Abstract
X-ray diffraction showed that an La7.0Mg75.5Ni17.5 alloy prepared via inductive melting was composed of an La2Mg17 phase, an LaMg2Ni phase, and an Mg2Ni phase. After the first hydrogen absorption/desorption process, the phases of the alloy turned into an La–H phase, an Mg phase, and an Mg2Ni phase. The enthalpy and entropy derived from the van’t Hoff equation for hydriding were −42.30 kJ·mol−1 and −69.76 J·K−1·mol−1, respectively. The hydride formed in the absorption step was less stable than MgH2 (−74.50 kJ·mol−1 and −132.3 J·K−1·mol−1) and Mg2NiH4 (−64.50 kJ·mol−1 and −123.1 J·K−1·mol−1). Differential thermal analysis showed that the initial hydrogen desorption temperature of its hydride was 531 K. Compared to Mg and Mg2Ni, La7.0Mg75.5Ni17.5 is a promising hydrogen storage material that demonstrates fast adsorption/desorption kinetics as a result of the formation of an La–H compound and the synergetic effect of multiphase.
1. Introduction
Hydrogen is considered a promising energy carrier to replace the traditional fossil fuels because it is abundant, lightweight, and environmentally friendly, and has high energy content (142 MJ∙kg−1) [1]. As an ideal energy carrier, hydrogen can be easily converted into a needed form of energy without releasing harmful emissions [2]. However, up to now, highly efficient hydrogen storage technology remains challenging, as the practical application of hydrogen energy is constrained [3]. More attention has been paid to magnesium hydride (MgH2), which is a highly promising material for hydrogen storage given its high hydrogen storage capacity (7.6 wt %), low density, good reversibility, and low cost [4,5,6,7,8]. Unfortunately, its practical application in hydrogen storage is limited by slow absorption/desorption kinetics and high thermodynamic stability (ΔH = −74.50 kJ∙mol−1 H2) [9,10]. In the past several decades, Mg has been alloyed with various metals to form Mg-based alloys to improve its hydrogenation properties. In numerous Mg-based alloys, rare-earth (RE) Mg alloys and Mg-transition metal alloys have been intensively investigated. An La–Mg alloy was first reported by Hagenmull et al. in 1980 with admirable hydrogen storage properties [11], and Zou et al. [12] found that RE (RE = Nd, Gd, Er) in solid state solutions in Mg contribute to the improved hydrogenation thermodynamics and kinetics of Mg ultrafine particles. Considering the relatively fine hydrogen storage properties, Mg2Ni alloys are a classic material in Mg-transition metal alloys [13].
In recent studies, ternary alloys defined as La–Mg–Ni alloys was successfully developed by introducing Ni into La2Mg17. This material with the optimized composition of LaMg2Ni exhibited a relatively low hydrogen desorption temperature and fine kinetic properties [14]. However, the hydrogen storage capacity of this alloy was dramatically reduced by excessive un-hydrogenation elements such as La and Ni. A feasible method of improving the hydrogenation capacity of an La–Mg–Ni alloy is to increase the account of Mg in the alloy. Balcerzak investigated the hydrogen storage capacity of La2−xMgxNi7 alloys (x = 0, 0.25, 0.5, 0.75, 1). It was observed that the gaseous hydrogen storage capacity of La–Mg–Ni alloys increases with Mg content to a maximum in La1.5Mg0.5Ni7 alloys [15]. In this paper, an La7.0Mg75.5Ni17.5 alloy was prepared by inductive melting to achieve a uniform phase distribution. Their hydrogenation properties and phase transformation in the hydrogen storage cycles were further investigated to evaluate their potential for application in hydrogen storage.
