Abstract
In our research, we apply electrophoretic deposition (EPD) using AC voltage to investigate how high-C-rate electrochemical reactions affect pseudocapacitive charge storage in lithium iron phosphate (LFP) Li-ion batteries. This method significantly raises the battery’s specific capacity, achieving ~90 mAh/g at a 1 C-rate, along with outstanding cycle stability. Although we observe some capacity reduction over numerous cycles, there is a notable increase in the pseudocapacitive contribution to the battery’s charge storage. This is demonstrated by the consistent peak positions and currents during CV and a stable diffusion constant maintained at 9.6 × 10−9 cm2∙s−1. These findings highlight the battery’s durability, especially in high-demand scenarios. After an extended cycling period of ~500 cycles, the redox peaks related to the Fe2+/Fe3+ redox processes remain unchanged in terms of magnitude and position, indicating the battery’s excellent reversibility.
1. Introduction
As global energy needs soar, lithium-ion batteries (LIBs), essential for powering portable electronics and facilitating off-grid solutions, are taking center stage [1,2]. The pursuit of research to develop batteries with superior energy storage and extended durability is critical. Amid efforts to cut carbon emissions, electric vehicles (EVs) are gaining traction. Enhancements in LIB technologies are crucial for increasing EV driving ranges, streamlining charging processes, and improving vehicle efficiency, making EVs competitive with traditional fossil-fuel-powered vehicles. Furthermore, continuous breakthroughs in Li-ion battery research are poised to spur innovations across various sectors, leading to the development of advanced medical devices, more efficient power tools, and innovative modes of transportation.
Technological progress is driving the need for more sophisticated and efficient energy storage solutions. In this context, continuous research into cathode materials is pivotal, aiming to meet the growing demands and expand the capabilities of energy storage technologies [3,4]. The choice of cathode material plays a crucial role in determining the energy density of LIBs, facilitating the development of batteries that are smaller, lighter, and more powerful [5,6]. Such improvements are particularly important for applications like electric vehicles and portable electronics, which require maximizing energy storage in limited spaces.
The durability of batteries is deeply influenced by the cathode material used. Research is increasingly focused on finding materials that can withstand a large number of charge–discharge cycles with little to no degradation. This emphasis is crucial for improving the sustainability of batteries and reducing their overall lifecycle costs, thereby enhancing both the economic and environmental aspects of energy storage solutions.
Safety considerations highlight the need to explore cathode materials that offer stability, especially under extreme temperature conditions, to mitigate risks. Furthermore, the cost-effectiveness and availability of cathode materials are critical factors in reducing the overall expense of LIBs.
A commitment to environmental sustainability is driving the search for cathode materials that are eco-friendly, have low toxicity, and can be easily recycled. This shift is essential for promoting sustainable development and reducing the ecological footprint of battery technologies.
Lithium iron phosphate (LFP) is distinguished as a superior cathode material, celebrated for its extensive cycle life and a commendable theoretical capacity of approximately 170 mAh/g [7,8,9]. A hallmark of LFP is its stable discharge profile, characterized by a steady plateau around 3.4 V versus Li+/Li, which guarantees a consistent power output. Additionally, LFP outperforms many alternatives in thermal and chemical stability, enhancing battery safety and reliability [10]. The affordability and eco-friendliness of LFP are also significant; its minimal toxicity offers an environmentally friendly choice, particularly beneficial for the disposal and recycling of batteries.
As the necessity for high power density in energy storage systems grows, the importance of pseudocapacitive components within charge storage mechanisms becomes more pronounced [11,12]. Pseudocapacitance plays a pivotal role in enabling the rapid charging and discharging of batteries, a capability not offered by diffusion-controlled processes [13,14,15]. These pseudocapacitive reactions, occurring at or near the electrode surface, facilitate quicker electron and ion transfers, supporting applications that demand a high power output like rapid EV charging and high-demand portable electronics.
Contrary to their traditional association with capacitors, pseudocapacitive behaviors can significantly increase energy storage. By integrating pseudocapacitive materials into LIBs, their energy density can be boosted, allowing for greater energy storage within the same physical constraints. This advancement is crucial for producing lightweight and compact energy storage solutions that do not compromise on capacity.
Moreover, batteries exhibiting notable pseudocapacitive properties typically demonstrate enhanced cycle lives. The mechanisms behind pseudocapacitive charge storage are more resistant to the structural and chemical wear common in batteries reliant on pure intercalation processes. Consequently, these batteries can withstand numerous charge–discharge cycles with minimal capacity reduction, thereby extending their operational lifespan and reliability.
