Abstract
The steric hindrance in molecules of 1-(2,4,6-trimethylphenyl)ethanone and 1-(2,4,6-triisopropylphenyl)ethanone were shown to substantially differentiate the options of synthesis of the respective alcohols. The former was obtained with a yield of 12% with a mild reducing agent, i.e., NaBH4, as well as in vapor phase transfer hydrogenation (22% yield at 673 K) over MgO, whereas the latter was not formed at all under those conditions. The only agent that was able to reduce both ketones was LiAlH4. The single crystals of the two alcohols were obtained and their structures were determined. The symmetry of the 0-D hydrogen-bonded networks of molecules in these crystals was analyzed. It was shown that the methyl substituent allows the molecules to form hexameric rings, whereas the isopropyl-substituted molecules formed tetrameric ones. In both cases, there were two types of rings in the cell, but four types of molecules forming tetramers and only three types of molecules in the hexamers. These structures were compared to similar structures formed by other molecules found in the Cambridge Structural Database via hydrogen bonding. Moreover, the single crystal of 1-(2,4,6-triisopropylphenyl)ethanone was obtained to explain if either the hydrogen bonding or the presence of isopropyl groups influences the angles in the molecules.
1. Introduction
There are several classical methods of reducing ketones and aldehydes to alcohols which are commonly used, each with its set of benefits and drawbacks. One of the basic methods is the application of gaseous hydrogen in the presence of catalysts [1,2,3,4]: heterogeneous metallic ones or homogeneous ones in the form of organometallic complexes. The reducing agent is cheap and hence is favored in large-scale set-ups. The most active metals among the studied ones are platinum, palladium, rhodium and nickel, especially the highly active form obtained by leaching an aluminum–nickel alloy, called Raney nickel. Raney nickel has been implemented in the industrial process of reduction of dextrose [5,6,7] and furfural [8,9]. On a smaller scale, in the case of pharmaceuticals sodium borohydride is often used as the reducing agent because it allows for highly selective reduction of carbonyl groups [10,11]. In comparison, lithium aluminum hydride exhibits a much higher reactivity than NaBH4, but it requires the use of non-polar solvents, such as aliphatic ethers, pyridine and tetrahydrofuran [12].
It is commonly known that both the number and position of substituents in organic molecules such as alcohols, ketones and carboxylic acids determine their reactivity. This has also been observed in heterogeneous catalysis in reactions, including catalytic transfer hydrogenation (CTH) and ketonization [13,14,15,16,17]. The dependence between the structure and reactivity is discussed in a previously published paper [18]. The effect of the number and location of substituents was shown with the three monosubstituted acetophenones with the methyl group in the ortho, meta and para position, and different disubstituted acetophenones [19]. Steric hindrances in the molecules can be equally influential, as shown by the example of 2,2,4,4-tetramethyl-3-pentanone, which is completely inactive in this reaction [18]. In contrast, the molecule of 1-phenyl-2,2-dimethylpropan-1-one is very highly reactive despite the bulky t-butyl group [19] due to torsional strain in the carbonyl region and hence is easily reduced to the alcohol.
In molecular crystals, both the geometry, including torsion angles, and the formation of hydrogen bonds can give valuable information regarding the potential reactivity of a reagent. The pronounced differences in the behavior of two similar ketones in catalytic transfer hydrogenation, namely 1-(2,4,6-trimethylphenyl)ethanone and 1-(2,4,6-triisopropylphenyl)ethanone, which differ from one another only by the size of the substituent [19], have led us to consider different methods of synthesis of these alcohols, such as reduction of the ketone with Raney nickel, sodium borohydride, lithium aluminum hydride, etc. Some options have been reported in the literature [20,21]. The differences in the reactivity have led us to investigate the molecular crystals formed by these two compounds. This paper aims to investigate the differences in the geometry of the molecules of two alcohols and the influence of the geometry on the formation of hydrogen-bonded networks. Furthermore, the study is meant to determine if the hydrogen bonding itself influences the molecule geometry. For this purpose, the geometry and weak hydrogen-bonds in the corresponding ketone were also analyzed.
The formation of 0-D structures, such as dimers, trimers, etc. via formation of O-H…O type hydrogen bonds in the molecular crystals of alcohols is expected and well-studied [22,23]. A description of possible aggregate patterns is provided by Grabowski [24] and Etter, e.g., in [25], who studied the influence of the hydrogen bonding on the properties of organic compounds. Depending on the geometry of the molecule, number and type of donor/acceptor atoms, any of the following networks can develop: 0-D, such as the trimer and tetramer shown in Figure 1a, a dimer that can produce 1-D structures thanks to weaker C-H…O bonds (Figure 1b) or a 2-D structure connected solely via strong O-H…O type hydrogen bonds, provided that there are at least two OH groups in the molecule (Figure 1c), etc.
Figure 1.
Different dimensions of networks formed by O-H…O type hydrogen bonding: (a) 0-D, (b) 0-D expanded by C-H…O bonds to 1-D, and (c) 2-D.
Although in crystallography, point groups are commonly applied to define the crystal class, point groups serve well to indicate the symmetrical relations of the repeating units in discrete oligomers. As such, point groups can be used to describe the symmetry of hydrogen bonds of organic molecules such as monocarboxylic acids [26,27]. The symmetry relations and the number of molecules in an oligomer depend on the geometry of the molecules, which impact their ability to develop into higher order networks, and as a consequence, their reactivity. The simplest assembly of molecules is a dimer, which is easily formed by organic acids, in which one oxygen atom of the carboxylic group acts as a hydrogen donor and the other as an acceptor. Several derivatives of benzoic acid can be found in the Cambridge Structural Database (CSD) [28]. The REFCODE, i.e., unique symbol consisting of six letters and optionally a number under which a given compound is listed in the CSD, is provided in the text. Figure 2a,b depict the O-H…O dimers formed by molecules of benzoic acid (BENZAC01, [26]) and 2,4,6-trimethylbenzoic acid (TMBZAC02, [29]), respectively. In the unsubstituted molecule, the angle formed by the plane of the carboxyl group (χ) with the plane of the ring (φ) is only 1.5°. In contrast, in the case of 2,4,6-trimethylbenzoic acid, this angle is 42.7°. Despite this difference in the geometry of the dimer, both types of dimers form weaker hydrogen bonds, i.e., C-H…O ones, to form 1-D networks with the p rod group symmetry (Figure 2c,d). The chains run in direction [1 1 0] and [0 1 0] with a translation vector of 7.55 Å and 7.04 Å, respectively.
Figure 2.
Images of dimers of (a) benzoic acid (BENZAC01) and (b) 2,4,6-trimethylbenzoic acid (TMBZAC02), as well as 1-D networks of (c) benzoic acid and (d) 2,4,6-trimethylbenzoic acid.