2. Experimental Section
An La7.0Mg75.5Ni17.5 alloy ingot was prepared by inductive melting of high-purity La, Mg, and Ni (purity more than 99.9%) in a magnesia crucible under an argon atmosphere. The ingots were mechanically crushed and ground in air into fine powders. Powders with particle sizes of 38–74 μm were used in a P–C–T test, and those with particle sizes less than 38 μm were used in X-ray diffraction analysis. The phase structure of the as-cast alloy and the hydrogenated alloy were measured with a D/max-2500/PC X-ray diffractometer (Rigaku, Tokyo, Japan) with Cu Kα radiation and analyzed using Jade-5.0 software. Scanning electron microscopy (SEM) images of the La7.0Mg75.5Ni17.5 alloy were obtained with a HITACHI S-4800 scanning electron microscope (Hitachi, Tokyo, Japan) with an energy dispersive X-ray spectrometer (EDS) (Shimadzu, Kyoto, Japan). Hydrogen storage property measurements were carried out using P–C–T characteristic measurement equipment (Suzuki Shokan, Tokyo, Japan). The measurement conditions were as follows: delay time: 300 s; maximum pressure: 3 MPa. The hydriding kinetic of the as-cast alloy was also tested via P–C–T characteristic measurement equipment under a hydrogen pressure of 3 MPa.
3. Results and Discussion
No standard powder diffraction pattern for LaMg2Ni is available in any of the ICDD (International Center for Diffraction Data) files. For a clear, standard XRD pattern of LaMg2Ni, the cell parameters and atom positions for single crystal alloys are listed in Table 1. Its crystal structure was drawn with Diamond 3.0 software in Figure 1. It can be seen that the La7.0Mg75.5Ni17.5 alloy had a multiphase structure containing an LaMg2Ni phase with a CuMgAl2-type structure [16,17,18], an La2Mg17 phase with an Ni17Th2-type structure, and an Mg2Ni phase. No La–Ni phase was observed, which is ascribed to the abundant Mg atoms in the alloy; thus, the La and Ni atoms are a solid solute and readily alloy with the Mg.
Table 1.
X-ray structure refinement results on a single crystal of LaMg2Ni.
Figure 1.
XRD patterns of the La7.0Mg75.5Ni17.5 alloy: (a) simulated LaMg2Ni phase; (b) as-cast and crystal structure of LaMg2Ni.
Figure 2 shows the SEM micrographs of the La7.0Mg75.5Ni17.5 alloy, and its EDS analysis is listed in Table 2. The La7.0Mg75.5Ni17.5 alloy contains three distinct crystallography phases: the first is the La2Mg17 phase in the black region (identified as A), the second is the LaMg2Ni phase in the bright region (identified as B), and the third is the Mg2Ni phase in the dark region (identified as C). According to the EDS analysis results of the phases in the alloy, which are listed in Table 2, the determinations of the phases correspond to the XRD analyses.
Figure 2.
SEM micrographs and elements distribution images on the surface of the La7.0Mg75.5Cu17.5 alloy.
Table 2.
EDS analysis of the La7.0Mg75.5Ni17.5 alloy.
The phase constituent of the alloys after dehydrogenation is presented in Figure 3. The peaks of LaH2.46, Mg, Mg2Ni, and MgH2 were observed after the hydrogen desorption process. When hydrogenation is carried out, the LaMg2Ni phase decompounds to an La phase and an Mg2Ni phase, the La phase then forms a stable La hydride, and the Mg2Ni turns into Mg2NiH4 in the hydrogen atmosphere [19,20]. The reaction of the LaMg2Ni phase can be summarized as follows:
Figure 3.
XRD pattern of the dehydrogenated La7.0Mg75.5Ni17.5 alloy.
The La2Mg17 phase decompounded to an La phase and an Mg phase. Then, the La phase turned into La–H, and Mg changed into MgH2. The phase transformation of La2Mg17 can be described as
The Mg2Ni phase turns into Mg2NiH4 when it absorbs hydrogen, and turns back into Mg2Ni in the hydrogen desorption process. The MgH2 phase can be seen in Figure 3, which shows that the hydrogen desorption process of the alloy is incomplete.
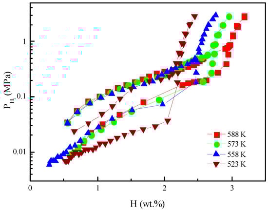
The P–C–T curves of the La7.0Mg75.5Ni17.5 alloy at different temperatures are shown in Figure 4. Because of the decomposition of the LaMg2Ni phase and the La2Mg17 phase, the actual absorb/desorb hydrogen phase are the Mg phase and the Mg2Ni phase, which is consistent with the XRD pattern of the dehydrogenated alloy in Figure 3. A slant plateau can be observed in each hydrogen absorb/desorb process, indicating that the amount of H solute in the alloy increases with the rise of H pressure. This is due to the multiphase structure of the alloy, which is abundant in phase interfaces. H atoms readily enter the interfaces and then compose with Mg or Mg2Ni to form the MgH2 and Mg2NiH4. With the reduction of hydrogenation temperature, the maximum capacity of the La7.0Mg75.5Ni17.5 alloy decreased from 3.18 wt % (588 K) to 2.45 wt % (523 K), suggesting that the activity of the interface is restricted by a relatively low temperature.