Electrophoretic deposition (EPD) stands out as a versatile and powerful technique for the development of advanced materials, especially in the energy storage sector [16,17,18]. This method affords precise control over the deposition process, resulting in layers that are uniformly thick and densely packed. While EPD’s initial applications were mainly in ceramics and biomedical engineering, its adoption in battery technology has been relatively limited. Yet, in the battery field, EPD shows promising capabilities, notably in creating electrode layers with exceptional adhesion and evenness.
Our research emphasizes the amplified pseudocapacitive behavior achieved in LFP electrodes through cycling, a process facilitated by EPD with AC voltage. This method effectively maintains a consistent Li-ion diffusion constant. Departing from conventional methods, we employ an AC-based EPD process that deposits directly onto a stainless steel (SS) current collector without requiring dispersing agents. This technique is finely tuned for LFP Li-ion batteries, aiming to enhance high C-rate performance by refining the surface properties of thin film electrodes. Our innovative approach departs from traditional slurry casting techniques typically used in battery manufacturing. The application of AC-based EPD has enabled us to create a battery that boasts an impressive specific capacity of around 120 mAh/g at a 1 C-rate, thereby establishing a new benchmark in the field of high-rate battery performance.
2. Materials and Methods
The LFP powder was purchased from GELON (China), subjected to ball milling for six hours, and subsequently mixed with carbon black and PVDF, adhering to a 9:0.5:0.5 weight ratio. In our EPD framework, we positioned two SS plates 2 mm apart in an acetone bath. The EPD suspension was crafted by dissolving this LFP mix in acetone at a density of 3 mg/mL, notably without the addition of dispersing agents. During EPD, we applied an AC voltage of 50 V with a 4 Hz frequency, culminating in a loading mass of 3 mg/cm2 deposition on the SS foils. These coated foils were then roll-pressed five times at room temperature, followed by a 400 °C annealing process in an argon atmosphere within a muffle furnace for one hour.
Li-metal LFP batteries were configured into coin cells, employing a Li-ion electrolyte consisting of 1 M lithium hexafluorophosphate in an equimolar mixture of ethylene carbonate, dimethyl carbonate, and ethyl methyl carbonate. Electrochemical assessments were conducted using a three-electrode setup on a PAR EG&G 273 potentiostat, where the working electrode featured EPD-coated LFP on an SS foil. Lithium metal functioned as both the reference and counter electrodes, with voltage measurements taken relative to Li/Li+. Coin cells were assembled in an Ar-filled glove box.
Galvanostatic charge–discharge (GCD) testing was carried out using the Neware CT4000 system, which was regulated at a constant 30 °C. In addition to GCD, we conducted cyclic voltammetry (CV) to further evaluate the electrochemical properties. CV tests were undertaken within a 2.8 to 4.2 V voltage range against Li/Li+, focusing on distinguishing between faradaic and non-faradaic reactions during the charge and discharge cycles. Adjusting the scan rates during these tests allowed for an in-depth analysis of the battery’s electrochemical responses under varied operational conditions. The LFP’s surface charge and particle size were determined using dynamic light scattering (DLS), while the surface morphology of the EPD-applied LFP electrodes was examined via scanning electron microscopy (SEM) before and after cycling, providing insights into the structural changes induced by battery operation.
For the zeta potential measurement, LFP particles were dispersed in acetone at a concentration of 1 mg/mL to create a stable suspension. DLS measures the Brownian motion of particles in the suspension by analyzing fluctuations in the intensity of scattered light. When an electric field is applied to the suspension, charged particles move towards the electrode with the opposite charge. The velocity of this movement is related to the zeta potential. The zeta potential can be calculated using the Smoluchowski equation.
3. Results and Discussion
Figure 1a shows the EPD setup, configured for crafting battery electrodes optimized for superior electrochemical performance during charging and discharging. Utilizing an AC voltage set at a frequency of 4 Hz, this setup ensures the homogeneous deposition of an LFP composite onto a SS foil, a critical factor for achieving optimal battery functionality. The EPD process leverages an alternating electric field to evenly distribute particles over the substrate, significantly reducing particle clustering and securing a uniform coating thickness, a feature highlighted in the SEM image presented in Figure 1.
Figure 1.
(a) Schematic representation of the AC−EPD setup employed for creating the LFP composite incorporating PVDF and carbon black. (b) Zeta potential distribution for the EPD suspension utilized in the deposition process. (c) SEM micrographs of the LFP electrode post-deposition, detailing the microstructural surface texture.
