3, and [Ni3(L1)2(OAc)2(CH3CH2OH)2]·2CH3CH2OH [76] (Table 2). Because these solvent molecules are different, the distances of Ni1-O5 (1), Ni1-O6 (2), Ni2-O7 (3) and Ni1-O7 ([Ni3(L1)2(OAc)2(CH3CH2OH)2]·2CH3CH2OH) [76] are 2.099(5), 2.112(3), 2.167(3), and 2.167(4) Å, respectively. The results show that the distances between the metallic ions and the oxygen atoms from the solvent molecules are related to these solvent molecules. Moreover, the dihedral angles of two benzene rings (C1-C6 and C12-C17) in same (L1)2− unit are 42.80° (1), 37.25° (2), and 70.35° (3), respectively (Figures S1–S3). (In the four coordination compounds, coordination compound 1 squeezes out the solvent molecules.) This phenomenon is caused by the difference of solvent molecules. Thus, solvent effects could explain their slight differences in crystal structures.

3.5. Fluorescence Behaviors

The fluorescence behaviors of H2L1 and the coordination compounds 1, 2, 3, and 4 were studied in CH3OH (2.5 × 10−5 M) (Figure 18).
The ligand H2L1 demonstrates a strong emission peak at ca. 507 nm upon excitation at 324 nm, which could be attributed to the intraligand π-π* transition [72,73]. The coordination compounds 1, 2, 3, and 4 demonstrate weak photoluminescence with maximum emissions at ca. 519, 523, 522 and 521 nm upon excitation at 378 nm (based on global maxima determined from three-dimensional fluorescence spectra), respectively, and the peaks are bathochromically shifted, which should be attributed to ligand-to-metal charge transfer (LMCT) [74,75]. Compared with H2L1, the emission intensities of the coordination compounds 1, 2, 3, and 4 are reduced, which indicate that the NiII and CuII ions have the behaviors of fluorescent quenching, and the quenching of CuII ion is more obvious than that of NiII ion.

3.6. Magnetic Behavior

The magnetic behaviors of the coordination compound 1 were measured and discussed individually represented the coordination compounds 2 and 3, owing to these coordination compounds have analogous structures, there are little difference in magnetic behavior. The temperature dependence of magnetic susceptibilities of the coordination compound 1 is depicted in Figure 19.
The χMT value at 300 K for the coordination compound 1 is 3.28 cm3 K mol−1, which is higher than the value of 3 cm3 K mol−1 expected for three NiII (S = 1) magnetically isolated ions [77,78,79]. Upon lowering the temperature, the χMT value of the coordination compound 1 gradually decreases to reach a minimum value of 0.60 cm3 K mol−1 at 2 K, which shows that a weak antiferromagnetic interaction exists in such a coordination compound [80]. Moreover, the magnetic susceptibilities (1/χM) obey the Curie–Weiss law (χM = C/(T − θ)) in the 2–300 K temperature range, giving a negative Weiss constant θ = –14.220 K and C = 3.466 cm3 K mol−1 (Figure 19, inset) and confirming the antiferromagnetic interaction presented again by the coordination compound 1 [80].

4. Conclusions

Different solvent molecules were introduced, three new homotrinuclear NiII coordination compounds 1, 2, and 3 with a salamo-like bisoxime ligand H2L1 were designed and synthesized. Catalysis of CuII ions results in undesigned cleavage of two C–C and two N–O bonds in H2L1. A new mono-nuclear CuII coordination compound [Cu(L2)2] has been obtained. Single-crystal X-ray crystal structure analyses revealed that the coordination compounds 13 have analogous molecular structures and were affected by the coordinated methanol, n-propanol, and N,N-dimethylformamide molecules, respectively, and the virous solvent molecules observed give rise to the formation of the characteristic solvent-induced NiII coordination compounds. All the NiII atoms are six-coordinated with geometries of slightly distorted octahedron. Obviously, the expected mono- or tri-nuclear CuII coordination compound has not been gained, but a new CuII coordination compound [Cu(L2)2] has been obtained. In coordination compound 4, the Cu1 atom is four-coordinated with a geometry of slightly distorted planar quadrilateral. The fluorescent behavior of H2L1 and the coordination compounds 14 were studied. Compared with H2L1, the emission intensities of the coordination compounds 14 decreases clearly, which exhibits that the NiII and CuII ions bear the qualities of fluorescence quenching, and the quenching of CuII ion is more obvious than that of NiII ion. In addition, the magnetic behavior showed that there is a relatively weak antiferromagnetic interaction in coordination compound 1.

Supplementary Materials

The following are available online at https://www.mdpi.com/2073-4352/8/4/173/s1, Figure S1: View of the dihedral angles between two benzene rings (C1-C6 and C12-C17) of the coordination compound 1, Figure S2: View of the dihedral angles between two benzene rings (C1-C6 and C12-C17) of the coordination compound 2, Figure S3: View of the dihedral angles between two benzene rings (C1-C6 and C12-C17) of the coordination compound 3.

Acknowledgments

This work was supported by the National Natural Science Foundation of China (21761018) and the Program for Excellent Team of Scientific Research in Lanzhou Jiaotong University (201706), both of which are gratefully acknowledged.

Author Contributions

Wen-Kui Dong and Quan-Peng Kang conceived and designed the experiments; Xiao-Yan Li and Ling-Zhi Liu performed the experiments; Jian-Chun Ma analyzed the data; Wen-Kui Dong and Lin-Wei Zhang contributed reagents/materials/analysis tools; Lin-Wei Zhang and Xiao-Yan Li wrote the paper.

Conflicts of Interest

The authors declare no competing financial interests.