It is noteworthy that among different benzoic acid derivatives, all of which form dimers, there are different possibilities of expanding a 0-D network into higher dimensional networks. Dimers of 2,3,4,5,6-pentamethyl benzoic acid (TUSQIH, [30]) can be seen in Figure 3. The angles formed by the plane of the carboxyl group (χ) with the plane of the ring (φ) in the two independent molecules are 87.9 and 89.1°. These dimers develop into tetramers (Figure 3b), which further expand via weaker hydrogen bonds, the C-H…O type bonds, to form a chain along [0 1 0] (Figure 3c). The existence of this type of hydrogen bond was first acknowledged by Sutor [31] in 1962. Since then, a lot of information regarding these types of interactions has been gained in terms of their lengths, angles formed, as well as techniques used to investigate such bonds [32,33,34,35,36]. In the case of molecules of compounds that do not contain O-H groups, i.e., ketones, only C-H…O bonds can lead to the formation of hydrogen-bonded networks.
Figure 3.
Dimers of (a) 2,3,4,5,6-pentamethylbenzoic acid (TUSQUIH); (b) the arrangement of the dimers in a tetramer and (c) in a unit cell.
The development of a 0-D network into higher dimensions via hydrogen bonding can also be hindered by the geometry of the molecule itself. For example, the molecules of 2,4-dimethylbenzoic acid (synthesized by us earlier and described in [27]) are not flat. The plane of the aromatic ring and the plane of the carboxyl group form an angle of 14.1°. As a result, dimers of these molecules (Figure 4a) do not form rod groups nor combine into larger clusters. Their arrangement in the unit cell is depicted in Figure 4b. This shows that both the number of the substituents and the geometry of the molecule itself determine the options of development of dimers into larger hydrogen-bonded networks.
Figure 4.
Dimers of (a) 2,4-dimethylbenzoic acid, and (b) their arrangement in a unit cell.
2. Materials and Methods
2.1. Reagents
Aluminum chloride (98.5%, anhydrous powder, extra pure), aluminum isopropoxide (98%), sodium borohydride (98+%, VenPure, A.F. granules) and lithium aluminum hydride (95% reagent grade, pellets), all from Aldrich (Poznań, Poland) were used as received. The solution/suspension of NaBH4, LiAlH4 and AlCl3 were prepared directly prior to their use and were used in excess. After the allotted reaction time, the presence of NaBH4 and LiAlH4 in the post-reaction mixture was checked: for this purpose, 0.3 cm3 of the solution was taken and 1–2 drops of a 20% acetic acid solution were added. The intense evolution of hydrogen clearly indicated the presence of an excess of the reducing agent in the solution.
n-Hexane (pure), methylene dichloride (pure) and 2-propanol (puriss), all from POCh (Gliwice, Poland), were stored over freshly dried 4A molecular sieves. Diethyl ether (puriss, Aldrich, Poznań, Poland) was dried by distillation under normal pressure in the presence of metallic sodium and benzophenone prior to use.
Acetyl chloride (98%, Aldrich, Poznań, Poland) was distilled under normal pressure, and the middle fraction was kept in a tightly closed container. 1,3,5-Triisopropylbenzene (95%, Aldrich, Poznań, Poland) was distilled under reduced pressure. 1-(2,4,6-Trimethylphenyl)ethanone (acetylmesitylene) was prepared by the acetylation of 1,3,5-trimethylbenzene (mesitylene) with acetic acid in the presence of phosphorus pentoxide as a catalyst according to the procedure described elsewhere [37]. The crude product was purified by double distillation under reduced pressure, b.p. 375 K/11 hPa, ATR-FTIR 2950, 2919, 2861, 2734, 1697 cm−1, purity 99.4% (GC).
To produce Raney nickel catalyst, a solution of 30.0 g of KOH (pure, POCh, Gliwice, Poland) in 300 cm3 of redistilled water was poured into a 500 cm3 beaker. The solution was cooled to 278 K and, while stirring, 20.0 g of powdered NiAl alloy (pure, nickel–aluminum catalyst alloy 50/50, Koch Light Lab., Haverhill, UK) was poured in small portions so that the temperature did not exceed 298 K. Next, it was stirred for 4 h and the solution was decanted from the precipitate. The precipitate was washed with 20 portions (20 × 50 cm3) of redistilled water until the solution was neutral. Then, the precipitate was washed with three portions (3 × 30 cm3) of 96% ethanol and three portions (3 × 30 cm3) of anhydrous ethanol. The resulting Raney nickel precipitate was stored for a short time (20 h) over anhydrous ethanol.
The purity of organic reagents was analyzed by gas chromatography with a HRGC 4000B KONIK instrument (Barcelona, Spain). A 30 m long TRACER WAX capillary column (i.d. 0.25 μm) and a flame ionization detector were used for the determination of purity. The compounds were identified by GC-MS (HP-6890N with a 5973N mass detector) (Agilent, Santa Clara, CA, USA). Solids were dissolved in hexane prior to GC analysis. The final products (alcohols) and their parent ketones were tested with Attenuated Total Reflectance (ATR) Fourier Transform Infra-Red (FTIR) spectroscopy. The spectra were obtained on a Nicolet iS5 spectrometer (ThermoFisher Scientific, Dreieich, Germany) in the range: 500–4000 cm−1.
2.2. Synthesis
All syntheses were carried out under ambient air atmosphere.
2.2.1. Synthesis of 1-(2,4,6-trimethylphenyl)ethanol
(1) Reduction of the ketone with Raney nickel: 3.0 g of Raney nickel was mixed with 20 cm3 of ethanol and 15.0 g of the ketone, 1-(2,4,6-trmethylphenyl)ethanone. A home-made autoclave, built at the Institute of Physical Chemistry Polish Academy of Sciences, volume 300 cm3, maximum pressure 35 MPa at 523 K, was closed and pressurized with hydrogen to 13 MPa. It was heated to 363 K, which increased the overall pressure to 15 MPa. After 15 h, the yield was 54%.
(2) Reduction of the ketone with sodium borohydride [38]: The solution of 0.53 g (0.014 mol) of sodium borohydride in water (15 cm3) containing a small amount of sodium hydroxide (pH adjustment to avoid NaBH4 decomposition) was prepared directly prior to use. It was added dropwise to a stirred solution of 4.86 g (0.03 mol) of the ketone in ethanol (50 cm3) at 323 K over approximately 15 min. Next, the temperature was maintained for another 45 min. The reaction mixture was cooled. After dilution with water, the product was extracted with n-hexane. Chromatographic analysis showed that the reduction occurred with a yield of only 12%.
(3) Reduction of the ketone via the Meerwein–Ponndorf–Verley method [39]: To a solution of 4.08 g (0.02 mol) of aluminum isopropoxide in 50 cm3 of isopropyl alcohol a solution of 4.86 g (0.03 mol) of 2,4,6-trimethylacetophenone in 50 cm3 of isopropyl alcohol was added. The mixture was held at approximately 353 K for two hours and distilled slowly. Due to the absence of acetone (the second reaction product) in the distillate, the reaction mixture was heated for another 12 h. GC analysis showed that the reaction did not occur.