The EPD suspension, as shown in Figure 1a, consists of an acetone solution with LFP, carbon black and PVDF in a weight ratio of 9:0.5:0.5. The suspension’s zeta potential, measured in Figure 1b, stands at −117 mV, indicating a high level of stability and significant repulsive forces that help to prevent particle aggregation. The surface of the electrophoretic-deposited LFP film on the SS foil is depicted as smooth and consistently textured, suggesting a uniform deposition, as shown in Figure 1c. The higher magnification view (50 K) reveals a microstructure where LFP particles, although varying in shape and size, generally adopt a polyhedral morphology and are densely packed. These particles are fused together, creating a compact and unified electrode surface. The granularity of this layer is essential, as it influences the electrode’s electrochemical behavior, affecting lithium-ion diffusion rates and the battery’s total capacity.
The LFP electrode demonstrated superior rate capability across scan rates from 0.1 C to 1 C. Figure 2a shows the rate performance, revealing a discharge capacity decrease from 140 to 120 mAh/g as the C-rate increases from 0.1 C to 1 C, underscoring the electrode’s robust rate capability. Notably, upon reducing the C-rate back to 0.1 C, the electrode’s capacity was restored to its original level, illustrating its exceptional reversibility. This behavior is further supported by the consistent voltage plateaus (shown in Figure 2b) that were maintained across different rates, indicative of efficient charge transfer mechanisms within the LFP electrode. Such efficiency, crucial for high-performance applications, stems from the swift and seamless exchange of Li ions and electrons throughout the electrode, accommodating various current demands with ease.
Figure 2.
(a) Graph illustrating the rate capability of LFP electrodes at discharge rates ranging from 0.1 C to 1 C. (b) Voltage discharge profiles at incremental C-rates.
The exceptional rate capability and cycling performance were analyzed by differentiating between diffusion-controlled mechanisms and surface capacitive components in capacity determination. Studies have shown that batteries operate using two main energy storage mechanisms: diffusion-controlled processes and surface capacitive behaviors [19,20]. These mechanisms play a crucial role in achieving reversible capacities that exceed theoretical expectations in metal oxide electrodes, traditionally associated with standard conversion reactions.
The analysis of CV sweep rate dependence, as illustrated in Figure 3a, effectively distinguishes between capacitive and diffusion-controlled contributions to the electrochemical current. The relationship, i(V) = k1ν + k2ν1/2, allows for the decomposition of the current at any given potential into contributions from surface capacitive effects and diffusion-controlled lithium insertion. For analytical convenience, this equation is transformed into i(V)/ν1/2 = k1ν1/2 + k2, where k1ν signifies the current derived from surface capacitive effects, and k2ν1/2 represents diffusion-controlled processes. By plotting i(V)/ν1/2 against ν1/2, values of k1 and k2 are extracted from the slope and the y-intercept, respectively, of the linear relationship at specified potentials. This method enables the quantification of each mechanism’s role in the overall electrochemical behavior.
Figure 3.
(a) Curves depicting the cyclic voltammetric response of LFP electrodes at scan rates of 0.1, 0.5, and 1 mV/s. (b) Comparative analysis of diffusive versus capacitive charge storage contributions at varying scan rates.
Figure 3b provides a detailed comparison between surface capacitive effects and diffusion-controlled processes in terms of their contributions to the overall charge at various scan rates in Figure 3a. The findings highlight a significant increase in surface-capacitive-effect-induced charge with higher scan rates, underscoring the substantial role of capacitive mechanisms at elevated scan rates. Calculating the ratio of the total to the capacitive area, as depicted in Figure 3b, quantitatively demonstrates the influence of both diffusion-controlled and surface capacitive effects on the total charge.
After analyzing the scan rate-dependent CV data, the LFP electrodes underwent 300 cycles at a demanding 5 C-rate. Despite these harsh conditions, the cycling performance remained robust, displaying only a slight decrease in capacity from 90 to 85 mAh/g, as depicted in Figure 4a. Remarkably, the capacity was sustained at 90 mAh/g for the initial 50 cycles, showcasing exceptional cycling stability. This consistent performance is accentuated by the clear voltage plateaus at the 5 C-rate in Figure 4b. Such voltage stability is essential for applications that demand a dependable and steady power output under rigorous conditions. The ability to maintain these voltage plateaus, crucial for high-rate applications, is attributed to the rapid diffusion of Li ions within the electrode material, ensuring a consistent voltage across cycles, as discussed later.
Figure 4.
(a) Specific capacity versus cycle number plot for the LFP electrode cycled at 5 C. (b) Voltage profiles captured during discharge at a 5 C-rate.
After conducting 300 cycles, we analyzed the charge storage capabilities by examining scan-rate-dependent CV data, as presented in Figure 5a. As shown in Figure 5b, post-cycling, the surface capacitive contribution was observed to increase, suggesting enhanced capacitive charge storage compared to the initial state.
Figure 5.
(a) CV traces of LFP after enduring 300 cycles at a 5 C discharge rate, obtained at scan rates of 0.1, 0.5, and 1 mV/s. (b) Post−cycling comparison of diffusive and capacitive charge contributions across different scan rates.