References

  1. Sun, Y.X.; Xu, L.; Zhao, T.H.; Liu, S.H.; Liu, G.H.; Dong, X.T. Synthesis and crystal structure of a 3D supramolecular copper(II) complex with 1-(3-{[(E)-3-bromo-5-chloro-2-hydroxybenzylidene]amino}phenyl) ethanone oxime. Synth. React. Inorg. Met.-Org. Nano-Met. Chem. 2013, 43, 509–513. [Google Scholar] [CrossRef]
  2. Sun, Y.X.; Zhang, Y.J.; Meng, W.S.; Li, X.R.; Lu, R.E. Synthesis and crystal structure of new nickel(II) complex with Salen-type bisoxime ligand. Asian J. Chem. 2014, 26, 416–418. [Google Scholar]
  3. Song, X.Q.; Liu, P.P.; Xiao, Z.R.; Li, X.; Liu, Y.A. Four polynuclear complexes based on a versatile salicylamide salen-like ligand: Synthesis, structural variations and magnetic properties. Inorg. Chim. Acta 2015, 438, 232–244. [Google Scholar] [CrossRef]
  4. Sun, Y.X.; Gao, X.H. Synthesis, characterization, and crystal structure of a new CuII complex with salen-type ligand. Synth. React. Inorg. Met.-Org. Nano-Met. Chem. 2011, 41, 973–978. [Google Scholar] [CrossRef]
  5. Li, L.H.; Dong, W.K.; Zhang, Y.; Akogun, S.F.; Xu, L. Syntheses, structures and catecholase activities of homo-and hetero-trinuclear cobalt(II) complexes constructed from an acyclic naphthalenediol-based bis(salamo)-type ligand. Appl. Organomet. Chem. 2017, 31, e3818. [Google Scholar] [CrossRef]
  6. Li, X.Y.; Chen, L.; Gao, L.; Zhang, Y.; Akogun, S.F.; Dong, W.K. Syntheses, crystal structures and catalytic activities of two solvent-induced homotrinuclear Co(II) complexes with a naphthalenediol-based bis(Salamo)-type tetraoxime ligand. RSC Adv. 2017, 7, 35905–35916. [Google Scholar] [CrossRef]
  7. Ene, C.D.; Nastase, S.; Maxim, C.; Madalan, A.M.; Tuna, F.; Andruh, M. The azidopentacyanoferrate(III) ion as a tecton in constructing heterometallic complexes: Synthesis, crystal structure and magnetic properties of [Mn(valphen)(H2O)2]2[(H2O)(valphen)Mn(μ-CN)Fe(CN)4(N3)]·8H2O. Inorg. Chim. Acta 2010, 363, 4247–4252. [Google Scholar] [CrossRef]
  8. Dong, W.K.; Ma, J.C.; Dong, Y.J.; Zhu, L.C.; Zhang, Y. Di- and tetranuclear heterometallic 3d–4f cobalt(II)–lanthanide(III) complexes derived from a hexadentate bisoxime: Syntheses, structures and magnetic properties. Polyhedron 2016, 115, 228–235. [Google Scholar] [CrossRef]
  9. Liu, P.P.; Sheng, L.; Song, X.Q.; Xu, W.Y.; Liu, Y.A. Synthesis, structure and magnetic properties of a new one dimensional manganese coordination polymer constructed by a new asymmetrical ligand. Inorg. Chim. Acta 2015, 434, 252–257. [Google Scholar] [CrossRef]
  10. Song, X.Q.; Liu, P.P.; Liu, Y.A.; Zhou, J.J.; Wang, X.L. Two dodecanuclear heterometallic [Zn6Ln6] clusters constructed by a multidentate salicylamide salen-like ligand: Synthesis, structure, luminescence and magnetic properties. Dalton Trans. 2016, 45, 8154–8163. [Google Scholar] [CrossRef] [PubMed]
  11. Wu, H.L.; Pan, G.L.; Wang, H.; Wang, X.L.; Bai, Y.C.; Zhang, Y.H. Study on synthesis, crystal structure, antioxidant and DNA-binding of mono-, di- and poly-nuclear lanthanides complexes with bis(N-salicylidene)-3-oxapentane-1,5-diamine. J. Photochem. Photobiol. B 2014, 135, 33–43. [Google Scholar] [CrossRef] [PubMed]
  12. Wu, H.L.; Pan, G.L.; Bai, Y.C.; Wang, H.; Kong, J.; Shi, F.; Zhang, Y.H.; Wang, X.L. Preparation, structure, DNA-binding properties, and antioxidant activities of a homodinuclear erbium(III) complex with a pentadentate Schiff base ligand. J. Chem. Res. 2014, 38, 211–217. [Google Scholar] [CrossRef]
  13. Wu, H.L.; Bai, Y.; Yuan, J.K.; Wang, H.; Pan, G.L.; Fan, X.Y.; Kong, J. A zinc(II) complex with tris(2-(N-methyl)benzimidazlylmethyl)amine and salicylate: Synthesis, crystal structure, and DNA-binding. J. Coord. Chem. 2012, 65, 2839–2851. [Google Scholar] [CrossRef]
  14. Wu, H.L.; Bai, Y.C.; Zhang, Y.H.; Pan, G.L.; Kong, J.; Shi, F.; Wang, X.L. Two lanthanide(III) complexes based on the schiff base N,N-Bis(salicylidene)-1,5-diamino-3-oxapentane: Synthesis, characterization, DNA-binding properties, and antioxidation. Z. Anorg. Allg. Chem. 2014, 640, 2062–2071. [Google Scholar] [CrossRef]
  15. Chen, C.Y.; Zhang, J.W.; Zhang, Y.H.; Yang, Z.H.; Wu, H.L. Gadolinium(III) and dysprosium(III) complexes with a Schiff base bis(N-salicylidene)-3-oxapentane-1,5-diamine: Synthesis, characterization, antioxidation, and DNA-binding studies. J. Coord. Chem. 2015, 68, 1054–1071. [Google Scholar] [CrossRef]
  16. Wu, H.L.; Wang, C.P.; Wang, F.; Peng, H.P.; Zhang, H.; Bai, Y.C. A new manganese(III) complex from bis(5-methylsalicylaldehyde)-3-oxapentane-1,5-diamine: Synthesis, characterization, antioxidant activity and luminescence. J. Chin. Chem. Soc. 2015, 62, 1028–1034. [Google Scholar] [CrossRef]
  17. Wu, H.L.; Pan, G.L.; Bai, Y.C.; Wang, H.; Kong, J. Synthesis, structure, antioxidation, and DNA-bindingstudies of a binuclear ytterbium(III) complex with bis(N-salicylidene)-3-oxapentane-1,5-diamine. Res. Chem. Intermed. 2015, 41, 3375–3388. [Google Scholar] [CrossRef]
  18. Dong, W.K.; Ma, J.C.; Zhu, L.C.; Zhang, Y. Nine self–assembled nickel(II)–lanthanide(III) heterometallic complexes constructed from a Salamo–type bisoxime and bearing N- or O-donor auxiliary ligand: Syntheses, structures and magnetic properties. New J. Chem. 2016, 40, 6998–7010. [Google Scholar] [CrossRef]
