Copper-Substituted Calcium Orthophosphate (CaxCu1-x)HPO4.nH2O for Humidity Detection
Abstract
1. Introduction
2. Materials and Methods
2.1. Synthesis of CaxM1-xHPO4.nH2O Compounds
2.2. Preparation of the Ink and Sensing Film
2.3. Fabrication and Measurement of Gas Sensors
3. Results and Discussion
3.1. Sensors’ Microstructural Characterization
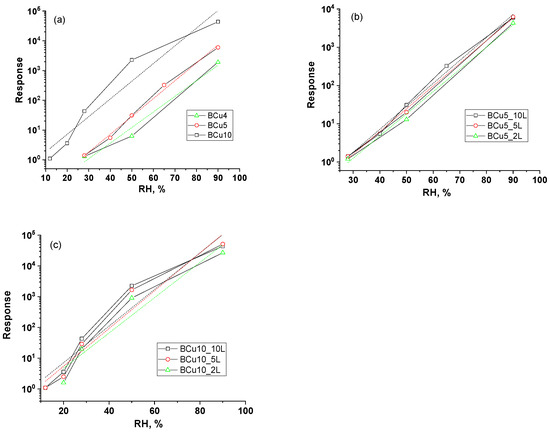
3.2. Humidity-Sensing Properties
4. Conclusions
Supplementary Materials
Author Contributions
Funding
Data Availability Statement
Acknowledgments
Conflicts of Interest
Abbreviations
| DCPD | Dicalcium phosphate dihydrate |
| DCP | Dicalcium phosphate |
| HAp | Hydroxyapathite |
| XRD | X-ray diffraction |
| FESEM | Field emission scanning electron microscopy |
References
- Sajid, M.; Khattak, Z.J.; Rahman, K.; Hassan, G.; Choi, K.H. Progress and future of relative humidity sensors: A review from materials perspective. Bull. Mater. Sci. 2022, 45, 238. [Google Scholar] [CrossRef]
- Korotcenkov, G. Handbook of Gas Sensor Materials, Properties, Advantages and Shortcomings for Applications, Vol. 2: New Trends and Technologies; Springer: Berlin/Heidelberg, Germany, 2014. [Google Scholar] [CrossRef]
- Tulliani, J.-M.; Inserra, B.; Ziegler, D. Carbon-Based Materials for Humidity Sensing: A Short Review. Micromachines 2019, 10, 232. [Google Scholar] [CrossRef] [PubMed]
- Céline Laville, C.P.; Deletage, J.-Y. Humidity sensors for a pulmonary function diagnostic microsystem. Sens. Actuators B Chem. 2001, 76, 304–309. [Google Scholar] [CrossRef]
- Tulliani, J.-M.; Baroni, C.; Zavattaro, L.; Grignani, C. Strontium-Doped Hematite as a Possible Humidity Sensing Material for Soil Water Content Determination. Sensors 2013, 13, 12070–12092. [Google Scholar] [CrossRef] [PubMed]
- Traversa, E. Ceramic sensors for humidity detection: The state-of-the-art and future developments. Sens. Actuators B 1995, 23, 135–156. [Google Scholar] [CrossRef]
- Arman Kuzubasoglu, B. Recent Studies on the Humidity Sensor: A Mini Review. ACS Appl. Electron. Mater. 2022, 4, 4797–4807. [Google Scholar] [CrossRef]
- Ascorbe, J.; Corres, J.; Arregui, F.J.; Matias, I.R.; Mukhopadhyay, S.C. High Sensitivity Optical Structures for Relative Humidity Sensing. In Smart Sensors, Measurement and Instrumentation, Vol. 23, Sensors for Everyday Life; Environmental and Food Engineering; Mukhopadhyay, S.C., Postolache, O.A., Jayasundera, K.P., Swain, A.K., Eds.; Springer: Berlin/Heidelberg, Germany, 2017; pp. 55–80. [Google Scholar] [CrossRef]