The change in the surface capacitive charge storage and Li-ion diffusion constant before and after cycling are compared in Figure 5. To quantify the Li-ion diffusion constant within the electrode, the Randles–Sevcik equation was employed, based on CV measurements across various scan rates:
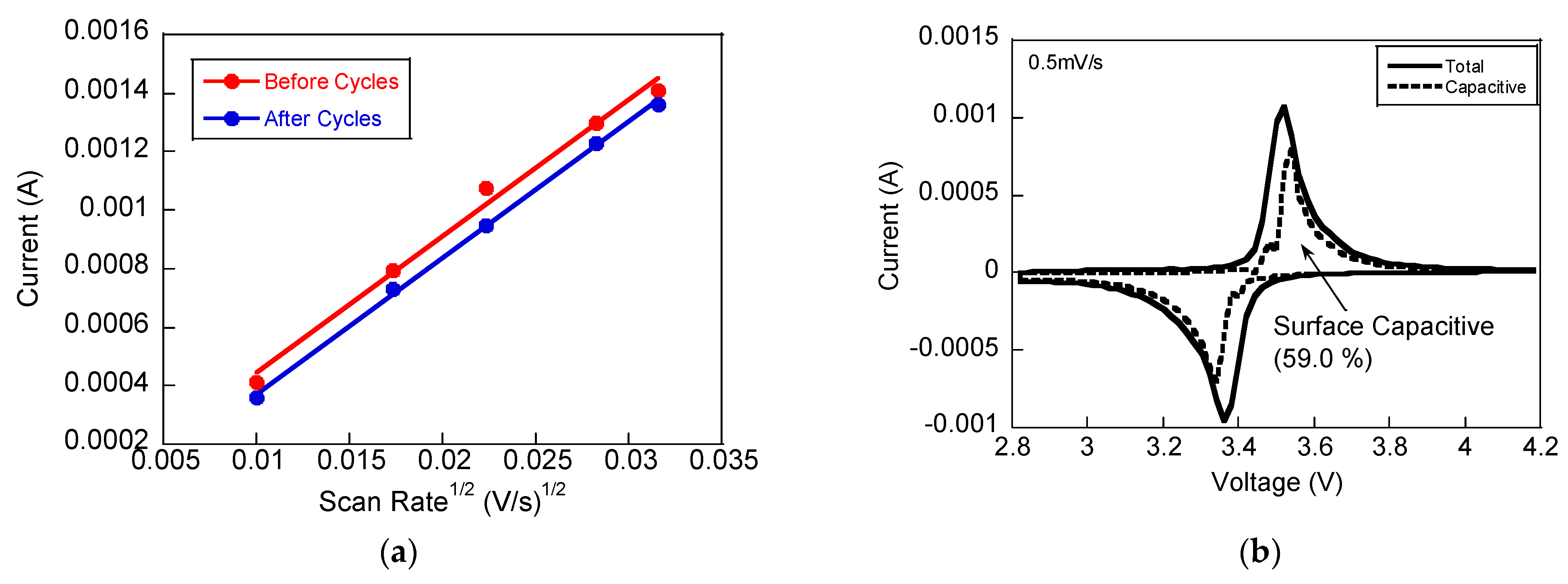
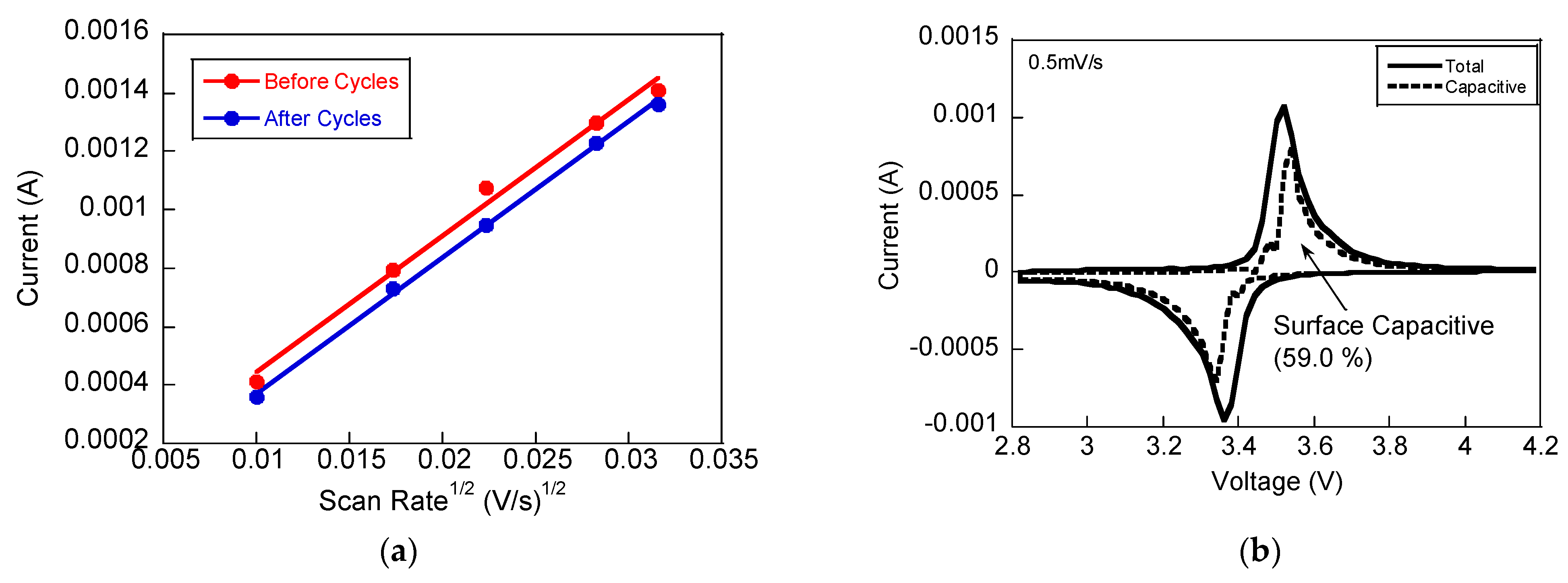
Here, Ip denotes the peak current (A), F is the Faraday constant, CLi represents the initial concentration of lithium ions (mol∙m−3), ν is the scan rate (V∙s−1), A signifies the electrode’s surface area (cm2), and DLi is the Li-ion diffusion constant (cm2∙s−1). The analysis revealed that the diffusion constant remained consistent at ~9.6 × 10−9 cm2∙s−1, both before and after cycling, as shown in the Ip vs ν1⁄2 plot of Figure 6a. This value, notably higher than typical diffusion constants for LFP electrodes made via slurry casting, highlights the effective Li-ion transport within the electrode, essential for achieving exceptional battery performance, especially at elevated charge and discharge rates. Comparison of the surface capacitive component in Figure 6b,c shows that the surface capacitive component increased by 3% after 300 cycles at 5 C. Observations indicate that the surface capacitive component’s contribution to the overall charge storage increased after cycling when compared to other LFP samples, for which data have not been presented.

Figure 6.
(a) Peak current plotted as a function of the square root of the scan rate to calculate Li diffusivity based on the Randles−Sevcik equation. Panels (b,c) contrast the ratio of surface capacitive to total charge storage capacity before and after 300 cycles at a 5 C-rate, respectively. In our analysis, surface capacitive effects were categorized into two types: pseudocapacitive and