  19. Sun, Y.X.; Zhang, S.T.; Ren, Z.L.; Dong, X.Y.; Wang, L. Synthesis, characterization, and crystal structure of a new supramolecular CdII complex with halogen-substituted salen-type bisoxime. Synth. React. Inorg. Met.-Org. Nano-Met. Chem. 2013, 43, 995–1000. [Google Scholar] [CrossRef]
  20. Zhao, L.; Dang, X.T.; Chen, Q.; Zhao, J.X.; Wang, L. Synthesis, crystal structure and spectral properties of a 2D supramolecular copper(II) complex with 1-(4-{[(E)-3-ethoxyl-2-hydroxybenzylidene]amino}phenyl)ethanone oxime. Synth. React. Inorg. Met.-Org. Nano-Met. Chem. 2013, 43, 1241–1246. [Google Scholar] [CrossRef]
  21. Sun, Y.X.; Wang, L.; Dong, X.Y.; Ren, Z.L.; Meng, W.S. Synthesis, characterization, and crystal structure of a supramolecular CoII complex containing Salen-type bisoxime. Synth. React. Inorg. Met.-Org. Nano-Met. Chem. 2013, 43, 599–603. [Google Scholar] [CrossRef]
  22. Dong, W.K.; Li, X.L.; Wang, L.; Zhang, Y.; Ding, Y.J. A new application of Salamo-type bisoximes: As a relay-sensor for Zn2+/Cu2+ and its novel complexes for successive sensing of H+/OH. Sens. Actuators B 2016, 229, 370–378. [Google Scholar] [CrossRef]
  23. Dong, W.K.; Akogun, S.F.; Zhang, Y.; Sun, Y.X.; Dong, X.Y. A reversible “turn-on” fluorescent sensor for selective detection of Zn2+. Sens. Actuators B 2017, 238, 723–734. [Google Scholar] [CrossRef]
  24. Wang, B.J.; Dong, W.K.; Zhang, Y.; Akogun, S.F. A novel relay-sensor for highly sensitive and selective detection of Zn2+/Pic- and fluorescence on/off switch response of H+/OH. Sens. Actuators B 2017, 247, 254–264. [Google Scholar] [CrossRef]
  25. Wang, F.; Gao, L.; Zhao, Q.; Zhang, Y.; Dong, W.K.; Ding, Y.J. A highly selective fluorescent chemosensor for CN based on a novel bis(salamo)-type tetraoxime ligand. Spectrochim. Acta Part A 2018, 190, 111–115. [Google Scholar] [CrossRef] [PubMed]
  26. Chai, L.Q.; Liu, G.; Zhang, Y.L.; Huang, J.J.; Tong, J.F. Synthesis, crystal structure, fluorescence, electrochemical property, and SOD-like activity of an unexpected nickel(II) complex with a quinazoline-type ligand. J. Coord. Chem. 2013, 66, 3926–3938. [Google Scholar] [CrossRef]
  27. Dong, W.K.; Lan, P.F.; Zhou, W.M.; Zhang, Y. Salamo-type trinuclear and tetranuclear cobalt(II) complexes based on a new asymmetry Salamotype ligand: Syntheses, crystal structures, and fluorescence properties. J. Coord. Chem. 2016, 69, 1272–1283. [Google Scholar] [CrossRef]
  28. Dong, W.K.; Zhang, J.; Zhang, Y.; Li, N. Novel multinuclear transition metal(II) complexes based on an asymmetric salamo-type ligand: Syntheses, structure characterizations and fluorescent properties. Inorg. Chim. Acta 2016, 444, 95–102. [Google Scholar] [CrossRef]
  29. Song, X.Q.; Zheng, Q.F.; Wang, L.; Liu, W.S. Synthesis and luminescence properties of lanthanide complexes with a new tripodal ligand featuring N-thenylsalicylamide arms. Luminescence 2012, 27, 459–465. [Google Scholar] [CrossRef] [PubMed]
  30. Dong, W.K.; Ma, J.C.; Zhu, L.C.; Zhang, Y. Self-assembled zinc(II)-lanthanide(III) heteromultinuclear complexes constructed from 3-MeOsalamo ligand: Syntheses, structures and luminescent properties. Cryst. Growth Des. 2016, 16, 6903–6914. [Google Scholar] [CrossRef]
  31. Chai, L.Q.; Tang, L.J.; Chen, L.C.; Huang, J.J. Structural, spectral, electrochemical and DFT studies of two mononuclear manganese(II) and zinc(II) complexes. Polyhedron 2017, 122, 228–240. [Google Scholar] [CrossRef]
  32. Chai, L.Q.; Zhang, K.Y.; Tang, L.J.; Zhang, J.Y.; Zhang, H.S. Two mono- and dinuclear Ni(II) complexes constructed from quinazoline-type ligands: Synthesis, X-ray structures, spectroscopic, electrochemical, thermal, and antimicrobial studies. Polyhedron 2017, 130, 100–107. [Google Scholar] [CrossRef]
  33. Hao, J.; Li, L.L.; Zhang, J.T.; Akogun, S.F.; Wang, L.; Dong, W.K. Four homo- and hetero-bismetallic 3d/3d-2s complexes constructed from a naphthalenediol-based acyclic bis(salamo)-type tetraoxime ligand. Polyhedron 2017, 134, 1–10. [Google Scholar] [CrossRef]
  34. Song, X.Q.; Wang, L.; Zheng, Q.F.; Liu, W.S. Synthesis, crystal structure and luminescence properties of lanthanide complexes with a new semirigid bridging furfurylsalicylamide ligand. Inorg. Chim. Acta 2012, 391, 171–178. [Google Scholar] [CrossRef]
  35. Liu, Y.A.; Wang, C.Y.; Zhang, M.; Song, X.Q. Structures and magnetic properties of cyclic heterometallic tetranuclear clusters. Polyhedron 2017, 127, 278–286. [Google Scholar] [CrossRef]
  36. Song, X.Q.; Peng, Y.J.; Chen, G.Q.; Wang, X.R.; Liu, P.P.; Xu, W.Y. Substituted group-directed assembly of Zn(II) coordination complexes based on two new structural related pyrazolone based Salen ligands: Syntheses, structures and fluorescence properties. Inorg. Chim. Acta 2015, 427, 13–21. [Google Scholar] [CrossRef]
  37. Dong, X.Y.; Li, X.Y.; Liu, L.Z.; Zhang, H.; Ding, Y.J.; Dong, W.K. Tri- and hexanuclear heterometallic Ni(II)–M(II) (M = Ca, Sr and Ba) bis(salamo)-type complexes: Synthesis, structure and fluorescence properties. RSC Adv. 2017, 7, 48394–48403. [Google Scholar] [CrossRef]
  38. Li, G.; Hao, J.; Liu, L.Z.; Zhou, W.M.; Dong, W.K. Syntheses, crystal structures and thermal behaviors of two supramolecular salamo-type cobalt(II) and zinc(II) complexes. Crystals 2017, 7, 217. [Google Scholar] [CrossRef]