(4) Reduction of the ketone with lithium aluminum hydride: A diethyl ether solution of the ketone (8.1 g, 0.050 mol) was slowly added to a freshly prepared suspension of 1.173 g (0.031 mol) of LiAlH4 in 30 cm3 of diethyl ether maintained at 273 K with constant stirring. The reaction mixture was kept at reflux for two hours. Then, the mixture was hydrolyzed using 7.2 cm3 of water and 5.9 cm3 of 10% NaOH. The product was extracted with n-hexane and dried over anhydrous magnesium sulfate. The solvents were then evaporated and 5.5 g of a colorless solid were obtained (yield: 67%), m.p. 344–5 K (exp.), 345.2–345.7 K (lit.) [39], ATR-FTIR 3229, 3192, 2966, 2897, 2841, 2710 cm−1.
2.2.2. Synthesis of 1-(2,4,6-triisopropylphenyl)ethanol
(1) Reduction of the ketone with sodium borohydride: The procedure was analogous to that described in Section 2.2.1 starting with 4.92 g (0.02 mol) of the ketone in ethanol. After the solution of the reducing agent was added, the reaction mixture was stirred for 2 days at room temperature. The reduction did not occur.
(2) Reduction of the ketone with sodium borohydride at elevated temperature: To a stirred solution of 4.92 g (0.02 mol) of the ketone in 2-propanol (30 cm3) kept at 343 K, a freshly prepared solution of 0.53 g (0.014 mol) of sodium borohydride in water (15 cm3) containing a small amount of sodium hydroxide was slowly added. The reduction did not occur.
(3) Reduction of the ketone via the Meerwein–Ponndorf–Verley method: To a stirred solution of 7.7 g (0.037 mol) of aluminum isopropoxide in 2-propanol (60 cm3) a solution of 12.3 g (0.05 mol) of the ketone in 2-propanol (100 cm3) was added. A slow distillation through a 50 cm long column filled with Fenske helices for 10 h yielded no acetone (the reduction did not occur).
(4) Reduction of the ketone with Raney nickel: the procedure was analogous to that described in Section 2.2.1, starting with 3.0 g of Raney nickel in 20 cm3 of ethanol and 4.92 g (0.02 mol) of the ketone, which were placed in an autoclave, closed and pressurized with hydrogen to 11 MPa. The reaction mixture was then heated to T = 403 K for 6 h, which resulted in a final pressure of 15 MPa. The reduction did not occur.
(5) Reduction of the ketone with lithium aluminum hydride: The procedure was analogous to that described in Section 2.2.1., starting with 6.4 g (0.026 mol) of the ketone and a suspension of 0.61 g (0.016 mol) of LiAlH4 in 30 cm3 of diethyl ether. A colorless product was obtained with a yield of 96% (6.2 g, 0.025 mol), m.p. 364–5 K (exp.), 365–6 K (lit.) [20], ATR-FTIR 3334, 3052, 2957, 2927, 2867, 1458, 1361, 1238 cm−1.
2.2.3. Synthesis of 1-(2,4,6-triisopropylphenyl)ethanone
In a 350 cm3 reactor, acetyl chloride (4.0 g, 0.05 mol) was poured in one portion into a freshly prepared suspension of AlCl3 (8.0 g, 0.06 mol) in 50 cm3 CH2Cl2—a color change from yellow to orange was noted. 1,3,5-Triisopropylbenzene (10.2 g, 0.05 mol) was slowly added to the formed complex, maintaining the temperature below 293 K. After the hydrocarbon was added, the contents of the reactor were heated in a water bath and the mixture was kept at reflux for one hour. Then, hydrolysis was carried out with 140 cm3 of dilute hydrochloric acid (1:1). The organic layer was washed with water, followed by an aqueous NaHCO3 solution and dried over anhydrous MgSO4. The solvent was evaporated and the obtained pink solid was dissolved in 10 cm3 of n-hexane. Activated carbon was added to the liquid and the mixture was brought to boiling. The colorless solution was cooled and filtered under reduced pressure. The ketone was obtained with 52% yield (6.4 g, 0.026 mol) as a colorless solid, m.p. 357–8 K (exp.), 360 K (lit.) [39], ATR-FTIR 3047, 2959, 2929, 2867, 1692, 1456, 1360, 1237 cm−1.
2.3. Single Crystal Preparation
After the synthesis and purification of each of the compounds listed above, attempts were made to obtain single crystals (under ambient air atmosphere) suitable for diffraction measurements. A single crystal was needed that had no inclusions, cracks, or any other visible structural defects. Two methods of growing single crystals were used:
(1) Crystallization from solution [40]: approximately 0.3 g of the substance was placed in a 25 cm3 conical flask and dissolved in 5 cm3 of n-hexane. The flask was then closed with a layer of tissue paper so that the solvent could slowly escape from it;
(2) Cooling of a solution of known concentration [41]: solutions of various concentrations were prepared in conical flasks (25 cm3) at 323 K, and then the temperature of the flask was lowered to approximately room temperature.
2.3.1. Crystallization of 1-(2,4,6-trimethylphenyl)ethanol
The crystals obtained by method 1 and method 2 from n-hexane contained molecules of the solvent and became opaque in time. During the measurement, the crystals gradually disintegrated as the n-hexane molecules trapped in the crystal escaped from it.
The crystal obtained by method 2 from toluene was covered with glue and stuck onto a capillary. The measurement on a SIEMENS P3 diffractometer (SIEMENS, Munich, Germany) was started. The crystal did not give any reflections—it had probably reacted with the glue. The next crystal was selected and closed in a Lindeman glass capillary (Φ = 0.7 mm). The measurement was performed on a KUMA CCD diffractometer (KUMA Diffraction, Wrocław, Poland).
2.3.2. Crystallization of 1-(2,4,6-triisopropylphenyl)ethanol
The crystal was obtained by crystallization using method 1 from n-hexane and glued onto a capillary, and then it was measured on a KUMA CCD diffractometer.
2.3.3. Crystallization of 1-(2,4,6-triisopropylphenyl)ethanone
Two types of crystal shapes were obtained from n-hexane using method 1: needles and plates. A needle-like crystal was stuck onto a capillary and measurement with a SIEMENS P3 diffractometer. The crystal did not give any reflections. Next, the plate-shaped crystal was glued to a capillary and measured on a SIEMENS P3 diffractometer.
2.4. Single Crystal Diffraction Measurements and Structure Refinement
The diffraction measurements of all compounds were conducted using Mo-Kα radiation with a wavelength of 0.71073 Å monochromatized by a graphite monochromator. Measurements were performed on a four-circle SIEMENS P3 diffractometer at a temperature of 293 K or on a KUMA CCD diffractometer with a low-temperature attachment at a temperature of 173 K. Once the unit cell parameters were determined, the appropriate number of reflections for a given crystallographic system was collected, and data reduction was performed using a program appropriate for the diffractometer on which the measurement was performed. The structures were resolved with SHELXS-97 software [42] using direct methods. As a result of resolving the structure, an approximate model was obtained, which was then refined using a full-matrix refinement using the least squares method with SHELXL-97, as described below. Finally, drawings of molecules and structures were made with either ORTEP-III [43] or Diamond v. 3.2f [44] software. Diamond was also used to prepare the images of compounds from the Cambridge Structural Database (CSD) [28].