true capacitive, with the latter stemming from the electrochemical double layer (EDL). We utilized a specific methodology, as outlined in the previous study [21], to distinguish between these charge storage mechanisms. At a scan rate of 0.5 mV/s, the true capacitive (EDL) contribution was found to be 17% of the total surface capacitive effects, whereas pseudocapacitive mechanisms accounted for 83%. This significant share of pseudocapacitive charge storage is crucial for the battery’s enhanced high-rate performance, offering quick charge storage capabilities that surpass the limits of diffusion-based processes.
The increase in the pseudocapacitive component after 300 cycles under harsh conditions can be attributed to several factors that affect the electrode’s surface and its interaction with the electrolyte. Repeated cycling, especially under harsh conditions, can lead to microstructural changes at the electrode surface. These modifications may include the formation of new active sites or the exposure of previously inaccessible ones, both of which can enhance pseudocapacitive behavior by increasing the surface area available for fast, reversible redox reactions. Indeed, as shown in the SEM images before and after 300 cycles in Figure 7a and Figure 7b, respectively, the surface morphology is different after cycles. Before cycling, the electrode surface appears relatively uniform with a fine distribution of particles, as shown in Figure 7a. The particles are distinct, with clear boundaries and a less aggregated structure. This morphology is indicative of a fresh electrode with good inter-particle spacing, which is beneficial for ion transport and electrode accessibility.
Figure 7.
SEM images contrasting the LFP electrode surface morphology (a) before and (b) after a series of charge/discharge cycles.
