Effect of Cold Metal Transfer Welding Repair Parameters on the Forming for the Repair of Surface Defects of Cast Magnesium Alloy
Abstract
1. Introduction
2. Materials and Methods
2.1. Materials
2.2. Experimental Methods
3. Results
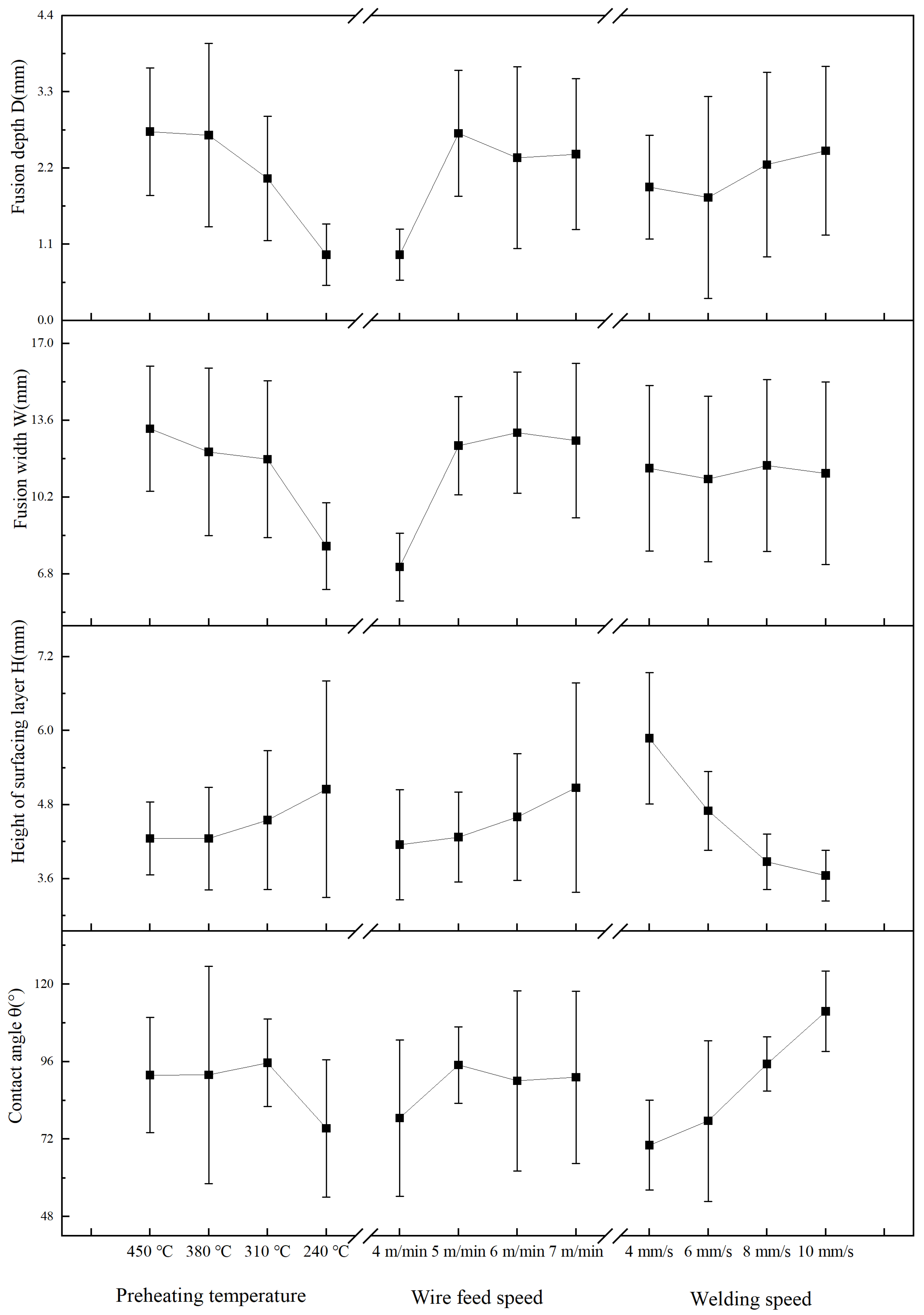
3.1. Melt Spreading and Surfacing Forming Analysis of Magnesium Alloy under Different Repair Parameters
3.2. Analysis of arc Behavior and Droplet Characteristics under Different Repair Parameters
3.3. Effect of Welding Wire Stick-Out Length and Shielding Gas Flow on Weld Surface Forming
3.4. Effect of Repair Path on Surface-Defect Repair Forming of ZM6 Cast Magnesium Alloy
4. Conclusions
- The preheating temperature of the base material has a great influence on the spreading behavior of the magnesium alloy melt on the surface of base material. When the preheating temperature of the base material is in the range of 310–450 °C, the magnesium alloy melt exhibits good spreading performance on the substrate surface, with a contact angle greater than 90°. The preheating temperature of the base material also greatly affects the stability of the arc. The higher the preheating temperature of the base material, the more stable the arc combustion.