  39. Song, X.Q.; Lei, Y.K.; Wang, X.R.; Zhao, M.M.; Peng, Y.Q.; Cheng, G.Q. Lanthanide coordination polymers: Synthesis, diverse structure and luminescence properties. J. Solid State Chem. 2014, 218, 202–212. [Google Scholar] [CrossRef]
  40. Dong, Y.J.; Dong, X.Y.; Dong, W.K.; Zhang, Y.; Zhang, L.S. Three asymmetric Salamo-type copper(II) and cobalt(II) complexes: Syntheses, structures, fluorescent properties. Polyhedron 2017, 123, 305–315. [Google Scholar] [CrossRef]
  41. Dong, X.Y.; Akogun, S.F.; Zhou, W.M.; Dong, W.K. Tetranuclear Zn(II) complex based on an asymmetrical Salamo-type chelating ligand: Synthesis, structural characterization, and fluorescence property. J. Chin. Chem. Soc. 2017, 64, 412–419. [Google Scholar] [CrossRef]
  42. Zhao, L.; Wang, L.; Sun, Y.X.; Dong, W.K.; Tang, X.L.; Gao, X.H. A supramolecular copper(II) complex bearing salen-type bisoxime ligand: Synthesis, structural characterization, and thermal property. Synth. React. Inorg. Met.-Org. Nano-Met. Chem. 2012, 42, 1303–1308. [Google Scholar] [CrossRef]
  43. Zheng, S.S.; Dong, W.K.; Zhang, Y.; Chen, L.; Ding, Y.J. Four Salamo-type 3d–4f hetero-bimetallic [ZnIILnIII] complexes: Syntheses, crystal structures, and luminescent and magnetic properties. New J. Chem. 2017, 41, 4966–4973. [Google Scholar] [CrossRef]
  44. Akine, S.; Taniguchi, T.; Nabeshima, T. Acyclic bis(N2O2 chelate) ligand for trinuclear d-block homo- and heterometal complexes. Inorg. Chem. 2008, 47, 3255–3264. [Google Scholar] [CrossRef] [PubMed]
  45. Ren, Z.L.; Wang, F.; Liu, L.Z.; Jin, B.X.; Dong, W.K. Unprecedented hexanuclear cobalt(II) nonsymmetrical salamo-based coordination compound: Synthesis, crystal structure, and photophysical properties. Crystals 2018, 8, 144. [Google Scholar]
  46. Dong, W.K.; Shi, J.Y.; Zhong, J.K.; Sun, Y.X.; Duan, J.G. Synthesis and structural characterization of a novel tricobalt cluster with 4,4′-dichloro-2,2′-[(1,3-propylene)dioxybis(nitrilomethylidyne)]diphenol. Struct. Chem. 2008, 19, 95–99. [Google Scholar] [CrossRef]
  47. Dong, W.K.; Yao, J.; Sun, Y.X. Synthesis, characterization, and crystal ctructure of a tri-nuclear cobalt(II) cluster. Synth. React. Inorg. Met.-Org. Nano-Met. Chem. 2011, 41, 177–181. [Google Scholar]
  48. Wu, H.L.; Bai, Y.C.; Zhang, Y.H.; Li, Z.; Wu, M.C.; Chen, C.Y.; Zhang, J.W. Synthesis, crystal structure, antioxidation and DNA-binding properties of a dinuclear copper(II) complex with bis(N-salicylidene)-3-oxapentane-1, 5-diamine. J. Coord. Chem. 2014, 67, 3054–3066. [Google Scholar] [CrossRef]
  49. Dong, W.K.; Duan, J.G.; Guan, Y.H.; Shi, J.Y.; Zhao, C.Y. Synthesis, crystal structure and spectroscopic behaviors of Co(II) and Cu(II) complexes with Salen-type bisoxime ligands. Inorg. Chim. Acta 2009, 362, 1129–1134. [Google Scholar] [CrossRef]
  50. Li, X.Y.; Kang, Q.P.; Liu, L.Z.; Ma, J.C.; Dong, W.K. Trinuclear Co(II) and mononuclear Ni(II) Salamo-type bisoxime coordination compounds. Crystals 2018, 8, 43. [Google Scholar] [CrossRef]
  51. Akine, S.; Taniguchi, T.; Dong, W.K.; Masubuchi, S.; Nabeshima, T. Oxime-based Salen-type tetradentate ligands with high stability against imine metathesis reaction. J. Org. Chem. 2005, 70, 1704–1711. [Google Scholar] [CrossRef] [PubMed]
  52. Sheldrick, G.M. Program for Crystal Structure Solution; SHELXS-2008; University of Göttingen: Göttingen, Germany, 2008. [Google Scholar]
  53. Sheldrick, G.M. Program for Crystal Structure Refinement; SHELXL-2008; University of Göttingen: Göttingen, Germany, 2008. [Google Scholar]
  54. Gao, L.; Wang, F.; Zhao, Q.; Zhang, Y.; Dong, W.K. Mononuclear Zn(II) and trinuclear Ni(II) complexes derived from a coumarin-containing N2O2 ligand: Syntheses, crystal structures and fluorescence properties. Polyhedron 2018, 139, 7–16. [Google Scholar] [CrossRef]
  55. Wang, P.; Zhao, L. An infinite 2D supramolecular cobalt(II) complex based on an asymmetric Salamo-type ligand: Synthesis, crystal structure, and spectral properties. Synth. React. Inorg. Met.-Org. Nano-Met. Chem. 2016, 46, 1095–1101. [Google Scholar] [CrossRef]
  56. Wang, L.; Hao, J.; Zhai, L.X.; Zhang, Y.; Dong, W.K. Synthesis, crystal structure, luminescence, electrochemical and antimicrobial properties of bis(salamo)-based Co(II) complex. Crystals 2017, 7, 277. [Google Scholar] [CrossRef]
  57. Wang, L.; Ma, J.C.; Dong, W.K.; Zhu, L.C.; Zhang, Y. A novel Self–assembled nickel(II)–cerium(III) heterotetranuclear dimer constructed from N2O2-type bisoxime and terephthalic acid: Synthesis, structure and photophysical properties. Z. Anorg. Allg. Chem. 2016, 642, 834–839. [Google Scholar] [CrossRef]
  58. Dong, X.Y.; Sun, Y.X.; Wang, L.; Li, L. Synthesis and structure of a penta- and hexa-coordinated tri-nuclear cobalt(II) complex. J. Chem. Res. 2012, 36, 387–390. [Google Scholar] [CrossRef]
  59. Dong, X.Y.; Gao, L.; Wang, F.; Zhang, Y.; Dong, W.K. Tri- and mono-nuclear zinc(II) complexes based on half- and mono-salamo chelating ligands. Crystals 2017, 7, 267. [Google Scholar] [CrossRef]
  60. Wang, L.; Li, X.Y.; Zhao, Q.; Li, L.H.; Dong, W.K. Fluorescence properties of heterotrinuclear Zn(II)–M(II) (M = Ca, Sr and Ba) bis(salamo)-type complexes. RSC Adv. 2017, 7, 48730–48737. [Google Scholar] [CrossRef]
  61. Dong, W.K.; Ma, J.C.; Zhu, L.C.; Zhang, Y.; Li, X.L. Four new nickel(II) complexes based on an asymmetric Salamo-type ligand: Synthesis, structure, solvent effect and electrochemical property. Inorg. Chim. Acta 2016, 445, 140–148. [Google Scholar] [CrossRef]