2.4.1. Refinement of 1-(2,4,6-trimethylphenyl)ethanol Molecules
After refining the position of carbon and oxygen atoms and the isotropic temperature factors of these atoms, anisotropic temperature factors were introduced into the model in all independent molecules of 1-(2,4,6-trimethylphenyl)ethanol, electron density maxima were observed in the differential electron density map in the region of –CH(OH)CH3 groups. The disorder found in the R enantiomer was also present in the S enantiomer of a given molecule, and was modeled and refined isotropically. All three independent molecules of the alcohol had constraints imposing appropriate geometry on the –CH(OH)CH3 groups. Then, anisotropic temperature factors were introduced into the model, with the restriction that these factors were the same for the corresponding atoms of the –CH(OH)CH3 groups. The final occupancy ratios for the two options of the modeled disorder were 0.820 and 0.180, respectively. Hydrogen atoms were then introduced at the calculated positions, and their shifts were refined based on the shifts of the carbon atoms to which they were bonded.
Crystal Data for C11H16O (M = 164.24 g/mol): trigonal, Space Group , a = 24.1786(5) Å, c = 8.9518(2) Å, V = 4532.14(17) Å3, T = 293(2) K, μ(MoKα) = 0.71073 mm−1, Dcalc = 1.083 g/cm3, 7544 reflections measured (2.83° ≤ 2Θ ≤ 28.66°), 5128 unique, which were used in all calculations. The final R1 was 0.0658 (I > 2σ(I)) and wR2 was 0.1879. The cif file is provided in Supplementary Information.
2.4.2. Refinement of 1-(2,4,6-triisopropylphenyl)ethanol Molecules
After correcting for anisotropic temperature factors, hydrogen atoms were introduced into the four independent molecules of 1-(2,4,6-triisopropylphenyl)ethanol in the calculated positions based on the positions of the carbon atoms to which they were bonded. In all molecules of this alcohol, electron density maxima were observed in the Fourier map in the region of –CH(OH)CH3 groups.
Crystal Data for C17H28O (M = 248.39 g/mol): triclinic, Space Group P, a = 13.1947(3) Å, b = 13.6034(3) Å, c = 18.7383(6) Å, α = 89.584(2)°,β = 76.961(2)°, γ = 86.6300(19)°, V = 3270.94(15) Å3, T = 103(2) K, μ(MoKα) = 0.71073 mm−1, Dcalc = 1.009 g/cm3, 15,779 reflections measured (2.68° ≤ 2Θ ≤ 28.67°), 10,174 unique, which were used in all calculations. The final R1 was 0.0676 (I > 2σ(I)) and wR2 was 0.1963. The cif file is provided in the Supplementary Information.
2.4.3. Refinement of 1-(2,4,6-triisopropylphenyl)ethanone Molecules
Due to the strong anisotropy of the temperature factors of the carbon atoms of the isopropyl group in the para position in relation to the -COCH3 group in 1-(2,4,6-triisopropylphenyl)ethanone, attempts were made to refine the atoms of this group in two positions. The positions of the hydrogen atoms were adjusted to the positions of the carbon atoms to which they were bonded.
Crystal Data for C17H26O (M = 246.38 g/mol): monoclinic, Space Group P21/n, a = 5.9210(10) Å, b = 20.420(4) Å, c = 13.500(3) Å, β = 93.11(3)°, V = 1629.8(6) Å3, T = 293(2) K, μ(MoKα) = 0.71073 mm−1, Dcalc = 1.004 g/cm3, 2786 reflections measured (2.50° ≤ 2Θ ≤ 25.05°), 1518 unique, which were used in all calculations. The final R1 was 0.0684 (I > 2σ(I)) and wR2 was 0.2039. The cif file is provided in the Supplementary Information.
3. Results
The reduction of 1-(2,4,6-trimethylphenyl)ethanone and 1-(2,4,6-triisopropylphe-nyl)ethanone was performed with a series of reductants, such as sodium borohydride, lithium aluminum hydride, hydrogen in the presence of Raney nickel, as well as 2-propanol in the presence of aluminum alkoxide. Each of these reducing agents had a different reducing potential, which was observed in the case of the former. In contrast, the only successful method of the synthesis of the 1-(2,4,6-triisopropylphenyl)ethanol was using lithium aluminum hydride. Catalytic transfer hydrogenation using 2-propanol as the hydrogen donor, used in 3:1 excess, in the presence of MgO as the catalyst, a yield of 22% was obtained at 673 K. This is noteworthy considering the fact that the alcohol yield using gaseous hydrogen with Raney nickel was 54%. In the case of the ketone with the bulky isopropyl group, the reaction with the hydrogen donor did not occur.
1-(2,4,6-Trimethylphenyl)ethanol crystallizes in the trigonal system in the Space Group. The unit cell contains three independent molecules, which are shown in Figure 5a. The numbering scheme is shown on the first molecule (Figure 5a). The lengths of C2-C9 and C6-C11 bonds in the molecules of 1-(2,4,6-trimethylphenyl)ethanol range from 1.503 to 1.530 Ǻ, while in the compounds from the database, the range of observed values of these bonds is much narrower (1.512–1.516 Ǻ). The values of the angles C(1)-C(2)-C(9) and C(1)-C(6)-C(11) in all molecules are 123° and are 2–3° larger than the angles that form the substituents of the methyl group in the para position. There are two types of hexamers in the unit cell: Hexamer #1 with only type A molecules, and Hexamer #2 with three type B and three type C molecules which alternate (Figure 5b). Hexamer #1 occupies the corner sites in the crystal lattice, whereas Hexamer #2 is located along the main diagonal of the unit cell.
Figure 5.
Images of (a) three independent molecules of 1-(2,4,6-trimethylphenyl)ethanol and (b) the arrangement of hexamers in the unit cell.
In order to compare the hexamers of 1-(2,4,6-trimethylphenyl)ethanol to other hexamers formed by O-H...O hydrogen bonds, a systematic review of the Cambridge Structural Database was performed. Several structures were found to form this type of supramolecular structure. For example, there are two which crystallize in the P Space Group (3,4-dimethylphenol, DPHNOL10 [45] and tricyclodecan-2-ol, SEYDEF [46]), two other molecules form hexamers in crystals with the m group (namely 2-isopropyl-5-methylphenol IPMEPL [47], 1-(2-hydroxy-2-propyl)pyrene QEBBII [48]), and two in the group (2-methyl-2-propanol: VATSAK01 [49] and VATSAK02 [49]). The hexamers formed by the molecules of all these compounds have a chair conformation. For simplification, only the hydrogen bonds of 1-(2,4,6-trimethylphenyl)ethanol and those in the hexamers of the three most similar structures to the one studied are presented in Figure 6. It is noteworthy that crystals of 2-methyl-2-propanol also have three independent molecules which arrange themselves in the same way as those of 1-(2,4,6-trimethylphenyl)ethanol.