- The greater the wire-feeding speed, the better the spreading behavior of the magnesium alloy melt on the surface of the base material, and the larger the contact angle. At the same time, the depth, width, and layer height of the weld also increase. Welding speed has a significant influence on the contact angle, layer height, and fusion depth. As the welding speed increases, both the contact angle and fusion depth increase, while the layer height decreases.
- The stick-out length of the welding wire has a direct influence on the stability of welding, and when the stick-out length of the welding wire is 12 mm, the welding process is stable. Compared with the rotating repair path, the repair area obtained by using the continuous straight reciprocating repair path is better shaped, without any unfused defects.
Author Contributions
Funding
Data Availability Statement
Conflicts of Interest
References
- Volodin, V.; Kenzhaliyev, B.; Trebukhov, S.; Nitsenko, A.; Linnik, X.; Trebukhov, A. On the problem of the distillation separation of secondary alloys of magnesium with zinc and magnesium with cadmium. Metals 2024, 14, 671. [Google Scholar] [CrossRef]
- Chen, Y.; Zhou, W.B.; Guo, L.T.; Yang, C.L. A review and development tendency of welding repair technology for cast magnesium alloy. Mater. Rep. 2020, 34, 15126–15131. [Google Scholar] [CrossRef]
- Chen, Y.; Guo, L.T.; Qi, T.F.; Yang, C.L. Repair process of magnesium alloy casting by He-Ar mixed gas TIG welding. Trans. China Weld. Inst. 2021, 42, 35–41. [Google Scholar] [CrossRef]
- Zhang, Z.D.; Yang, J.H.; Song, G.; Wang, J.N. Study on A-TIG repair welding for the cast magnesium alloy. Trans. China Weld. Inst. 2017, 38, 87–90. [Google Scholar]
- Zhang, Z.D.; Cao, A.C.; Liu, J.M.; Liu, J. Study on A-TIG multilayer repair welding process and properties of cast magnesium alloy ZM5. Weld. Technol. 2016, 45, 4–8. [Google Scholar] [CrossRef]
- Kang, H.Y. Comparative analysis of TIG and A-TIG repair welding process of cast magnesium alloy. China South. Agric. Mach. 2020, 51, 120. [Google Scholar]
- Zhang, X.G.; Wang, W.Q.; Zheng, X.; Chen, J.; Shen, F.M.; Li, H.M.; Sun, D.Q. Weld characteristics, microstructure and mechanical properties of argon arc welding repair joints for zm6 cast magnesium alloy. Electr. Weld. Mach. 2023, 53, 23–27. [Google Scholar] [CrossRef]
- Wang, X.; Yang, C.; Feng, J.C. Research on TIG repairing technology for ZM6 magnesium alloy casting. Trans. China Weld. Inst. 2010, 31, 33–36. [Google Scholar]
- Yang, H.W.; Wang, Y.S. Defect repair welding technology of magnesium alloy castings. Weld. Technol. 2004, 33, 32–33. [Google Scholar] [CrossRef]
- Shalomeev, V.; Tabunshchyk, G.; Greshta, V.; Korniejenko, K.; Duarte Guigou, M.; Parzych, S. Casting welding from magnesium alloy using filler materials that contain scandium. Materials 2022, 15, 4213. [Google Scholar] [CrossRef]
- Assar, A.; Nami, B.; Arab, N.B.M.; Khoubrou, I. Effect of heat input of TIG repair welding on microstructure and mechanical properties of cast AZ91 magnesium alloy. Weld. World 2021, 65, 1131–1143. [Google Scholar] [CrossRef]
- Kocurek, R.; Adamiec, J. The repair welding technology of casts magnesium alloy QE22. Solid State Phenom. 2014, 212, 81–86. [Google Scholar] [CrossRef]
- Adamiec, J. Repairing the WE43 magnesium cast alloys. Solid State Phenom. 2011, 176, 99–106. [Google Scholar] [CrossRef]