- Fraden, J. Handbook of Modern Sensors. Physics, Designs and Applications, 5th ed.; Springer: Berlin/Heidelberg, Germany, 2016; pp. 507–524. [Google Scholar] [CrossRef]
- Korotcenkov, G. Handbook of Gas Sensor Materials, Properties, Advantages and Shortcomings for Applications, Vol. 1: Conventional Approaches; Springer: Berlin/Heidelberg, Germany, 2013; pp. 389–408. [Google Scholar] [CrossRef]
- Farahani, H.; Wagiran, R.; Hamidon, M.N. Humidity Sensors Principle, Mechanism, and Fabrication Technologies: A Comprehensive Review. Sensors 2014, 14, 7881–7939. [Google Scholar] [CrossRef]
- Sun, L.; Haidry, A.H.; Fatima, Q.; Li, Z.; Yao, Z. Improving the humidity sensing below 30% RH of TiO2 with GO modification. Mater. Res. Bull. 2018, 99, 124–131. [Google Scholar] [CrossRef]
- Staerz, A.; Berthold, C.; Russ, T.; Wicker, S.; Weimar, U.; Barsan, N. The oxidizing effect of humidity on WO3 based sensors. Sens. Actuators B Chem. 2016, 237, 54–58. [Google Scholar] [CrossRef]
- Esteban-Cubillo, A.; Tulliani, J.-M.; Pecharromán, C.; Moya, J.S. Iron-oxide nanoparticles supported on sepiolite as a novel humidity sensor. J. Eur. Ceram. Soc. 2007, 27, 1983–1989. [Google Scholar] [CrossRef]
- Ataalla, M.; Afify, A.S.; Hassan, M.; Adam, A.M.; Milanova, M.; Piroeva, I. Humidity Sensing Properties of Tungsten Based Glass Crystalline Materials in the WO3-ZnO-La2O3-Al2O3 System. In NATO Science for Peace and Security Series B: Physics and Biophysics; Springer: Dordrecht, The Netherlands, 2018; pp. 417–425. [Google Scholar] [CrossRef]
- Wang, W.; Virkar, A.V. A conductimetric humidity sensor based on proton conducting perovskite oxides. Sens. Actuators B 2004, 98, 282–290. [Google Scholar] [CrossRef]
- Zhao, J.; Liu, Y.; Li, X.; Lu, G.; You, L.; Liang, X.; Liu, F.; Zhang, T.; Du, B. Highly sensitive humidity sensor based on high surface area mesoporous LaFeO3 prepared by a nanocasting route. Sens. Actuators B Chem. 2013, 181, 802–809. [Google Scholar] [CrossRef]
- Wang, J.; Wu, F.Q.; Shi, K.H.; Wang, X.H.; Sun, P.P. Humidity sensitivity of composite material of lanthanum ferrite/polymer quaternary acrylic resin. Sens. Actuators B Chem. 2004, 99, 586–591. [Google Scholar] [CrossRef]
- Cho, M.Y.; Kim, S.; Kim, I.S.; Kim, E.S.; Wang, Z.J.; Kim, N.Y.; Kim, S.W.; Oh, J.M. Perovskite-Induced Ultrasensitive and Highly Stable Humidity Sensor Systems Prepared by Aerosol Deposition at Room Temperature. Adv. Funct. Mater. 2019, 30, 1907449. [Google Scholar] [CrossRef]
- Hikku, G.S.; Arthi, C.; Robert, R.J.; Jeyasubramanian, K. Calcium phosphate conversion technique: A versatile route to develop corrosion resistant hydroxyapatite coating over Mg/Mg alloys based implants. J. Magnes. Alloys 2022, 10, 1821–1845. [Google Scholar] [CrossRef]