Figure 6.
View of hydrogen bonds in hexamers of (a) 1-(2,4,6-trimethylphenyl)ethanol, (b) VATSAK02, (c) IPMEPL and (d) QEBBII in the unit cell in the [0 0 1] direction.
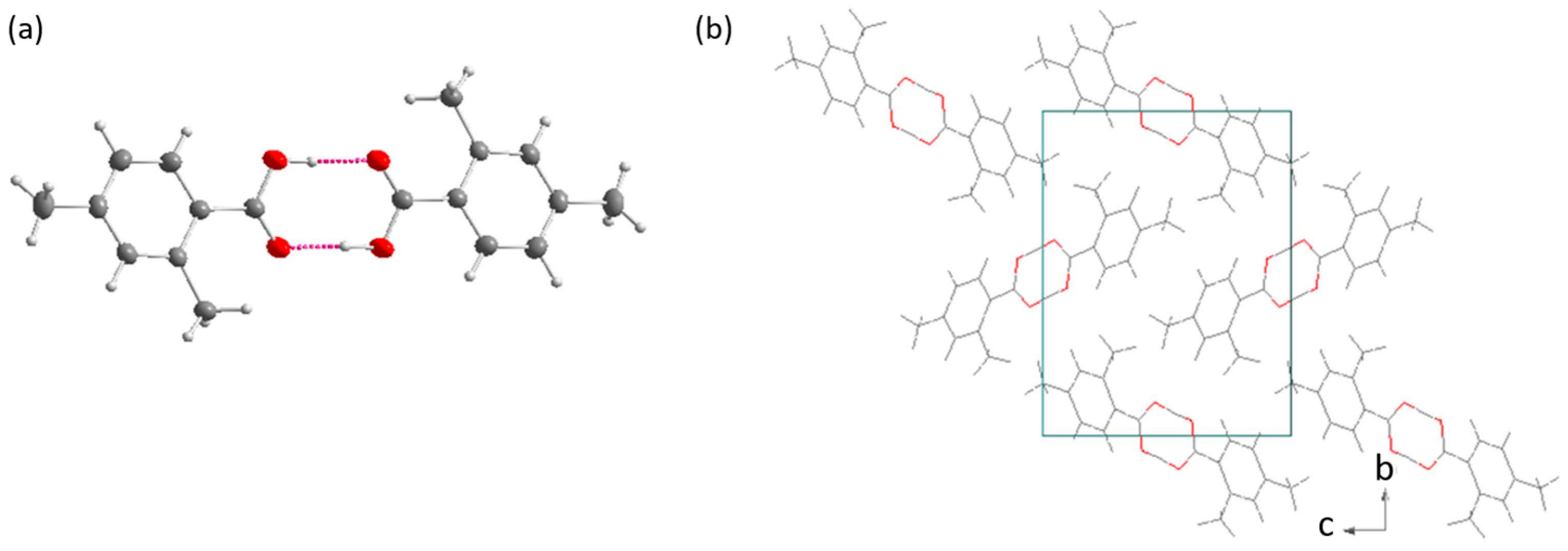
1-(2,4,6-Triisopropylphenyl)ethanol crystallizes in the triclinic system in the P Space Group. Four of the eight molecules in the unit cell are independent. There are four independent molecules of this compound in the unit cell (Figure 7a). The numbering scheme is shown on the first molecule. The bonds of the carbon atoms of the benzene ring with the carbon atoms of the isopropyl groups in 1-(2,4,6-triisopropylphenyl)ethanol are 1.51–1.53 Ǻ. The angles C(1)-C(2)-C(9) and C(1)-C(6)-C(11) in the molecules are all larger than 120° by 2–4°, whereas the angle C (3)-C(4)-C(10) is 121–123°. The C(9) and C(11) atoms of the B molecule of 1-(2,4,6-triisopropylphenyl)ethanol lie in the plane of the aromatic ring of this molecule. In molecule A, the C(10) atom lies in the plane of the aromatic ring. In molecules A, B and C, atoms C(9), C(10) and C(11) lean out from the plane containing atoms C(1), C(2), C(3), C(4), C(5) and C(6) by a maximum of 0.057 Ǻ. In molecule D, these atoms deflect by 0.1 to 0.2 Ǻ from the plane of the aromatic ring. The values of the torsion angles C(5)-C(6)-C(11)-C(16) and C(5)-C(6)-C(11)-C(17) are the same in molecules A and B. They are −96° and 28°, respectively. The values of these angles in the other two molecules of this alcohol are similar, and in these molecules, they are, respectively, −60° and 64°. All four independent molecules of 1-(2,4,6-triisopropylphenyl)ethanol engage in strong O-H…O hydrogen bonds, which leads to the formation of tetramers. This is significantly different than in the case of the alcohol with methyl substituents. The bulkier substituents lead to having fewer molecules in the assembly. The diagram of the resulting tetramer is shown in Figure 7b. It can be seen that the centrosymmetric tetramers exhibit an S-S-R-R configuration.
Figure 7.
Images of (a) the four independent molecules of 1-(2,4,6-triisopropylphenyl)ethanol without hydrogen atoms other than the hydroxyl hydrogen and (b) scheme of the formed tetramer; R = 2,4,6-triisopropylphenyl.
There are two types of tetramers formed in the unit cell. Tetramer #1 consists of A and B molecules arranged alternately. The hydrogen-bond acceptor distances in Tetramer #1 are 1.91 Ǻ and 1.96 Ǻ. These tetramers align perpendicular to the [0 0 1] direction, as shown in Figure 8a. Each C molecule connects with two D molecules via two O-H...O type hydrogen bonds. The distances H(1)...O(1′) in these bonds are 1.91 Ǻ and 1.95 Ǻ, respectively. The centers of Tetramers #2 are shifted relative to the centers of Tetramers #1 by half a unit vector in the [0 0 1] direction. Figure 8b illustrates the chiral carbon atoms in the molecules of 1-(2,4,6-triisopropylphenyl)ethanol and all the atoms connected to them. The configuration of the corresponding molecules is the same on the corresponding carbon atoms. In order to compare tetramers formed by O-H...O hydrogen-bonded molecules of 1-(2,4,6-triisopropylphenyl)ethanol with similar tetramers, a detailed review of the CSD database was performed. Dozens of compounds were found whose molecules combine into tetramers with O-H...O hydrogen bonds. Most of them are centrosymmetric tetramers.
Figure 8.
Arrangement of (a) tetramers in the unit cell perpendicular to the [1 0 0] direction, and (b) the O-H...O hydrogen bonds and carbon atoms connected to the chiral C(7) atom.