After cycles, the surface shows increased particle agglomeration and changes in particle morphology, as shown in Figure 7b. This is typical of electrodes that have undergone extensive cycling. The particles seem to have coalesced, forming larger clusters, which can be due to the mechanical stress of repeated expansion and contraction during lithium insertion and extraction. The rougher texture suggests possible surface degradation or material wear, which can occur as a result of the harsh cycling conditions. However, this can also increase the active surface area temporarily, potentially enhancing the pseudocapacitive contribution as observed in some cases. The changes in morphology from a more defined to a coarser structure could lead to alterations in the electrochemical behavior of the electrode. While increased roughness may temporarily improve surface capacitance, it might also signal the beginning of degradation that could eventually lead to capacity fade.
Indeed, as shown in the repeated CV measurements in Figure 8, after 500 cycles, the peak position and current of CV peaks were stabilized, with a lower current overall. The stabilization of peak positions in CV after extensive cycling suggests that the electrode has reached a state of electrochemical equilibrium. The changes in surface morphology, as observed in the SEM images of Figure 7, could lead to a new stable interface between the electrode and electrolyte, where the reaction kinetics for Li insertion and extraction become consistent and repeatable.
Figure 8.
Comparative CV analysis at a scan rate of 0.1 mV/s (a) prior to and (b) following 475 charge/discharge cycles to evaluate the electrochemical consistency and stability of the electrode.
The observed decrease in CV current after 500 cycles could be attributed to several factors. The coalescence of particles into larger clusters may initially expose more surface area due to roughening but can ultimately reduce the effective electrochemically active surface area as the smaller interstitial spaces between particles become filled. The formation of a rougher surface and larger particle aggregates, as evidenced by SEM images shown in Figure 7, can lead to an increase in the electrode’s electrical resistance. This increased resistance can impede electron transport, leading to a lower current. The formation or thickening of a solid-electrolyte interphase layer on the electrode surface can act as a barrier to ion transport, limiting the rate of electrochemical reactions and resulting in a lower current. However, the electrode’s ability to maintain a high capacitance and stable diffusion constant after such treatment suggests the good structural integrity and resilience of the material composition, even as the surface undergoes transformation.
It is important to note that the discharge capacity at high C-rates is still lower than the literature data from previous studies [22,23]. Repeated charge and discharge cycles can lead to physical changes in the electrode materials. For LFP, this might include particle cracking or fracturing due to volume changes during lithium intercalation and deintercalation. Such structural degradation can reduce the active material’s ability to accommodate lithium ions effectively. Cycling can also lead to a loss of contact between active particles and the conductive matrix or the current collector. This results in higher internal resistance and decreased effective active material, which contributes to capacity fade.
The SEI layer, on the other hand, which forms on the electrode surface, can thicken over time due to ongoing electrolyte decomposition. A thicker SEI can impede lithium-ion transport to and from the active material, resulting in increased resistance and reduced capacity. The formation and maintenance of the SEI layer consume lithium ions and electrolyte solvents. Over time, this can lead to a reduction in the number of available lithium ions for charge storage. Lithium ions can become trapped in the electrode material or within the SEI layer, rendering them inactive for future cycles. This irreversible loss of lithium reduces the total charge the battery can store.
Importantly, the relatively low discharge capacity compared to previous studies is attributed to the difference in LFP particle size. Smaller particles, such as those synthesized by Kanarova et al. [23] (60 nm) and Huang et al. [22] (100–200 nm), demonstrate better performance due to their increased surface area and shorter lithium-ion diffusion paths. In contrast, the larger particle size (360 nm) in the EPD-LFP leads to lower capacities and poorer rate performance. Therefore, optimizing synthesis methods to produce smaller, uniformly sized particles is crucial for enhancing the performance of LFP-based electrodes.
Furthermore, we observed that the AC-EPD LFP electrode exhibited superior capacity compared to the slurry-cast LFP electrode, as shown in Supporting Information Figure S1. This significant improvement underscores the effectiveness of EPD as a practical and advantageous fabrication method for electrode production. The enhanced performance of the AC-EPD LFP electrode highlights its potential for use in high-performance LIBs, providing a promising alternative to traditional slurry casting techniques.
4. Summary and Conclusions
Our research involved a thorough investigation of LFP electrodes enhanced by EPD, both before and after undergoing 300 cycles at a strenuous 5 C-rate. Following extensive cycling, the LFP electrodes exhibited an increased surface capacitive contribution, mainly pseudocapacitive contribution, a phenomenon paralleled by the stabilization of peak positions and currents in CV, alongside a consistent and high diffusion constant, all of which occurred despite observable capacity fade. This suggests that while the electrode’s capacity declined, the underlying mechanisms for charge storage shifted towards more surface-level interactions, and the fundamental transport properties of the electrode material remained intact. Pre-cycling, the electrodes displayed uniform particle distribution with clear inter-particle boundaries, conducive to efficient ion transport. Post-cycling, SEM images revealed a roughened surface with particle agglomeration, potentially increasing the active surface area and thereby the pseudocapacitive behavior. CV indicated a stabilization of peak positions and a reduction in peak current, suggesting a new electrochemical equilibrium and consistent reaction kinetics. Despite morphological changes that typically signal degradation, the electrodes maintained a stable diffusion constant and high capacity, indicative of their robustness. These findings, including the pseudocapacitive increase observed in CV measurements, as shown in Figure 6, underscore the electrodes’ exceptional resilience and sustained performance, even under harsh cycling conditions.