- Kong, Y.; Ma, R.; Li, G.; Wang, G.; Liu, Y.; Yuan, J. Impact of biochar, calcium magnesium phosphate fertilizer and spent mushroom substrate on humification and heavy metal passivation during composting. Sci. Total Environ. 2022, 824, 153755. [Google Scholar] [CrossRef] [PubMed]
- Paknahad, A.; Kucko, N.W.; Leeuwenburgh, S.C.G.; Sluys, L.J. Experimental and numerical analysis on bending and tensile failure behavior of calcium phosphate cements. J. Mech. Behav. Biomed. Mater. 2020, 107, 1033565. [Google Scholar] [CrossRef] [PubMed]
- Sánchez-Paniagua López, M.; Tamimi, F.; López-Cabarcos, E.; López-Ruiz, B. Highly sensitive amperometric biosensor based on a biocompatible calcium phosphate cement. Biosens. Bioelectron. 2009, 24, 2574–2579. [Google Scholar] [CrossRef] [PubMed]
- Sudhan, N.; Anitta, S.; Meenakshi, S.; Sekar, C. Brushite nanoparticles based electrochemical sensor for detection of uric acid, xanthine, hypoxanthine and caffeine. Anal. Biochem. 2022, 659, 114947. [Google Scholar] [CrossRef]
- Sánchez-Paniagua López, M.; Redondo-Gómez, E.; López-Ruiz, B. Electrochemical enzyme biosensors based on calcium phosphate materials for tyramine detection in food samples. Talanta 2017, 175, 209–216. [Google Scholar] [CrossRef] [PubMed]
- Alshaaer, M.; Al-Kafawein, J.; Afify, A.S.; Hamad, N.; Saffarini, G.; Issa, K. Effect of Ca2+ Replacement with Cu2+ Ions in Brushite on the Phase Composition and Crystal Structure. Minerals 2021, 11, 1028. [Google Scholar] [CrossRef]
- Bohner, M.; Merkle, H.P.; Lemaître, J. In vitro aging of a calcium phosphate cement. J. Mater. Sci. Mater. Med. 2000, 11, 155–162. [Google Scholar] [CrossRef] [PubMed]
- Di Francia, E.; Guzmán, H.; Pugliese, D.; Hernández, S.; Tulliani, J.M. Nanostructured Cu/Zn/Al-based oxide as a new sensing material for NO2 detection. Sens. Actuators B Chem. 2024, 420, 136456. [Google Scholar] [CrossRef]
- Available online: https://gml.noaa.gov/ccgg/trends (accessed on 20 January 2025).
- Available online: https://www.unep.org/resources/report/air-quality-guidelines-europe-second-edition (accessed on 20 January 2025).
- Available online: https://gml.noaa.gov/ccgg/trends_ch4 (accessed on 20 January 2025).
- Petrus, M.; Popa, C.; Bratu, A.M. Ammonia Concentration in Ambient Air in a Peri-Urban Area Using a Laser Photoacoustic Spectroscopy Detector. Materials 2022, 15, 3182. [Google Scholar] [CrossRef] [PubMed]
- Available online: https://winter.group.shef.ac.uk/webelements/index.html (accessed on 20 January 2025).