- Bendis, A.; Hrdina, J.; Teichman, J. Fatigue strength of repaired magnesium alloy castings by TIG welding. Weld. Int. 1989, 3, 817–821. [Google Scholar] [CrossRef]
- Adamiec, J.; Roskosz, S.; Jarosz, R. Repair of magnesium alloy castings by means of welding and pad welding. J. Achiev. Mater. Manuf. Eng. 2007, 22, 21–24. [Google Scholar]
- Liu, H.Y.; Wang, S.; Liang, J.; Hu, H.; Li, Q.T.; Chen, H.R. Effect of lanthanum oxide on the microstructure and properties of Ti-6Al-4V alloy during CMT-additive manufacturing. Crystals 2023, 13, 515. [Google Scholar] [CrossRef]
- Xu, F.; Wu, D.Y.; Zhang, C.; Yang, H.; Zhang, Z.R.; Shen, J.Q. Stability analysis of the cold metal transfer deposition process of AZ91 magnesium alloy. Weld. Technol. 2024, 53, 49–54. [Google Scholar] [CrossRef]
- Samadi, N.; Aval, H.J. Formation of nickel aluminide in situ via dual-wire arc cladding. Metallogr. Microstruct. Anal. 2024. [Google Scholar] [CrossRef]
- Cui, H.B.; Hu, Y.W.; Chen, S.; Wang, C.X.; Tang, X. Control of the microstructural evolution and toughness of welded joints by preheating and subsequent cooling in hybrid friction stir welding of Q960 high strength steel. Mater. Today Commun. 2024, 39, 109363. [Google Scholar] [CrossRef]
- Burapa, R.; Oo, H.Z.; Sangwiman, W.; Muangjunburee, P. Influences of preheating parameters on the quality of weld by thermite rail welding. Mater. Res. Express 2024, 11, 066507. [Google Scholar] [CrossRef]
- Chen, X.W.; Tang, S.; Xie, W.L.; Zhang, M.; Song, H.; Ran, Q.Z.; Zhang, D.F. Study on the effect of preheating temperature on residual stress in laser arc composite welding of dissimilar aluminum alloys. JOM 2024, 76, 3832–3839. [Google Scholar] [CrossRef]
- Zhang, H.; Hu, S.S.; Wang, Z.J.; Liang, Y. The effect of welding speed on microstructures of cold metal transfer deposited AZ31 magnesium alloy clad. Mater. Des. 2015, 86, 894–901. [Google Scholar] [CrossRef]
- Du, G.D.; Xing, Y.F.; Yin, C.Y. Process optimization of cold metal transfer plug welding of aluminum AA6061-T6-to-galvanized DP590 steel based on orthogonal experiment method. Mater. Sci. 2019, 25, 207–213. [Google Scholar] [CrossRef]
- Zhang, Z.Q.; Yan, J.P.; Lu, X.C.; Zhang, T.G.; Wang, H. Optimization of porosity and surface roughness of CMT-P wire arc additive manufacturing of AA2024 using response surface methodology and NSGA-II. J. Mater. Res. Technol. 2023, 24, 6923–6941. [Google Scholar] [CrossRef]
- Wu, W.; Xue, J.X.; Zhang, Z.H.; Ren, X.H.; Xie, B. Process optimization on multilayer morphology during 316L double-wire CMT+P deposition process. Metals 2019, 9, 1334. [Google Scholar] [CrossRef]
- Huang, L.; Chen, X.Z.; Konovalov, S.; Siddiquee, A.N.; Lu, G.; Pan, X.M. The effect of wire feeding speed on solidification cracking of CMT welding for Al-Si alloys. Metals 2021, 11, 267. [Google Scholar] [CrossRef]
- Hu, S.S.; Zhang, H.; Wang, Z.J.; Liang, Y.; Liu, Y.Q. The arc characteristics of cold metal transfer welding with AZ31magnesium alloy wire. J. Manuf. Process. 2016, 24, 298–306. [Google Scholar] [CrossRef]
- Song, G.; Wang, P.; Liu, L.M. Study on ac-PMIG welding of AZ31B magnesium alloy. Sci. Technol. Weld. Join. 2010, 15, 219–224. [Google Scholar] [CrossRef]
- Song, G.; Wang, P. Pulsed MIG welding of AZ31B magnesium alloy. Mater. Sci. Technol. 2011, 27, 519–524. [Google Scholar] [CrossRef]