The significance of our study stems from its potential to revolutionize energy storage systems, particularly in scenarios requiring fast charging and discharging, like electric vehicles and specialized grid storage. Our advancements in LFP Li-ion battery technology, characterized by high C-rate performance, outstanding reversibility, and pseudocapacitive properties, represent a substantial leap forward. This development opens avenues for utilizing LFP batteries in scenarios with rigorous energy demands, contributing to the creation of more effective and resilient energy storage options.
Supplementary Materials
The following supporting information can be downloaded at: https://www.mdpi.com/article/10.3390/cryst14070658/s1, Figure S1: Rate capability of slurry-casted LFP electrode.
Funding
This research was supported by the Basic Science Research Program through the National Research Foundation of Korea (NRF) funded by the Ministry of Education (NRF-2015R1A6A1A03031833, and NRF-2020R1A2C1007258). This work was also supported by the 2025 Hongik Faculty Research Support Fund.
Data Availability Statement
The raw data supporting the conclusions of this article will be made available by the authors on request.
Conflicts of Interest
The authors declare no conflict of interest.
References
- Hong, J.; Park, B. Additive-free Electrophoretic-deposited Ti3AlC2 MAX phase Li-ion battery anode. Mater. Lett. 2023, 330, 133227. [Google Scholar] [CrossRef]
- Li, M.; Lu, J.; Chen, Z.; Amine, K. 30 years of lithium-ion batteries. Adv. Mater. 2018, 30, 1800561. [Google Scholar] [CrossRef] [PubMed]
- Fergus, J.W. Recent developments in cathode materials for lithium ion batteries. J. Power Sources 2010, 195, 939–954. [Google Scholar] [CrossRef]
- Yu, H.; Zhou, H. High-energy cathode materials (Li2MnO3–LiMO2) for lithium-ion batteries. J. Phys. Chem. Lett. 2013, 4, 1268–1280. [Google Scholar] [CrossRef] [PubMed]
- Pitchai, R.; Thavasi, V.; Mhaisalkar, S.G.; Ramakrishna, S. Nanostructured cathode materials: A key for better performance in Li-ion batteries. J. Mater. Chem. 2011, 21, 11040–11051. [Google Scholar] [CrossRef]
- Nayak, P.K.; Erickson, E.M.; Schipper, F.; Penki, T.R.; Munichandraiah, N.; Adelhelm, P.; Sclar, H.; Amalraj, F.; Markovsky, B.; Aurbach, D. Review on challenges and recent advances in the electrochemical performance of high capacity Li-and Mn-rich cathode materials for Li-ion batteries. Adv. Energy Mater. 2018, 8, 1702397. [Google Scholar] [CrossRef]
- Ahsan, Z.; Ding, B.; Cai, Z.; Wen, C.; Yang, W.; Ma, Y.; Zhang, S.; Song, G.; Javed, M.S. Recent progress in capacity enhancement of LiFePO4 cathode for Li-ion batteries. J. Electrochem. Energy Convers. Storage 2021, 18, 010801. [Google Scholar] [CrossRef]
- Suttison, S.; Pengpat, K.; Intatha, U.; Fan, J.; Zhang, W.; Eitssayeam, S. Preparation of LFP-based cathode materials for lithium-ion battery applications. Mater. Today Proc. 2022, 65, 2347–2350. [Google Scholar] [CrossRef]
- Yang, Y.; Zhang, J.; Zhang, H.; Wang, Y.; Chen, Y.; Wang, C. Simultaneous anodic de-lithiation/cathodic lithium-embedded regeneration method for recycling of spent LiFePO4 battery. Energy Storage Mater. 2024, 65, 103081. [Google Scholar] [CrossRef]
- El Moutchou, S.; Aziam, H.; Mansori, M.; Saadoune, I. Thermal stability of Lithium-ion batteries: Case study of NMC811 and LFP cathode materials. Mater. Today Proc. 2022, 51, A1–A7. [Google Scholar] [CrossRef]
- Yan, D.; Lu, A.-H.; Chen, Z.-Y.; He, L.; Li, W.-C. Pseudocapacitance-dominated li-ion capacitors showing remarkable energy efficiency by introducing amorphous LiFePO4 in the cathode. ACS Appl. Energy Mater. 2021, 4, 1824–1832. [Google Scholar] [CrossRef]