- Alshaaer, M. Microstructural characteristics and long-term stability of wollastonite-based chemically bonded phosphate ceramics. Int. J. Appl. Ceram. Technol. 2021, 18, 319–331. [Google Scholar] [CrossRef]
- Lu, B.-Q.; Willhammar, T.; Sun, B.-B.; Hedin, N.; Gale, J.D.; Gebauer, D. Introducing the crystalline phase of dicalcium phosphate monohydrate. Nat. Com. 2020, 11, 1546. [Google Scholar] [CrossRef] [PubMed]
- Kumar, S.; Yadav, N.; Singh, P. Effect of graphene weight percentage on surface morphology and humidity-sensing performances of hydroxyapatite/graphene nanocomposite. J. Mater. Sci. Mater. Electron. 2024, 35, 2238. [Google Scholar] [CrossRef]
- Tortet, L.; Gavarri, J.R.; Nihoul, G.; Dianoux, A.J. Proton mobilities in brushite and brushite/polymer composites. Solid. State Ion. 1997, 97, 253–256. [Google Scholar] [CrossRef]
- Nunes, D.; Pimentel, A.; Gonçalves, A.; Pereira, S.; Branquinho, R.; Barquinha, P.; Fortunato, E.; Marti, R. Metal oxide nanostructures for sensor applications. Semicond. Sci. Technol. 2019, 34, 043001. [Google Scholar] [CrossRef]
- Gu, Y.; Jiang, H.; Ye, Z.; Sun, N.; Kuang, X.; Liu, W.; Li, G.; Song, X.; Zhang, L.; Bai, W.; et al. Impact of Size on Humidity Sensing Property of Copper Oxide Nanoparticles. Electron. Mater. Lett. 2020, 16, 61–71. [Google Scholar] [CrossRef]
- Agmon, N. The Grotthuss mechanism. Chem. Phys. Lett. 1995, 244, 456–462. [Google Scholar] [CrossRef]
- Burman, D.; Choudhary, D.S.; Guha, P.K. ZnO/MoS2-based enhanced humidity sensor prototype with android app interface for mobile platform. IEEE Sens. J. 2019, 19, 3993–3999. [Google Scholar] [CrossRef]
- Kundu, S.; Majumder, R.; Ghosh, R.; Pal Chowdhury, M. Superior positive relative humidity sensing properties of porous nanostructured Al:ZnO thin films deposited by jet-atomizer spray pyrolysis technique. J. Mater. Sci. Mater. Electron. 2019, 30, 4618–4625. [Google Scholar] [CrossRef]
- Manut, A.; Zoolfakar, A.S.; Mamat, M.H.; Ab Ghani, N.S.; Zolkapli, M. Characterization of Titanium Dioxide (TiO2) Nanotubes for Resistive-type Humidity Sensor. In Proceedings of the IEEE International Conference on Semiconductor Electronics (ICSE), Kuala Lumpur, Malaysia, 28–29 July 2020; pp. 104–107. [Google Scholar]
- Duy, L.T.; Baek, J.Y.; Mun, Y.J.; Seo, H. Patternable production of SrTiO3 nanoparticles using 1-W laser directly on flexible humidity sensor platform based on ITO/SrTiO3/CNT. J. Mater. Sci. Technol. 2021, 71, 186–194. [Google Scholar] [CrossRef]
- Yasin, E.; Javed, Y.; Imran, Z.; Anwar, H.; Shahid, M. Exploration of dielectric and humidity sensing properties of dysprosium oxide nanorods. Eur. Phys. J. Plus 2023, 138, 1050. [Google Scholar] [CrossRef]
- Dhariwal, N.; Yadav, P.; Kumari, M.; Jain, P.; Sanger, A.; Kumar, V.; Thakur, O.P. Iron oxide-based nanoparticles for fast-response humidity sensing, real-time respiration monitoring, and noncontact sensing. IEEE Sens. J. 2023, 23, 22217–22224. [Google Scholar] [CrossRef]