  62. Yang, Y.H.; Hao, J.; Dong, Y.J.; Wang, G.; Dong, W.K. Two znic(II) complexes constructed from a bis(salamo)-type tetraoxime ligand: Syntheses, crystal structures and luminescence properties. Chin. J. Inorg. Chem. 2017, 33, 1280–1292. [Google Scholar]
  63. Xu, L.; Zhu, L.C.; Ma, J.C.; Zhang, Y.; Zhang, J.; Dong, W.K. Syntheses, structures and spectral properties of mononuclear CuII and dimeric ZnII complexes based on an asymmetric Salamo-type N2O2 ligand. Z. Anorg. Allg. Chem. 2015, 641, 2520–2524. [Google Scholar] [CrossRef]
  64. Tao, C.H.; Ma, J.C.; Zhu, L.C.; Zhang, Y.; Dong, W.K. Heterobimetallic 3d–4f Zn(II)–Ln(III) (Ln = Sm, Eu, Tb and Dy) complexes with a N2O4 bisoxime chelate ligand and a simple auxiliary ligand Py: Syntheses, structures and luminescence properties. Polyhedron 2017, 128, 38–45. [Google Scholar] [CrossRef]
  65. Dong, Y.J.; Ma, J.C.; Zhu, L.C.; Dong, W.K.; Zhang, Y. Four 3d–4f heteromultinuclear zinc(II)–lanthanide(III) complexes constructed from a distinct hexadentate N2O2-type ligand: Syntheses, structures and photophysical properties. J. Coord. Chem. 2017, 70, 103–115. [Google Scholar] [CrossRef]
  66. Dong, W.K.; Zhang, J.T.; Dong, Y.J.; Zhang, Y.; Wang, Z.K. Construction of mononuclear copper(II) and trinuclear cobalt(II) complexes based on asymmetric Salamo-type ligands. Z. Anorg. Allg. Chem. 2016, 642, 189–196. [Google Scholar] [CrossRef]
  67. Wang, P.; Zhao, L. Synthesis, structure and spectroscopic properties of the trinuclear cobalt(II) and nickel(II) complexes based on 2-hydroxynaphthaldehyde and bis(aminooxy)alkane. Spectrochim. Acta A 2015, 135, 342–350. [Google Scholar] [CrossRef] [PubMed]
  68. Dong, X.Y.; Kang, Q.P.; Li, X.Y.; Ma, J.C.; Dong, W.K. Structurally characterized solvent-induced homotrinuclear cobalt(II) N2O2-donor bisoxime-type complexes. Crystals 2018, 8, 139. [Google Scholar] [CrossRef]
  69. Dong, W.K.; Zheng, S.S.; Zhang, J.T.; Zhang, Y.; Sun, Y.X. Luminescent properties of heterotrinuclear 3d–4f complexes constructed from a naphthalenediol-based acyclic bis(salamo)-type ligand. Spectrochim. Acta A 2017, 184, 141–150. [Google Scholar] [CrossRef] [PubMed]
  70. Bernstein, J.; Davis, R.E.; Shimoni, L.; Chang, N.L. Patterns in hydrogen bonding: Functionality and graph set analysis in crystals. Angew. Chem. Int. Ed. Engl. 1995, 34, 1555–1573. [Google Scholar] [CrossRef]
  71. Kruszynski, R.; Sierański, T. Can stacking interactions exist beyond the commonly accepted limits? Cryst. Growth Des. 2016, 16, 587–595. [Google Scholar] [CrossRef]
  72. Chen, L.; Dong, W.K.; Zhang, H.; Zhang, Y.; Sun, Y.X. Structural variation and luminescence properties of tri- and dinuclear CuII and ZnII Complexes constructed from a naphthalenediol-based bis(Salamo)-type ligand. Cryst. Growth Des. 2017, 17, 3636–3648. [Google Scholar] [CrossRef]
  73. Chai, L.Q.; Wang, G.; Sun, Y.X.; Dong, W.K.; Zhao, L.; Gao, X.H. Synthesis, crystal structure, and fluorescence of an unexpected dialkoxo-bridged dinuclear copper(II) complex with bis(salen)-type tetraoxime. J. Coord. Chem. 2012, 65, 1621–1631. [Google Scholar] [CrossRef]
  74. Ma, J.C.; Dong, X.Y.; Dong, W.K.; Zhang, Y.; Zhu, L.C.; Zhang, J.T. An unexpected dinuclear Cu(II) complex with a bis(Salamo) chelating ligand: Synthesis, crystal structure, and photophysical properties. J. Coord. Chem. 2016, 69, 149–159. [Google Scholar] [CrossRef]
  75. Gao, L.; Liu, C.; Wang, F.; Dong, W.K. Tetra-, Penta- and Hexa-Coordinated Transition Metal Complexes Constructed from Coumarin-Containing N2O2 Ligand. Crystals 2018, 8, 77. [Google Scholar] [CrossRef]
  76. Dong, W.K.; Shi, J.Y.; Zhong, J.K.; Tian, Y.Q.; Duan, J.G. Synthesis, crystal structure and infrared spectral analysis for a trinuclear nickel(II) cluster. Chin. J. Inorg. Chem. 2008, 124, 10–14. [Google Scholar]
  77. Towatari, M.; Nishi, K.; Fujinami, T.; Matsumoto, N.; Sunatsuki, Y.; Kojima, M.; Mochida, N.; Ishida, T.; Re, N.; Mrozinski, J. Syntheses, structures, and magnetic properties of acetato- and diphenolato-bridged 3d–4f binuclear complexes [M(3-MeOsaltn)(MeOH)x(ac)Ln(hfac)2] (M = ZnII, CuII, NiII, CoII; Ln = LaIII, GdIII, TbIII, DyIII; 3-MeOsaltn = N,N′-bis(3-methoxy-2-oxybenzylidene)-1,3-propanediaminato; ac = acetato; hfac = hexafluoroacetylacetonato; x = 0 or 1). Inorg. Chem. 2013, 52, 6160–6178. [Google Scholar] [PubMed]
  78. Mabbs, F.E.; Machin, D.J. Magnetism and Transition Metal Complexes; Chapman and Hall: London, UK, 1974; pp. 200–201. [Google Scholar]
  79. Ginsberg, A.P.; Martin, R.L.; Sherwood, R.C. Magnetic exchange in transition metal complexes. IV. Linear trimeric bis(acetylacetonato)nickel(II). Inorg. Chem. 1968, 7, 932–936. [Google Scholar] [CrossRef]
  80. Zhang, H.; Dong, W.K.; Zhang, Y.; Akogun, S.F. Naphthalenediol-based bis(Salamo)-type homo- and heterotrinuclear cobalt(II) complexes: Syntheses, structures and magnetic properties. Polyhedron 2017, 133, 279–293. [Google Scholar] [CrossRef]
Scheme 1. Synthetic route to H2L1.
Scheme 1. Synthetic route to H2L1.
Crystals 08 00173 sch001
Scheme 2. Synthetic routes to the coordination compounds 14.
Scheme 2. Synthetic routes to the coordination compounds 14.
Crystals 08 00173 sch002
Figure 1. Infrared spectra of H2L1 and its coordination compounds 14.