- Wang, M.; Wang, J.; Xiao, J.; Ren, N.; Pan, B.; Chen, C.-S.; Chen, C.-H. Introducing a pseudocapacitive lithium storage mechanism into graphite by defect engineering for fast-charging lithium-ion batteries. ACS Appl. Mater. Interfaces 2022, 14, 16279–16288. [Google Scholar] [CrossRef] [PubMed]
- Wei, Q.; Wang, Q.; Li, Q.; An, Q.; Zhao, Y.; Peng, Z.; Jiang, Y.; Tan, S.; Yan, M.; Mai, L. Pseudocapacitive layered iron vanadate nanosheets cathode for ultrahigh-rate lithium ion storage. Nano Energy 2018, 47, 294–300. [Google Scholar] [CrossRef]
- Zhang, T.; Liu, Y.; Chen, G.; Liu, H.; Han, Y.; Zhai, S.; Zhang, L.; Pan, Y.; Li, Q.; Li, Q. Pseudocapacitance-Enhanced Storage Kinetics of 3D Anhydrous Iron (III) Fluoride as a Cathode for Li/Na-Ion Batteries. Nanomaterials 2022, 12, 4041. [Google Scholar] [CrossRef] [PubMed]
- Augustyn, V.; Come, J.; Lowe, M.A.; Kim, J.W.; Taberna, P.-L.; Tolbert, S.H.; Abruña, H.D.; Simon, P.; Dunn, B. High-rate electrochemical energy storage through Li+ intercalation pseudocapacitance. Nat. Mater. 2013, 12, 518–522. [Google Scholar] [CrossRef]
- Hajizadeh, A.; Shahalizade, T.; Riahifar, R.; Yaghmaee, M.S.; Raissi, B.; Gholam, S.; Aghaei, A.; Rahimisheikh, S.; Ghazvini, A.S. Electrophoretic deposition as a fabrication method for Li-ion battery electrodes and separators—A review. J. Power Sources 2022, 535, 231448. [Google Scholar] [CrossRef]
- Park, B.-N. Effect of Co3O4/Additive Interface and Crystallite Size on Co3O4 Li-ion Battery Capacity and Cycle Stability. Korean J. Met. Mater. 2022, 60, 448–454. [Google Scholar] [CrossRef]
- Yang, Y.; Li, J.; Chen, D.; Zhao, J. A facile electrophoretic deposition route to the Fe3O4/CNTs/rGO composite electrode as a binder-free anode for lithium ion battery. ACS Appl. Mater. Interfaces 2016, 8, 26730–26739. [Google Scholar] [CrossRef]
- Xiao, Q.; Li, Y.; Zhang, Y.-H.; Huang, S. Interfacial Coupling-Induced Pseudocapacitance in LiFePO4@Polypyrrole Heterostructures Toward High-Rate Lithium Storage. Energy Technol. 2023, 11, 2300361. [Google Scholar] [CrossRef]
- Lin, J.; Sun, Y.-H.; Lin, X. Metal-organic framework-derived LiFePO4 cathode encapsulated in O, F-codoped carbon matrix towards superior lithium storage. Nano Energy 2022, 91, 106655. [Google Scholar] [CrossRef]
- Schoetz, T.; Gordon, L.; Ivanov, S.; Bund, A.; Mandler, D.; Messinger, R. Disentangling faradaic, pseudocapacitive, and capacitive charge storage: A tutorial for the characterization of batteries, supercapacitors, and hybrid systems. Electrochim. Acta 2022, 412, 140072. [Google Scholar] [CrossRef]
- Huang, Y.; Ren, H.; Yin, S.; Wang, Y.; Peng, Z.; Zhou, Y. Synthesis of LiFePO4/C composite with high-rate performance by starch sol assisted rheological phase method. J. Power Sources 2010, 195, 610–613. [Google Scholar] [CrossRef]
- Konarova, M.; Taniguchi, I. Physical and electrochemical properties of LiFePO4 nanoparticles synthesized by a combination of spray pyrolysis with wet ball-milling. J. Power Sources 2009, 194, 1029–1035. [Google Scholar] [CrossRef]
Disclaimer/Publisher’s Note: The statements, opinions and data contained in all publications are solely those of the individual author(s) and contributor(s) and not of MDPI and/or the editor(s). MDPI and/or the editor(s) disclaim responsibility for any injury to people or property resulting from any ideas, methods, instructions or products referred to in the content. |
© 2024 by the author. Licensee MDPI, Basel, Switzerland. This article is an open access article distributed under the terms and conditions of the Creative Commons Attribution (CC BY) license (https://creativecommons.org/licenses/by/4.0/).