- Pi, C.; Chen, W.; Zhou, W.; Yan, S.; Liu, Z.; Wang, C.; Guo, Q.; Qiu, J.; Yu, X.; Liu, B.; et al. Highly stable humidity sensor based on lead-free Cs3Bi2Br9 perovskite for breath monitoring. J. Mater. Chem. C 2021, 9, 11299–11305. [Google Scholar] [CrossRef]
- El-Denglawey, A.; Manjunatha, K.; Vijay Sekhar, E.; Chethan, B.; Zhuang, J.; Jagadeesha Angadi, V. Rapid response in recovery time, humidity sensing behavior and magnetic properties of rare earth(Dy & Ho) doped Mn–Zn ceramics. Ceram. Int. 2021, 47, 28614–28622. [Google Scholar] [CrossRef]
- Khtaoui, L.; Laghrouche, M.; Fernane, F.; Chaouchi, A. High-sensitivity humidity sensor based on natural hydroxyapatite. J. Mater. Sci. Mater. Electron. 2021, 32, 8668–8686. [Google Scholar] [CrossRef]
- Shah, Z.; Shaheen, K.; Arshad, T.; Ahmad, B.; Khan, S.B. Al doped Sr and Cd metal oxide nanomaterials for resistive response of humidity sensing. Mater. Chem. Phys. 2022, 290, 126632. [Google Scholar] [CrossRef]
- Subki, A.S.R.A.; Mamat, M.H.; Musa, M.Z.; Abdullah, M.H.; Shameem Banu, I.B.; Vasimalai, N.; Ahmad, M.K.; Nafarizal, N.; Suriani, A.B.; Mohamad, A.; et al. Effects of varying the amount of reduced graphene oxide loading on the humidity sensing performance of zinc oxide/reduced graphene oxide nanocomposites on cellulose filter paper. J. Alloys Compd. 2022, 926, 166728. [Google Scholar] [CrossRef]
- Dubey, R.S.; Srilali, S.; Ravikiran, Y.T.; Babu, G.S.; Katta, K.V. Synthesis and characterization of Znx-1Al2O4(TiO2)x nanocomposite ceramics and their humidity sensing properties. J. Mater. Sci. 2022, 57, 2636–2649. [Google Scholar] [CrossRef]
- Mohamed Zahidi, M.; Mamat, M.H.; Subki, A.S.R.A.; Abdullah, M.H.; Hassan, H.; Ahmad, M.K.; Bakar, S.A.; Mohamed, A.; Ohtani, B. Formation of a nanorod-assembled TiO2 actinomorphic-flower-like microsphere film via Ta doping using a facile solution immersion method for humidity sensing. Nanomaterials 2023, 13, 256. [Google Scholar] [CrossRef]
- Ravichandran, R.; Quine, S.D.; Arularasu, M.V. Humidity sensing performance of nitrogen doped reduced graphene oxide-WO3 composite. Bio Nano Sci. 2023, 13, 2205–2214. [Google Scholar] [CrossRef]
- Zhang, Z.; Li, F.; Zheng, Y. Highly sensitive resistive humidity sensor based on strontium-doped lanthanum ferrite nanofibers. Sens. Actuators A Phys. 2023, 358, 114435. [Google Scholar] [CrossRef]
- Milovanov, Y.; Bertero, A.; Coppola, B.; Palmero, P.; Tulliani, J.-M. Mullite 3D Printed Humidity Sensors. Ceramics 2024, 7, 807–820. [Google Scholar] [CrossRef]
- Li, P.; Yu, S.; Zhang, H. Preparation and Performance Analysis of Ag/ZnO Humidity Sensor. Sensors 2021, 21, 857. [Google Scholar] [CrossRef] [PubMed]
- Zainelabdin, A.; Amin, G.; Zaman, S.; Nur, O.; Lu, J.; Hultman, L.; Willander, M. CuO/ZnO nanocorals synthesis via hydrothermal technique: Growth mechanism and their application as humidity sensor. Mater. Chem. 2012, 22, 11583–11590. [Google Scholar] [CrossRef]