Figure 4.
The P–C–T curves of the La7.0Mg75.5Ni17.5 alloy at different temperatures.
In order to obtain the thermodynamic parameters of the hydriding reaction of the La7.0Mg75.5Ni17.5 alloy, the plateau pressure (P, absolute atmosphere) and temperature (T, in K) are plotted according to the van’t Hoff equation (Equation (3)).
where K is the equilibrium constant (K = 1/ in the hydriding process) and the van’t Hoff plots are demonstrated in Figure 5. According to the van’t Hoff equation, the enthalpy and entropy for the hydriding reaction are calculated to be −42.30 kJ·mol−1 and −69.76 J·K−1·mol−1, respectively. The results show that the alloy has a low enthalpy, its absolute value is lower than those of MgH2 and Mg2NiH4. The improvement on the hydrogen storage properties of the La7.0Mg75.5Ni17.5 alloy is because of the existence of LaH, which can reduce the enthalpy change of the hydriding process of the Mg and Mg2Ni phase in this alloy. The main reason for these experimental results is that LaH can increase the reactive surface area and dramatically reduce the diffusion length of hydrogen.
Figure 5.
The van’t Hoff plot of the alloy in hydrogenation processes.
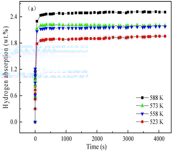
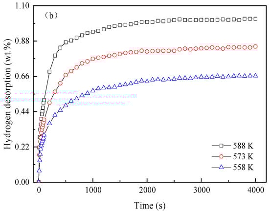
The hydriding/dehydriding processes kinetic curves of the La7.0Mg75.5Ni17.5 alloy at different temperatures are shown in Figure 6. Figure 6a shows that the uptake time for the hydrogen content to reach 90% of the maximum storage capacity was less than 60 s at various temperatures. The amount of hydrogen desorption increased as the temperature increased. Figure 7 compares the dehydriding kinetic curves of La7.0Mg75.5Ni17.5 with that of pure MgH2 powder at 573 K. The hydride of the alloy presented a significant improvement on both hydrogen desorption kinetics and hydrogen absorption capacities. During 1800 s, 0.99 wt % hydrogen desorbed from the hydride of the La7.0Mg755Ni17.5 alloy, while pure MgH2 powder only desorbed 0.39 wt % hydrogen.

Figure 6.
Kinetics of the La7.0Mg75.5Ni17.5 alloy at different temperatures: (a) hydriding processes, (b) dehydriding processes.
Figure 7.
Dehydriding kinetics of the La7.0Mg75.5Ni17.5 alloy and MgH2 at 573 K.
The differential thermal analysis (DTA) of MgH2, Mg2NiH4, and hydride of the La7.0Mg755Ni17.5 alloy are presented in Figure 8. It can be seen that the initial hydrogen desorption temperature of the alloy hydride of 531 K was lower than that of MgH2 (714 K) and Mg2NiH4 (549 K). The ameliorations on the thermo and kinetic properties of La7.0Mg75.5Ni17.5 are attributed to the facts that hydrogen atoms in its hydride increase the crystalline parameters and further enhance the interaction between the MgH2 phase and the Mg2NiH4 phase. This interaction evolves into a synergetic effect in the multiphase structure and facilitates its hydrogen desorption [21,22]. During dehydrogenation, Mg2NiH4 first desorbed hydrogen and exhibited a significant volume contraction, causing a significant contraction strain of MgH2. Therefore, it increased the energy of the MgH2 phase and advantaged the dehydrogenation of the MgH2 phase [23,24,25].
Figure 8.
DTA curves of MgH2, Mg2NiH4, and hydride of the La7.0Mg755Ni17.5 alloy.