In order to investigate whether the changes in the geometric parameters resulting from the presence of a bulky group at the C(7) atom instead of a methyl group in the alcohol are due to the change of substituent or the OH…O hydrogen bonds formed, the ketone was crystallized and the structure was analyzed. In the obtained single crystal, the molecules of 1-(2,4,6-triisopropylphenyl)ethanone crystallize in the monoclinic system in the P21/n Space Group. The same was found by Blair et al. [50]. It can be seen in Figure 9 that the unsubstituted ketone, acetophenone (ACETPH, structural data from [51]), forms hydrogen-bonded networks via C-H…O bonds. This ketone is very similar to those reduced in this study, except that it lacks substituents. Therefore, it can serve as a baseline for the comparison with a similar molecule with bulky isopropyl substituents. In the crystal of acetophenone, the oxygen atom of the carbonyl group can only act as a hydrogen acceptor in C-H...O type hydrogen bonds. Such bonds form between the oxygen atom and the hydrogen atom located in the para position relative to the –CO(CH3) group of the neighboring molecule. Due to these bonds, acetophenone forms a chain, which runs along the [1 0 ] direction. The translation vector in this direction is 11.14 Å. The length of the O...H bond is 2.46 Å and the D-H...A angle is 160°. The symmetry of this supramolecular structure is described by the rod group pc. The 1-D hydrogen-bonded network further develops via hydrogen bonds, in which the acceptor...hydrogen distances are 2.48 Å. These bonds connect the chains of acetophenone molecules into a layer where each oxygen is involved into two different hydrogen bonds; one of the hydrogen atoms is connected to an atom from the aromatic ring, and the other is part of the methyl group (Figure 9a). The C(8)-H(8A)...O(1′) angle is 166°. This is a layer with pa symmetry. The layers are arranged in the (001) plane (Figure 9b). A third type of hydrogen bonds, i.e., C(5)-H(5)...O(1′), connect the layers. They are characterized by the distance H(5)...O(1′), which is 2.69 Å, and the angle D-H...A (127°). The symmetry of the resulting supramolecular structure is described by the Space Group P21/n. The formed 3-D network is shown in Figure 9c.
Figure 9.
Acetophenone molecules assembled into a chain via C-H…O type hydrogen bonds: (a) view of the chain along the [0 1 0] direction; (b) layer of acetophenone molecules; and (c) the 3-D network formed via the third type of hydrogen bonds.
The molecular crystals of 1-(2,4,6-triisopropylphenyl)ethanone were grown independently by us and by Blair et al. [50]. Apart from the fact that in the latter study, the refined structure was modeled with disorder in two isopropyl groups, whereas our molecule was modeled with disorder only in the substituent in the para position, the most important parameters and values are very similar. Our studies have shown that unlike the molecules of acetophenone (ACETPH), those of the studied ketone do not form any hydrogen-bonded networks via a C-H…O type bond. The arrangement of the molecules in both our crystal (Figure 10a) and that obtained by Blair et al. [50] is very similar. These parameters were compared with those for acetophenone, which has the same arrangement of atoms except for the lack of substituents in the benzene ring, as well as one more compound from CSD in which there are isopropyl groups in both ortho positions and in the para position relative to the carbonyl group: (3RS,1′RS)-1-methyl-3(1′-methyl-3′-oxo-3′-(2,4,6-triisopropylphenyl)propyl)-2-pyrrolidinone (KECDIF [52]). The numbering of carbon atoms is shown in Figure 10b,c. Selected bond lengths, angles and torsion angles of 1-(2,4,6-triisopropylphenyl)ethanone and the appropriate fragments of KECDIF and acetophenone are listed in Table 1. Changes in geometric parameters resulting from the presence of a bulky group at the C(7) atom instead of a methyl group were determined by comparing the parameters in the molecules of 1-(2,4,6-triisopropylphenyl)ethanone with the appropriate parameters in molecules of KECDIF.
Figure 10.
View of 1-(2,4,6-triisopropylphenyl)ethanone molecules (a) arrangement in the unit cell, (b) view perpendicular to the plane of the aromatic ring and in the plane of the aromatic ring, and (c) scheme of KECDIF with numbering.
Table 1.
Selected bond lengths, angles and torsion angles in the molecule of 1-(2,4,6-triisopropylphenyl)ethanone and the corresponding fragments in acetophenone and KECDIF.
The average bond length in the aromatic ring is the same in 1-(2,4,6-triisopropylphenyl)ethanone and in KECDIF (1.39 Ǻ). It was found that in both compounds the angles C(2)-C(3)-C(4) and C(4)-C(5)-C(6) are larger than the angle 120° by approximately 2–3°, and the angles attached to the carbon atoms with the isopropyl group are 118°. The aromatic ring in both ketones is flat. The bond lengths of C(2)-C(9), C(4)-C(10) and C(6)-C(11), i.e., carbon atoms from the aromatic ring with carbon atoms from the isopropyl group in 1-(2,4,6-triisopropylphenyl)ethanone and in KECDIF are 1.51–1.52 Ǻ. The angles formed by the two ring atoms and the C(9), C(10) and C(11) atoms in 1-(2,4,6-triisopropylphenyl)ethanone and in the KECDIF molecules are in the range of 119–123°. The angles C(1)-C(2)-C(9) and C(1)-C(6)-C(11) in both of these compounds are 1–2° larger than the angles C(3)-C(2)-C(9) and C(5)-C(6)-C(11). The bulk isopropyl groups present in 1-(2,4,6-triisopropylphenyl)ethanone and in KECDIF cause the torsion angles O(1)-C(7)-C(1)-C(2) and O(1)-C(7)-C(1)-C (6) of 91° and 95°, respectively. The dihedral angle (α) formed by the plane formed by O(1), C(7), C(8) atoms with the plane of the aromatic ring is 90° in 1-(2,4,6-triisopropylphenyl)ethanone and 86° in the second ketone.
As in 1-(2,4,6-triisopropylphenyl)ethanone and in KECDIF, in acetophenone molecules, all atoms constituting the aromatic ring lie in the plane of the aromatic ring calculated by the least squares method. Unlike the angles in ketones containing isopropyl groups in both ortho positions and in the para position relative to the –CO(CH3) group, the angles in acetophenone are not differentiated. In molecules of both acetophenone and 1-(2,4,6-triisopropylphenyl)ethanone, the C(7) atom is connected to the oxygen O(1) and to a methyl group. The O(1)-C(7)-C(8) angle has the same value in both. These groups differ primarily in the value of the dihedral angle (α) formed by the plane containing O(1), C(7) and C(8) atoms with the plane of the aromatic ring, which is 90° in 1-(2,4,6-triisopropylphenyl)ethanone, whereas in acetophenone, it is only 4°.
The work of Kunicki and co-workers described the trend observed in ketones containing –CO(CH3) groups between the value of the aforementioned angle and the bond length of the carbon atom of the aromatic ring with the carbon atom of the carbonyl group [21]. The larger the angle α, the smaller the coupling of the sextet of electrons of the aromatic ring with the π electrons of the C(7)-O(1) bond. In the case of 1-(2,4,6-triisopropylphenyl)ethanone and acetophenone, despite the significant difference in the values of α angles, the lengths of the C(1)-C(7) bonds are the same. The most likely cause of the elongation of the carbon–carbonyl bond in acetophenone molecules are intermolecular interactions in which part of the electrons of the O(1) atom are involved. The acetophenone crystal contains layers formed by two different hydrogen bonds of the C-H...O type. The oxygen atom interacts with the hydrogen atom of the carbon atom in the para position relative to the -CO(CH3) group and with one of the hydrogens at the C(8) atom. A greater share of the hyperconjugation effect in 1-(2,4,6-triisopropylphenyl)ethanone than in acetophenone causes the C(7)-C(8) bond in the former to be shorter than in the latter by approximately 0.03 Ǻ.