- Anbia, M.; Fard, S.E.M. Humidity sensing properties of Ce-doped nanoporous ZnO thin film prepared by sol-gel method. J. Rare Earths 2012, 30, 38–42. [Google Scholar] [CrossRef]
- Lin, C.; Zhang, H.; Zhang, J.; Chen, C. Enhancement of the humidity sensing performance in Mg-doped hexagonal ZnO microspheres at room temperature. Sensors 2019, 19, 519. [Google Scholar] [CrossRef]
- Li, Z.; Haidry, A.A.; Gao, B.; Wang, T.; Yao, Z. The effect of Co-doping on the humidity sensing properties of ordered mesoporous TiO2. Appl. Surf. Sci. 2017, 412, 638–647. [Google Scholar] [CrossRef]
- Lin, W.D.; Liao, C.T.; Chang, T.C.; Chen, S.H.; Wu, R.J. Humidity sensing properties of novel graphene/TiO2 composites by sol–gel process. Sens. Actuators B Chem. 2015, 209, 555–561. [Google Scholar] [CrossRef]
- Tomer, V.K.; Duhan, S. A facile nanocasting synthesis of mesoporous Ag-doped SnO2 nanostructures with enhanced humidity sensing performance. Sens. Actuators B Chem. 2016, 223, 750–760. [Google Scholar] [CrossRef]
- Gao, N.; Li, H.Y.; Zhang, W.; Zhang, Y.; Zeng, Y.; Zhixiang, H.; Liu, J.; Jiang, J.; Miao, L.; Yi, F.; et al. QCM-based humidity sensor and sensing properties employing colloidal SnO2 nanowires. Sens. Actuators B Chem. 2019, 293, 129–135. [Google Scholar] [CrossRef]













| Product ID | NaH2PO4.2H2O | Ca(NO3)2.4H2O | Cu(NO3)2.3H2O | Cu/Ca Molar Ratio |
|---|---|---|---|---|
| BCu0 | 1 | 1 | 0 | 0 |
| BCu4 | 1 | 0.6 | 0.4 | 0.67 |
| BCu5 | 1 | 0.5 | 0.5 | 1.0 |
| BCu10 | 1 | 0 | 1 | - |
| Sample | Sensor Performance | Relative Humidity (%) | ||||
|---|---|---|---|---|---|---|
| 90% | 50% | 28% | 20% | 12% | ||
| BCu10_10L | Sensor Response | 43,750 | 2264 | 43 | 36 | 1.1 |
| Response/Recovery Time (s) | 32/313 | 43/284 | - | - | - | |
| BCu10_5L | Sensor Response | 51,250 | 1664 | 29 | 2.5 | 1.1 |
| Response/Recovery Time (s) | 29/283 | 40/228 | - | - | - | |
| BCu10_2L | Sensor Response | 26,892 | 907 | 20 | 1.6 | - |
| Response/Recovery Time (s) | 24/257 | 35/170 | - | - | - | |
| BCu5_10L | Sensor Response | 5963 | 31 | 1.4 | - | - |
| Response/Recovery Time (s) | 38/238 | 153/153 | - | - | - | |
| BCu5_5L | Sensor Response | 6265 | 20 | 1.4 | - | - |
| Response/Recovery Time (s) | 38/229 | 150/176 | - | - | - | |
| BCu5_2L | Sensor Response | 4315 | 13 | 1.2 | - | - |
| Response/Recovery Time (s) | 43/155 | 205/78 | 220/147 | - | - | |
| BCu4_10L | Sensor Response | 1907 | 6.3 | 1.3 | - | - |
| Response/Recovery Time (s) | 66/211 | - | 223/277 | - | - | |
| BCu10_10L 1 year aged | Sensor Response | 15,000 | - | - | - | - |
| Response/Recovery Time (s) | 53/237 | - | - | - | - | |
| Material | Sensor Response, R = Zo/Zg | Response Time, s | Recovery Time, s | Reference |
|---|---|---|---|---|
| HAp composite GNP/HAp composite | 5320% at 99% RH 18,680% at 99% RH | 172 76 | 368 112 | [36] |
| ZnO/MoS2 | ∼301 at 85% RH | 138 | 166 | [41] |
| Porous aluminum-doped ZnO | 733% at 90% RH | ∼238 | ~202 | [42] |
| TiO2 nanotubes | 58.5 at 90% RH | NA | NA | [43] |
| SrTiO3 nanoparticles | 1.12 at 85% RH | 100 | 300 | [44] |