- Gonela, K.K.; Vijayavarman, C.; Palanivel, M.; Mariappan, L.; Ramasubramanian, L.N.; Kannan, A.R. Effect of robotic weaving motion on mechanical and microstructural characteristics of wire arc additively manufactured NiTi shape memory alloy. Int. J. Mater. Res. 2023, 114, 947–954. [Google Scholar] [CrossRef]









| Element | Zn | Nd | Zr | Al | Si | Cu | Fe | Ni | Be | Other |
|---|---|---|---|---|---|---|---|---|---|---|
| % by mass | 0.50 | 2.582 | 0.53 | 0.001 | 0.0026 | 0.0039 | 0.0011 | 0.0003 | 0.0001 | <0.2 |
| Factor | Preheating Temperature T/°C | Wire Feed Speed V1/(m·min−1) | Welding Speed V2/(mm·s−1) | |
|---|---|---|---|---|
| Level | ||||
| Level 1 | 450 | 4 | 4 | |
| Level 2 | 380 | 5 | 6 | |
| Level 3 | 310 | 6 | 8 | |
| Level 4 | 240 | 7 | 10 | |
| Number | Preheating Temperature T/°C | Wire Feed Speed V1/(m·min−1) | Welding Speed V2/(mm·s−1) | Contact Angle θ/(°) | Height of Surface Layer H/(mm) | Fusion Width W/(mm) | Fusion Depth D/(mm) |
|---|---|---|---|---|---|---|---|
| 1 | 450 | 4 | 4 | 67.7 | 5.1 | 9.1 | 1.5 |
| 2 | 450 | 5 | 6 | 99.45 | 3.8 | 14.2 | 3.7 |
| 3 | 450 | 6 | 8 | 90.55 | 3.9 | 14.9 | 3 |
| 4 | 450 | 7 | 10 | 109.55 | 4.2 | 14.7 | 2.7 |
| 5 | 380 | 4 | 6 | 49.5 | 4.7 | 6.7 | 0.8 |
| 6 | 380 | 5 | 4 | 83.95 | 5.2 | 14.3 | 2.7 |
| 7 | 380 | 6 | 10 | 128.6 | 3.6 | 13.2 | 3.5 |
| 8 | 380 | 7 | 8 | 105.6 | 3.5 | 14.6 | 3.7 |
| 9 | 310 | 4 | 8 | 98.2 | 3.6 | 7.1 | 0.8 |
| 10 | 310 | 5 | 10 | 109.6 | 3.6 | 11.6 | 2.9 |
| 11 | 310 | 6 | 4 | 77 | 5.8 | 14.9 | 2.4 |
| 12 | 310 | 7 | 6 | 97.7 | 5.2 | 13.9 | 2.1 |
| 13 | 240 | 4 | 10 | 98.7 | 3.2 | 5.5 | 0.7 |
| 14 | 240 | 5 | 8 | 86.8 | 4.5 | 9.8 | 1.5 |
| 15 | 240 | 6 | 6 | 63.95 | 5.1 | 9.2 | 0.5 |
| 16 | 240 | 7 | 4 | 51.8 | 7.4 | 7.6 | 1.1 |
Disclaimer/Publisher’s Note: The statements, opinions and data contained in all publications are solely those of the individual author(s) and contributor(s) and not of MDPI and/or the editor(s). MDPI and/or the editor(s) disclaim responsibility for any injury to people or property resulting from any ideas, methods, instructions or products referred to in the content. |
© 2024 by the authors. Licensee MDPI, Basel, Switzerland. This article is an open access article distributed under the terms and conditions of the Creative Commons Attribution (CC BY) license (https://creativecommons.org/licenses/by/4.0/).
Share and Cite
Cai, Z.; Shen, F.; Chen, Q.; Chen, Z.; Cui, Y.; Shao, T.; Dong, B.; Lin, S.; Cai, X. Effect of Cold Metal Transfer Welding Repair Parameters on the Forming for the Repair of Surface Defects of Cast Magnesium Alloy. Crystals 2024, 14, 679. https://doi.org/10.3390/cryst14080679
Cai Z, Shen F, Chen Q, Chen Z, Cui Y, Shao T, Dong B, Lin S, Cai X. Effect of Cold Metal Transfer Welding Repair Parameters on the Forming for the Repair of Surface Defects of Cast Magnesium Alloy. Crystals. 2024; 14(8):679. https://doi.org/10.3390/cryst14080679
Chicago/Turabian StyleCai, Zenghui, Faming Shen, Qihao Chen, Zhien Chen, Yanfeng Cui, Tongge Shao, Bolun Dong, Sanbao Lin, and Xiaoyu Cai. 2024. "Effect of Cold Metal Transfer Welding Repair Parameters on the Forming for the Repair of Surface Defects of Cast Magnesium Alloy" Crystals 14, no. 8: 679. https://doi.org/10.3390/cryst14080679
APA StyleCai, Z., Shen, F., Chen, Q., Chen, Z., Cui, Y., Shao, T., Dong, B., Lin, S., & Cai, X. (2024). Effect of Cold Metal Transfer Welding Repair Parameters on the Forming for the Repair of Surface Defects of Cast Magnesium Alloy. Crystals, 14(8), 679. https://doi.org/10.3390/cryst14080679