4. Conclusions
The aim of the studies was to compare the reducibility of two ketones, namely 1-(2,4,6-trimethylphenyl)ethanone and 1-(2,4,6-triisopropylphenyl)ethanone, and to obtain single crystals of the resulting alcohols in order to determine the geometry of the molecules and hydrogen-bonded networks formed by them. Multiple attempts of reduction of these ketones have shown that the change of the methyl substituent to the isopropyl group results in pronounced differences in the reducibility of these two ketones. The single crystal studies of the two very similar alcohols 1-(2,4,6-triisopropylphenyl)ethanol and 1-(2,4,6-trimethylphenyl)ethanol have shown that despite no pronounced differences between the two alcohols in terms of the Caromatic-Csubstituent bond lengths nor the C(1)-C(2)-C(9) angles, there were very significant differences in the hydrogen bonding networks formed in the crystals. Both formed oligomers, which, due to the geometry of the molecules, did not expand into 1-D networks. The oligomers formed were a hexamer in the case of the alcohol with the smaller substituent (methyl group) and a tetramer in the case of the bulky isopropyl substituent. The large C(1)-C(2)-C(9) angles in 1-(2,4,6-triisopropylphenyl)ethanol are consistent with those observed in the corresponding ketone, 1-(2,4,6-triisopropylphenyl)ethanone. The geometry of these molecules hinders the formation of 1-D network between the oligomers, which may contribute to the difficulty of synthesis of these two compounds, especially the one with the three isopropyl groups.
Supplementary Materials
The following supporting information can be downloaded at: https://www.mdpi.com/article/10.3390/cryst14070642/s1, The cif files for 1-(2,4,6-trimethylphenyl)ethanol, 1-(2,4,6-triisopropylphenyl)ethanol and 1-(2,4,6-triisopropylphenyl)ethanone are provided.
Author Contributions
Conceptualization, M.G.; methodology, M.G. and E.M.I.; investigation, M.G. and E.M.I.; resources, M.G.; writing—original draft preparation, E.M.I.; writing—review and editing, E.M.I. and M.G.; visualization, E.M.I.; supervision, M.G.; funding acquisition, M.G. All authors have read and agreed to the published version of the manuscript.
Funding
This research received no external funding.
Data Availability Statement
All of the data are available in the manuscript.
Acknowledgments
The authors are grateful to Janusz Zachara and Izabela Madura, Warsaw University of Technology, for performing the diffraction studies and data refinement. We would also like to thank Maciej Dębowski, Warsaw University of Technology, for allowing us to perform the ATR-FTIR measurements.
Conflicts of Interest
The authors declare no conflicts of interest.
References
- Mäki-Arvela, P.; Hájek, J.; Salmi, T.; Murzin, D.Y. Chemoselective hydrogenation of carbonyl compounds over heterogeneous catalysts. Appl. Catal. A Gen. 2005, 292, 1–49. [Google Scholar] [CrossRef]
- Liu, L.; Corma, A. Metal Catalysts for Heterogeneous Catalysis: From Single Atoms to Nanoclusters and Nanoparticles. Chem. Rev. 2018, 118, 4981–5079. [Google Scholar] [CrossRef] [PubMed]
- Wang, Y.; Zhao, D.; Rodríguez-Padrón, D.; Len, C. Recent Advances in Catalytic Hydrogenation of Furfural. Catalysts 2019, 9, 796. [Google Scholar] [CrossRef]
- Kim, A.N.; Stoltz, B.M. Recent Advances in Homogeneous Catalysts for the Asymmetric Hydrogenation of Heteroarenes. ACS Catal. 2020, 10, 13834–13851. [Google Scholar] [CrossRef] [PubMed]
- Rahmi, H.; Jamarun, N. Raney nickel synthesis for glucose hydrogenation without hydrogen gas. World J. Adv. Res. Rev. 2022, 15, 455–462. [Google Scholar] [CrossRef]
- García, B.; Orozco-Saumell, A.; López Granados, M.; Moreno, J.; Iglesias, J. Catalytic Transfer Hydrogenation of Glucose to Sorbitol with Raney Ni Catalysts Using Biomass-Derived Diols as Hydrogen Donors. ACS Sustain. Chem. Eng. 2021, 9, 14857–14867. [Google Scholar] [CrossRef]
- Fang, Z.; Fan, H.; Zhao, X.; Lin, G.; Li, B.; Wang, J.; Lu, X.; Yang, W.; Li, M.; Song, W.; et al. Unveiling the nature of glucose hydrogenation over Raney Ni: DFT and AIMD simulations. Appl. Catal. A Gen. 2023, 667, 119462. [Google Scholar] [CrossRef]
- Xu, Y.; Qiu, S.; Long, J.; Wang, C.; Chang, J.; Tan, J.; Liu, Q.; Ma, L.; Wang, T.; Zhang, Q. In situ hydrogenation of furfural with additives over a RANEY® Ni catalyst. RSC Adv. 2015, 5, 91190–91195. [Google Scholar] [CrossRef]
- Liu, B.; Lu, L.; Wang, B.; Cai, T.; Iwatani, K. Liquid phase selective hydrogenation of furfural on Raney nickel modified by impregnation of salts of heteropolyacids. Appl. Catal. A Gen. 1998, 171, 117–122. [Google Scholar]
- Periasamy, M.; Thirumalaikumar, M. Methods of enhancement of reactivity and selectivity of sodium borohydride for applications in organic synthesis. J. Organometal. Chem. 2000, 609, 137–151. [Google Scholar] [CrossRef]
- Wade, R.C. Catalyzed reduction of organofunctional groups with sodium borohydride. J. Mol. Catal. 1983, 18, 273–297. [Google Scholar] [CrossRef]
- Chattoraj, S.C.; Hollingsworth, C.A.; McDaniel, D.H.; Smith, G.B. The lithium aluminium hydride-ethyl ether system at 25 °C. J. Inorg. Nuc. Chem. 1962, 24, 101–104. [Google Scholar] [CrossRef]
- Johnstone, R.A.W.; Wilby, A.H.; Entwistle, I.D. Heterogeneous Catalytic Transfer Hydrogenation and Its Relation to Other Methods for Reduction of Organic Compounds. Chem. Rev. 1985, 85, 129–170. [Google Scholar] [CrossRef]