Figure 1. Infrared spectra of H2L1 and its coordination compounds 14.
Crystals 08 00173 g001
Figure 2. UV–vis spectra of H2L1 and its coordination compounds 14 in chloroform (c = 2.5 × 10−5 M).
Figure 2. UV–vis spectra of H2L1 and its coordination compounds 14 in chloroform (c = 2.5 × 10−5 M).
Crystals 08 00173 g002
Figure 3. (a) Molecular structure and atom numberings of the coordination compound 1 with 30% probability displacement ellipsoids; (b) Coordination polyhedrons for NiII atoms.
Figure 3. (a) Molecular structure and atom numberings of the coordination compound 1 with 30% probability displacement ellipsoids; (b) Coordination polyhedrons for NiII atoms.
Crystals 08 00173 g003
Figure 4. (a) Molecular structure and atom numberings of the coordination compound 2 with 30% probability displacement ellipsoids; (b) Coordination polyhedrons for NiII atoms.
Figure 4. (a) Molecular structure and atom numberings of the coordination compound 2 with 30% probability displacement ellipsoids; (b) Coordination polyhedrons for NiII atoms.
Crystals 08 00173 g004
Figure 5. (a) Molecular structure and atom numberings of the coordination compound 3 with 30% probability displacement ellipsoids; (b) Coordination polyhedrons for NiII atoms.
Figure 5. (a) Molecular structure and atom numberings of the coordination compound 3 with 30% probability displacement ellipsoids; (b) Coordination polyhedrons for NiII atoms.
Crystals 08 00173 g005
Figure 6. View of the intramolecular hydrogen bond interactions of the coordination compound 1.
Figure 6. View of the intramolecular hydrogen bond interactions of the coordination compound 1.
Crystals 08 00173 g006
Figure 7. (a) Graph set assignments for coordination compound 1; (b) Partial enlarged drawing of hydrogen bonds.
Figure 7. (a) Graph set assignments for coordination compound 1; (b) Partial enlarged drawing of hydrogen bonds.
Crystals 08 00173 g007
Figure 8. View of the intramolecular hydrogen bond interactions of the coordination compound 2.
Figure 8. View of the intramolecular hydrogen bond interactions of the coordination compound 2.
Crystals 08 00173 g008
Figure 9. (a) Graph set assignments for coordination compound 2; (b) Partial enlarged drawing of hydrogen bonds.
Figure 9. (a) Graph set assignments for coordination compound 2; (b) Partial enlarged drawing of hydrogen bonds.
Crystals 08 00173 g009
Figure 10. View of the intramolecular hydrogen bond interactions of the coordination compound 3.
Figure 10. View of the intramolecular hydrogen bond interactions of the coordination compound 3.
Crystals 08 00173 g010
Figure 11. (a) Graph set assignments for coordination compound 3; (b) Partial enlarged drawing of hydrogen bonds.
Figure 11. (a) Graph set assignments for coordination compound 3; (b) Partial enlarged drawing of hydrogen bonds.
Crystals 08 00173 g011
Figure 12. View of an infinite 1D hydrogen bonded chain of the coordination compound 3.
Figure 12. View of an infinite 1D hydrogen bonded chain of the coordination compound 3.
Crystals 08 00173 g012
Figure 13. π⋯π interactions of coordination compound 3.
Figure 13. π⋯π interactions of coordination compound 3.
Crystals 08 00173 g013
Figure 14. (a) Molecular structure and atom numberings of the coordination compound 4 with 30% probability displacement ellipsoids; (b) Coordination polyhedrons for CuII atom.
Figure 14. (a) Molecular structure and atom numberings of the coordination compound 4 with 30% probability displacement ellipsoids; (b) Coordination polyhedrons for CuII atom.
Crystals 08 00173 g014
Figure 15. View of the intramolecular hydrogen bond interactions of the coordination compound 4.
Figure 15. View of the intramolecular hydrogen bond interactions of the coordination compound 4.
Crystals 08 00173 g015
Figure 16. (a) Graph set assignments for coordination compound 4; (b) Partial enlarged drawing of hydrogen bonds.
Figure 16. (a) Graph set assignments for coordination compound 4; (b) Partial enlarged drawing of hydrogen bonds.
Crystals 08 00173 g016
Figure 17. View of an infinite 1D hydrogen bonded chain motif of the coordination compound 4 along the b axis.
Figure 17. View of an infinite 1D hydrogen bonded chain motif of the coordination compound 4 along the b axis.
Crystals 08 00173 g017
Figure 18. Emission spectra of H2L1ex = 324 nm) and the coordination compounds 14ex = 378 nm) in CH3OH (2.5 × 10−5 M).
Figure 18. Emission spectra of H2L1ex = 324 nm) and the coordination compounds 14ex = 378 nm) in CH3OH (2.5 × 10−5 M).
Crystals 08 00173 g018
Figure 19. Plots of χMT vs. T for the coordination compound 1 between 2 to 300 K. Inset: Temperature dependence of χM−1. The red solid lines show the best fitting results.
Figure 19. Plots of χMT vs. T for the coordination compound 1 between 2 to 300 K. Inset: Temperature dependence of χM−1. The red solid lines show the best fitting results.
Crystals 08 00173 g019
Table 1. X-ray crystallographic data for the coordination compounds 1–4.
Table 1. X-ray crystallographic data for the coordination compounds 1–4.
Coordination Compound1234
Empirical formulaC40H42Cl4Ni3N4O14C50H66Cl4Ni3N4O16C49.12H59.94Cl4Ni3N7.71O15.71C16H14Cl2CuN2O4
Formula weight1120.701297.001327.65432.73
T (K)293 (2)294.39 (10)293 (2)293 (2)
Wavelength (Å)0.710730.710730.710730.71073
Crystal systemtriclinictriclinictriclinicmonoclinic
Space groupP − 1P − 1P − 1C 2/c