4. Conclusions
The phase transformation and hydrogen storage properties of a multiphase La7.0Mg17.5Ni17.5 alloy were investigated in this work. The hydriding process leads to the formation of the La–H, Mg2NiH4, and MgH2 phases. The hydrogen absorption capacity is 2.45 wt % at 523 K. A low enthalpy (−42.30 kJ·mol−1) that is lower than that of MgH2 (−74.50 kJ·mol−1) and Mg2NiH4 (−74.50 kJ·mol−1) was obtained. The uptake time for hydrogen content to reach 90% of the maximum storage capacity for the La7.0Mg75.5Ni17.5 alloy was less than 60 s at all testing temperatures, and the initial hydrogen desorption temperature of the alloy hydride (531 K) was lower than both MgH2 (714 K) and Mg2NiH4 (549 K). Generally, the dissociation of magnesium hydride does not occur below 573 K. Improvement in the hydrogen storage properties of the La7.0Mg75.5Ni17.5 alloy is due to the presence of La–H and the synergetic effect between the phases during the hydriding/dehydriding process.
Acknowledgments
This research was supported by the National Natural Science Foundation of China (51502235 and 51502234), the President’s Fund of Xi’an Technological University (XAGDXJJ5011), and the Natural Science Basic Research Plan in Shaanxi Province of China (2016JQ5011).
Author Contributions
Hu Lin designed the research and wrote the manuscript. Nan Ruihua, Gao Ling, and Wang Yujing performed experiments, collected data, and generated the figures. Both authors contributed to editing and reviewing the manuscript.
Conflicts of Interest
The authors declare no conflict of interest.
References
- Liu, T.; Shen, H.L.; Liu, Y.; Xie, L. Scaled-up synthesis of nanostructured Mg-based compounds and their hydrogen storage properties. J. Power Sources 2013, 227, 86–93. [Google Scholar] [CrossRef]
- Liu, Y.F.; Yang, Y.X.; Gao, M.X.; Pan, H.G. Tailoring Thermodynamics and Kinetics for Hydrogen Storage in Complex Hydrides towards Applications. Chem. Rec. 2016, 16, 189–204. [Google Scholar] [CrossRef]
- Ma, X.J.; Xie, X.B.; Liu, P.; Xu, L.; Liu, T. Synergic catalytic effect of Ti hydride and Nb nanoparticles for improving hydrogenation and dehydrogenation kinetics of Mg-based nanocomposite. Prog. Nat. Sci-Mater. 2017, 27, 99–104. [Google Scholar] [CrossRef]
- Zhu, X.L.; Pei, L.C.; Zhao, Z.Y. The catalysis mechanism of La hydrides on hydrogen storage properties of MgH2 in MgH2 + x wt.% LaH3 (x = 0, 10, 20, and 30) composites. J. Alloys Compd. 2013, 557, 64–69. [Google Scholar] [CrossRef]
- Hu, L.; Han, M.; Li, J.H. Phase structure and hydrogen absorption property of LaMg2Cu. Mater. Sci. Eng. B. 2010, 166, 209–212. [Google Scholar] [CrossRef]
- Hu, L.; Han, S.M.; Yang, C. Phase Structure and Hydrogen Storage Property of LaMg2Cu1 − xNix (x = 0~0.90) Alloys. Chin. J. Inorg. Chem. 2010, 26, 1044–1048. [Google Scholar] [CrossRef]
- Abdellatief, M.; Campostrini, R.; Leoni, M. Effects of SnO2 on hydrogen desorption of MgH2. Int. J. Hydrog. Energy 2013, 38, 4664–4669. [Google Scholar] [CrossRef]
- Pei, P.; Song, X.P.; Liu, J. Study on the hydrogen desorption mechanism of a Mg-V composite prepared by SPS. Int. J. Hydrog. Energy 2012, 37, 984–989. [Google Scholar] [CrossRef]
- Ares, J.R.; Leardini, F.; Díaz-Chao, P. Hydrogen desorption in nanocrystalline MgH2 thin films at room temperature. J. Alloys Compd. 2010, 495, 650–654. [Google Scholar] [CrossRef]