| Dy2O3 nanorods | 15 at 97% RH | 2 | 5 | [45] |
| α-Fe2O3 nanoparticles | 48,569 at 95% RH | 9 | 4 | [46] |
| Cs3Bi2Br9 perovskite | 987 at 90% RH | 5.56 | 6.24 | [47] |
| Mn0.5Zn0.5DyxHoyFe2-xO4 (x = 0.005 to 0.03) nanoparticles | 99% at 97% RH | 90 | 18 | [48] |
| NHAp (natural hydroxyapatite) | 17,900% at 87% RH | 8 | 11 | [49] |
| Al–Sr and Al–Cd nano-materials | 2.87 at 95% RH 3.19 at 95% RH | 60 44 | 29 45 | [50] |
| Reduced graphene oxide/zinc oxide nanostructured powder | 172 at 90% RH | NA | NA | [51] |
| Znx-1Al2O4(TiO2)x | 265 at 97% RH | 195 | 28 | [52] |
| Ta-doped TiO2/reduced graphene oxide | 232% at 90% RH | 4.2 | 3.3 | [53] |
| N-doped graphene oxide-WO3 | 3427 at 98% RH | 24 | 53 | [54] |
| Sr-doped LaFeO3 nanofibers | 60,597 at 90% RH | NA | NA | [55] |
| Mullite | 322.9 at 85% RH | 91 | 167 | [56] |
| Ag/ZnO | 151.8% under (11–95)% RH | 36 | 6 | [57] |
| CuO | 3278% at 97.3% RH | 49 | 12 | [39] |
| ZnO-doped CuO | 6045% under (30–90)% RH | 6 | 7 | [58] |
| Ce-doped ZnO thin film | 108–104 Ω under (11–95)% RH | 13 | 17 | [59] |
| Mg-doped ZnO microspheres | under (11–95)% RH | 24 | 12 | [60] |
| Co-doped mesoporous TiO2 | 1.39×105 at 90% RH | 24 | 24 | [61] |
| TiO2-graphene | 151% under (12–90)% RH | 128 | 68 | [62] |
| Ag-doped SnO2 nanoparticles | under (11–98)% RH | 4 | 6.5 | [63] |
| SnO2 nanowires | under (11–97)% RH | 10 | 3 | [64] |
| (Ca1-xCux)HPO4.nH2O x = 0 to 1 | 51,250 at 90% RH | 29 | 283 | This work |
Disclaimer/Publisher’s Note: The statements, opinions and data contained in all publications are solely those of the individual author(s) and contributor(s) and not of MDPI and/or the editor(s). MDPI and/or the editor(s) disclaim responsibility for any injury to people or property resulting from any ideas, methods, instructions or products referred to in the content. |
© 2025 by the authors. Licensee MDPI, Basel, Switzerland. This article is an open access article distributed under the terms and conditions of the Creative Commons Attribution (CC BY) license (https://creativecommons.org/licenses/by/4.0/).
Share and Cite
Milovanov, Y.; Dadkhah, M.; Afify, A.S.; Tulliani, J.-M. Copper-Substituted Calcium Orthophosphate (CaxCu1-x)HPO4.nH2O for Humidity Detection. Crystals 2025, 15, 153. https://doi.org/10.3390/cryst15020153
Milovanov Y, Dadkhah M, Afify AS, Tulliani J-M. Copper-Substituted Calcium Orthophosphate (CaxCu1-x)HPO4.nH2O for Humidity Detection. Crystals. 2025; 15(2):153. https://doi.org/10.3390/cryst15020153
Chicago/Turabian StyleMilovanov, Yurii, Mehran Dadkhah, Ahmed Sabry Afify, and Jean-Marc Tulliani. 2025. "Copper-Substituted Calcium Orthophosphate (CaxCu1-x)HPO4.nH2O for Humidity Detection" Crystals 15, no. 2: 153. https://doi.org/10.3390/cryst15020153
APA StyleMilovanov, Y., Dadkhah, M., Afify, A. S., & Tulliani, J.-M. (2025). Copper-Substituted Calcium Orthophosphate (CaxCu1-x)HPO4.nH2O for Humidity Detection. Crystals, 15(2), 153. https://doi.org/10.3390/cryst15020153