a (Å)9.289 (8)9.4955 (7)11.3008 (8)23.652 (3)
b (Å)11.630 (10)12.1979 (7)11.3069 (10)5.0493 (6)
c (Å)14.042 (12)13.4593 (9)12.1027 (10)13.7190 (17)
α (°)67.599 (10)70.556 (6)102.513 (7)90
β (°)76.686 (10)81.564 (6)100.115 (7)95.195 (12)
γ (°)87.161 (12)82.607 (6)94.689 (7)90
V (Å3)1364 (2)1448.76 (17)1474.7 (2)1631.7 (3)
Z1114
Dcalc (g∙cm–3)1.3651.4871.4951.762
Absorption coefficient (mm–1)1.2791.2171.1991.691
F (000)574674686876
Crystal size (mm)0.19 × 0.22 × 0.260.24 × 0.25 × 0.290.17 × 0.24 × 0.260.04 × 0.05 × 0.37
θ Range (°)1.611–26.4923.40–26.023.519–26.0203.31–26.02
Index ranges–11 ≤ h ≤ 11–11 ≤ h ≤ 11–13 ≤ h ≤ 13–23 ≤ h ≤ 28
–14 ≤ k ≤ 13–15 ≤ k ≤ 14–13 ≤ k ≤ 13–6 ≤ k ≤ 3
–17 ≤ l ≤ 17–16 ≤ l ≤ 16–14 ≤ l ≤ 14–12 ≤ l ≤ 16
Reflections collected/unique10,579/5502
[Rint = 0.0713]
9926/5688
[Rint = 0.0369]
10,346/5788
[Rint = 0.0374]
3049/1608
[Rint = 0.0259]
Completeness to θ97.7% (θ = 25.24)99.8% (θ = 26.00)99.8% (θ = 25.242)99.9% (θ = 25.50)
Data/restraints/parameters5502/0/2975688/3/3595788/36/3731608/0/120
GOF1.0411.0381.0531.061
Final R1, wR2 indices0.0747, 0.18800.0492, 0.10810.0524, 0.11880.0376, 0.0833
R1, wR2 indices (all data)0.1330, 0.21020.0721, 0.12390.0821, 0.14220.0517, 0.0948
Table 2. Selected bond lengths (Å) and angles (°) for the coordination compounds 13.
Table 2. Selected bond lengths (Å) and angles (°) for the coordination compounds 13.
Coordination Compound 1 Coordination Compound 2 Coordination Compound 3
BondLengthsBondLengthsBondLengths
Ni1-O32.012(4)Ni1-O12.019(2)Ni1-O12.085(3)
Ni1-O42.021(4)Ni1-O42.023(2)Ni1-O42.106(2)
Ni1-O52.099(5)Ni1-O52.035(2)Ni1-O62.033(3)
Ni1-O62.029(5)Ni1-O62.112(3)Ni1-O1 #32.085(3)
Ni1-N12.088(5)Ni1-N12.057(3)Ni1-O4 #32.106(2)
Ni1-N22.074(5)Ni1-N22.057(3)Ni1-O6 #32.032(3)
Ni2-O32.067(4)Ni2-O12.071(2)Ni2-O12.032(2)
Ni2-O3 #12.067(4)Ni2-O1 #22.071(2)Ni2-O42.032(3)
Ni2-O42.041(4)Ni2-O42.080(2)Ni2-O52.023(3)
Ni2-O4 #12.041(4)Ni2-O4 #22.080(2)Ni2-O72.167(3)
Ni2-O72.072(5)Ni2-O82.084(2)Ni2-N12.053(3)
Ni2-O7 #12.072(5)Ni2-O8 #22.084(2)Ni2-N22.072(4)
BondAnglesBondAnglesBondAngles
O3-Ni1-O478.32(15)O1-Ni1-O479.68(10)O1-Ni1-O479.36(10)
O3-Ni1-O590.92(17)O1-Ni1-O591.06(10)O1-Ni1-O1 #3180.0
O3-Ni1-O691.44(17)O1-Ni1-O691.24(10)O1-Ni1-O4 #3100.64(10)
O3-Ni1-N186.93(16)O1-Ni1-N187.83(11)O6-Ni1-O187.39(11)
O3-Ni1-N2163.80(17)O1-Ni1-N2167.87(11)O6-Ni1-O490.14(11)
O4-Ni1-O589.55(19)O4-Ni1-O593.90(10)O6-Ni1-O4 #389.86(11)
O4-Ni1-O695.26(18)O4-Ni1-O688.25(11)O6-Ni1-O1 #392.62(11)
O4-Ni1-N1164.23(18)O4-Ni1-N1166.63(11)O6-Ni1-O6 #3180.0
O4-Ni1-N285.86(17)O4-Ni1-N288.34(11)O1 #3-Ni1-O4 #379.36(10)
O5-Ni1-O6174.98(16)O5-Ni1-O6177.10(10)O1 #3-Ni1-O4100.64(10)
O5-Ni1-N185.1(2)O5-Ni1-N191.04(11)O4 #3-Ni1-O4180.0
O5-Ni1-N292.4(2)O5-Ni1-N291.68(11)O6 #3-Ni1-O4 #390.14(11)
O6-Ni1-N190.6(2)O6-Ni1-N187.28(13)O6 #3-Ni1-O1 #392.62(11)
O6-Ni1-N286.5(2)O6-Ni1-N286.43(12)O6 #3-Ni1-O192.61(11)
N1-Ni1-N2109.15(18)N1-Ni1-N2103.93(12)O6 #3-Ni1-O489.86(11)
O3-Ni2-O3 #1180.0O1-Ni2-O1 #2180.0O1-Ni2-O790.12(11)
O3-Ni2-O476.62(15)O1-Ni2-O477.20(9)O1-Ni2-N1169.59(12)
O3-Ni2-O4 #1103.38(15)O1-Ni2-O4 #2102.80(9)O1-Ni2-N286.70(12)
O3-Ni2-O790.29(17)O1-Ni2-O890.11(9)O4-Ni2-N188.32(12)
O3-Ni2-O7 #189.71(17)O1-Ni2-O8 #289.89(9)O4-Ni2-N2169.28(12)
O3 #1-Ni2-O4103.38(15)O1 #2-Ni2-O4102.80(9)O4-Ni2-O182.93(11)
O3 #1-Ni2-O4 #176.62(15)O1 #2-Ni2-O4 #277.20(9)O4-Ni2-O590.72(11)
O3 #1-Ni2-O789.71(17)O1 #2-Ni2-O889.89(9)O4-Ni2-O792.00(11)
O3 #1-Ni2-O7 #190.29(17)O1 #2-Ni2-O8 #290.11(9)O5-Ni2-O191.71(11)
O4-Ni2-O4 #1180.0O4-Ni2-O4 #2180.00(13)O5-Ni2-O7176.89(11)
O4-Ni2-O788.39(16)O4-Ni2-O889.72(9)O5-Ni2-N194.04(12)
O4-Ni2-O7 #191.61(16)O4-Ni2-O8 #290.28(9)O5-Ni2-N292.32(13)
O4 #1-Ni2-O791.61(16)O4 #2-Ni2-O890.28(9)N1-Ni2-O784.54(12)
O4 #1-Ni2-O7 #188.39(16)O4 #2-Ni2-O8 #289.72(9)N1-Ni2-N2101.71(13)
O7-Ni2-O7 #1180.0(2)O8-Ni2-O8 #2180.0N2-Ni2-O785.27(13)
Symmetry transformations used to generate equivalent atoms: #1 –x + 1, −y + 1, −z + 1; #2 x + 1, y + 1, z; #3 −x, −y, −z + 1.
Table 3. Selected bond lengths (Å) and angles (°) for the coordination compound 4.
Table 3. Selected bond lengths (Å) and angles (°) for the coordination compound 4.
BondLengthsBondLengths
Cu1-O11.910(2)Cu1-O1 #41.910(2)
Cu1-N11.915(3)Cu1-N1 #41.915(3)
BondAnglesBondAngles
O1-Cu1-O1 #4180.0O1-Cu1-N187.92(11)
O1-Cu1-N1 #492.08(11)O1 #4-Cu1-N192.08(11)
O1 #4-Cu1-N1 #487.93(11)N1-Cu1-N1 #4180.0
Symmetry transformations used to generate equivalent atoms: #4 −x, −y, −z + 1.
Table 4. Hydrogen bonding interactions [Å °] for the coordination compounds 14.
Table 4. Hydrogen bonding interactions [Å °] for the coordination compounds 14.
D–H⋯Ad(D–H)d(H–A)d(D–A)∠D–X–A
Coordination compound 1
  O5–H5⋯O30.872.572.932(7)106
  C3–H3⋯O70.932.533.238(7)133
  C8–H8B⋯O20.972.442.810(8)102
  C10–H10B⋯O10.972.562.888(9)100
  C10–H10B⋯O60.972.483.381(10)154
  C16–H16⋯O70.932.583.234(8)128
Coordination compound 2
  O6–H6⋯O70.86(4)1.78(4)2.637(5)174(2)
  O7–H7A⋯O80.70(5)2.08(5)2.777(4)171(5)
  C8–H8A⋯O50.972.553.380(6)143
Coordination compound 3
  C8–H8A⋯O50.972.383.226(6)146
  C10–H10B⋯O50.972.553.340(5)138
  C20–H20⋯O60.932.453.360(5)167
  C22–H22C⋯O70.962.422.752(8)100
  C24–H24B⋯O80.962.152.543(17)103
  C13–H13⋯O80.932.483.306(10)149
  C25–H25B⋯O30.962.483.418(13)165
  C23–H23⋯O80.932.603.328(16)139
Coordination compound 4
  N1–H1⋯O10.70(4)2.45(3)2.655(4)100(3)
  C5–H5⋯O20.932.282.633(4)102