- Wang, H.; Zhang, J.; Liu, J.W. Improving hydrogen storage properties of MgH2 by addition of alkali hydroxides. Int. J. Hydrog. Energy 2013, 38, 10932–10938. [Google Scholar] [CrossRef]
- Darriet, B.; Pezat, M.; Hbika, A. Application of magnesium rich rare-earth alloys to hydrogen storage. Int. J. Hydrog. Energy 1980, 5, 173–178. [Google Scholar] [CrossRef]
- Zou, J.X.; Zeng, X.Q.; Ying, Y.J. Study on the hydrogen storage properties of core-shell structured Mg-RE (RE = Nd, Gd, Er) nano-composites synthesized through arc plasma method. Int. J. Hydrog. Energy 2013, 19, 2337–2346. [Google Scholar] [CrossRef]
- Atias-Adrian, I.C.; Deorsola, F.A.; Ortigoza-Villalba, G.A. Development of nanostructured Mg2Ni alloys for hydrogen storage applications. Int. J. Hydrog. Energy 2011, 36, 7897–7910. [Google Scholar] [CrossRef]
- Li, X.; Yang, T.; Zhang, Y.H. Kinetic properties of La2Mg17−x wt.% Ni (x = 0–200) hydrogen storage alloys prepared by ball milling. Int. J. Hydrog. Energy 2014, 39, 13557–13563. [Google Scholar] [CrossRef]
- Balcerzak, M.; Nowak, M.; Jurczyk, M. Hydrogenation and electrochemical studies of La–Mg–Ni alloys. Int. J. Hydrog. Energy 2017, 42, 1436–1443. [Google Scholar] [CrossRef]
- Lin, H.J.; Ouyang, L.Z.; Wang, H. Phase transition and hydrogen storage properties of melt-spun Mg3LaNi0.1 alloy. Int. J. Hydrog. Energy 2012, 37, 1145–1150. [Google Scholar] [CrossRef]
- Renaudin, G.; Guenee, L.; Yvon, K. LaMg2NiH7, a novel quaternary metal hydride containing tetrahedral [NiH4]4− complexes and hydride anions. J. Alloys Compd. 2003, 350, 145–150. [Google Scholar] [CrossRef]
- Rodewald, U.C.; Chevalier, B.; Pöttgen, R. Rare earth-transition metal-magnesium compounds—An overview. J Solid State Chem. 2007, 180, 1720–1736. [Google Scholar] [CrossRef]
- Negri, S.D.; Giovannini, M.; Saccone, A. Constitutional properties of the La–Cu–Mg system at 400 °C. J. Alloys Compd. 2006, 427, 134–141. [Google Scholar] [CrossRef]
- Chio, M.D.; Ziggiotti, A.; Baricco, M. Effect of microstructure on hydrogen absorption in LaMg2Ni. Intermetallics 2008, 16, 102–106. [Google Scholar] [CrossRef]
- Teresiak, A.; Uhlemann, M.; Thomas, J. Influence of Co and Pd on the formation of nanostructured LaMg2Ni and its hydrogen reactivity. J. Alloys Compd. 2014, 582, 647–658. [Google Scholar] [CrossRef]
- Pei, L.C.; Han, S.M.; Zhu, X.L. Effect of La hydride Compound on Hydriding Process of Mg2Ni Phase in LaMg2Ni Alloy. Chin. J. Inorg. Chem. 2012, 28, 1489–1494. [Google Scholar]
- Zaluska, A.; Zaluski, L.; Ström-Olsen, J.O. Synergy of hydrogen sorption in ball-milled hydrides of Mg and Mg2Ni. J. Alloys Compd. 1999, 289, 197–206. [Google Scholar] [CrossRef]
- Li, Z.N.; Jiang, L.J.; Liu, X.P. Dehydriding properities of Mg-20%(RE-Ni)(RE = La, Y, Mm) composites. J. Chin. Rare Earth Soc. 2008, 26, 624–628. [Google Scholar]
- Zhang, H.G.; Lv, P.; Wang, Z.M. Effect of Mg content on structure, hydrogen storage properties and thermal stability of melt-spun Mgx(LaNi3)100−x alloys. Int. J. Hydrog. Energy 2014, 39, 9267–9275. [Google Scholar] [CrossRef]
© 2017 by the authors. Licensee MDPI, Basel, Switzerland. This article is an open access article distributed under the terms and conditions of the Creative Commons Attribution (CC BY) license (http://creativecommons.org/licenses/by/4.0/).