Share and Cite

MDPI and ACS Style

Zhang, L.-W.; Li, X.-Y.; Kang, Q.-P.; Liu, L.-Z.; Ma, J.-C.; Dong, W.-K. Structures and Fluorescent and Magnetic Behaviors of Newly Synthesized NiII and CuII Coordination Compounds. Crystals 2018, 8, 173. https://doi.org/10.3390/cryst8040173

AMA Style

Zhang L-W, Li X-Y, Kang Q-P, Liu L-Z, Ma J-C, Dong W-K. Structures and Fluorescent and Magnetic Behaviors of Newly Synthesized NiII and CuII Coordination Compounds. Crystals. 2018; 8(4):173. https://doi.org/10.3390/cryst8040173

Chicago/Turabian Style

Zhang, Lin-Wei, Xiao-Yan Li, Quan-Peng Kang, Ling-Zhi Liu, Jian-Chun Ma, and Wen-Kui Dong. 2018. "Structures and Fluorescent and Magnetic Behaviors of Newly Synthesized NiII and CuII Coordination Compounds" Crystals 8, no. 4: 173. https://doi.org/10.3390/cryst8040173

APA Style

Zhang, L.-W., Li, X.-Y., Kang, Q.-P., Liu, L.-Z., Ma, J.-C., & Dong, W.-K. (2018). Structures and Fluorescent and Magnetic Behaviors of Newly Synthesized NiII and CuII Coordination Compounds. Crystals, 8(4), 173. https://doi.org/10.3390/cryst8040173

Note that from the first issue of 2016, this journal uses article numbers instead of page numbers. See further details here.

Article Metrics

Back to TopTop