- Zaccheria, F.; Ravasio, N.; Psaro, R.; Fusi, A. Heterogeneous selective catalytic hydrogenation of aryl ketones to alcohols without additives. Tetrahedron Lett. 2005, 46, 3695–3697. [Google Scholar] [CrossRef]
- Su, F.-Z.; He, L.; Ni, J.; Cao, Y.; Hea, H.-Y.; Fan, K.-N. Efficient and chemoselective reduction of carbonyl compounds with supported gold catalysts under transfer hydrogenation conditions. Chem. Commun. 2008, 30, 3531–3533. [Google Scholar] [CrossRef] [PubMed]
- Gliński, M.; Koziol, A.; Lomot, D.; Kaszkur, Z. Catalytic ketonization over oxide catalysts. Part XII. Selective reduction of carboxylic acids by formic acid. Appl. Catal. A Gen. 2007, 323, 77–85. [Google Scholar] [CrossRef]
- Panagiotopoulou, P.; Martin, N.; Vlachos, D.G. Effect of hydrogen donor on liquid phase catalytic transfer hydrogenation of furfural over a Ru/RuO2/C catalyst. J. Mol. Catal. A Chem. 2014, 392, 223–228. [Google Scholar] [CrossRef]
- Gliński, M. Structure–reactivity relationship in transfer hydrogenation of aliphatic ketones over magnesium oxide. React. Kinet Catal Lett. 2009, 97, 275–279. [Google Scholar] [CrossRef]
- Gliński, M. Catalytic hydrogen transfer over magnesia: Vapour and liquid phase reduction of various aralkyl ketones. Appl. Catal. A Gen. 2008, 349, 133–139. [Google Scholar] [CrossRef]
- Delair, P.; Kanazawa, A.M.; de Azevedo, M.B.M.; Greene, A.E. Efficient, Large-Scale Preparation of (R)- and (S)-1-(2,4,6-Triisopropylphenyl)ethanol, Versatile Chiral Auxiliary for Cyclopentenone, γ-Butyrolactone, and γ-Butyrolactam Synthesis. Tetrahedron Asym. 1996, 7, 2707–2710. [Google Scholar] [CrossRef]
- Kunicki, A.R.; Chojecki, A.; Zachara, J.; Gliński, M. The factors controlling the reaction of (2,4,6-triisopropylphenyl) methyl ketone with Ph3Al and structure of [Ph2AlO(2,4,6-tri-iPr C6H2)C/CH2]2. J. Organomet. Chem. 2002, 664, 136–141. [Google Scholar] [CrossRef]
- Lemmerer, A.; Esterhuysen, C. OHphenol⋯OHalcohol hydrogen-bonding as the preferred hydrogen-bonded interaction in the crystal structures of three isomers of methylolphenol: Analysis of hydrogen-bonding interactions in phenol and alcohol containing molecules. CrystEngComm 2011, 13, 5773–5782. [Google Scholar] [CrossRef]
- Trevisan, L.; Bond, A.D.; Hunter, C.A. Quantitative Measurement of Cooperativity in H-Bonded Networks. J. Am. Chem. Soc. 2022, 144, 19499–19507. [Google Scholar] [CrossRef] [PubMed]
- Grabowski, S. Analysis of Hydrogen Bonds in Crystals. Crystals 2016, 6, 59. [Google Scholar] [CrossRef]
- Etter, M.C. Hydrogen Bonds as Design Elements in Organic Chemistry. J. Phys. Chem. 1991, 95, 4601–4610. [Google Scholar] [CrossRef]
- Bruno, G.; Randaccio, L. A Refinement of the Benzoic Acid Structure at Room Temperature. Acta Cryst. 1980, B36, 1711. [Google Scholar] [CrossRef]
- Gliński, M.; Wilczkowska, E.; Madura, I.D.; Zachara, J. Conformation of hydrogen-bonded dimeric o-methylsubstituted benzoic acids. Acta Cryst. 2008, C64, o208. [Google Scholar]
- Groom, C.R.; Bruno, I.J.; Lightfoot, M.P.; Ward, S.C. The Cambridge Structural Database. Acta Cryst. 2016, B72, 171–179. [Google Scholar] [CrossRef] [PubMed]
- Wilson, C.C.; Goeta, A.E. Towards designing proton-transfer systems—Direct imaging of proton disorder in a hydrogen-bonded carboxylic acid dimer by variable-temperature X-ray diffraction. Angew. Chem. Int. Ed. 2004, 43, 2095. [Google Scholar] [CrossRef]
- Moorthy, J.N.; Natarajan, R.; Mal, P.; Venugopalan, P. Helical Self-Assembly of Substituted Benzoic Acids: Influence of Weaker X···X and C−H···X Interactions. J. Am. Chem. Soc. 2002, 124, 6530. [Google Scholar] [CrossRef]
- Sutor, D.J. The C–H… O Hydrogen Bond in Crystals. Nature 1962, 195, 68–69. [Google Scholar] [CrossRef]
- Gu, Y.; Kar, T.; Scheiner, S. Fundamental Properties of the CH···O Interaction: Is It a True Hydrogen Bond? J. Am. Chem. Soc. 1999, 121, 9411–9422. [Google Scholar] [CrossRef]
- Shi, L.; Min, W. Vibrational Solvatochromism Study of the C–H···O Improper Hydrogen Bond. J. Phys. Chem. B 2023, 127, 3798–3805. [Google Scholar] [CrossRef] [PubMed]
- Parajuli, R. Electron density, interaction energy and hydrogen-bond radius of C–H···O interaction. Current Sci. 2018, 114, 1295–1298. [Google Scholar] [CrossRef]
- Saha, B.K.; Saha, A.; Sharada, D.; Rather, S.A. F or O, Which One Is the Better Hydrogen Bond (Is It?) Acceptor in C–H…X–C (X– = F–, O=) Interactions? Cryst. Growth Des. 2018, 18, 1–6. [Google Scholar] [CrossRef]
- Steiner, T. C-H···O hydrogen bonding in crystals. Cryst. Rev. 2003, 9, 177–228. [Google Scholar] [CrossRef]
- Kosolapoff, G.M. Intermolecular Dehydrations by Means of Phosphorus Pentoxide. I. Preparation of Substituted Acetophenones. J. Am. Chem. Soc. 1947, 69, 1651–1652. [Google Scholar] [CrossRef] [PubMed]
- Vogel, A. Vogel’s Textbook of Practical Organic Chemistry, 5th ed.; Furniss, B.S., Hannaford, A.J., Smith, P.W.G., Tatchell, A.R., Eds.; Longman Scientific & Technical: New York, NY, USA, 1984; p. 447. [Google Scholar]
- Nightingale, D.; Radford, H. The hydrogenation of aromatic ketones with hydrogen and copper-chromium oxide catalyst. J. Org. Chem. 1949, 14, 1093. [Google Scholar] [CrossRef]
- Dinger, M. Some Crystal Growing Tips; Department of Chemistry at the University of Florida. Available online: https://xray.chem.ufl.edu/helpful-information/crystal-growing-tips/ (accessed on 6 June 2024).
- Ermer, O. Ungewöhnliches Strukturmerkmal kristalliner Phthalsäure. Helv. Chim. Acta 1981, 64, 1902. [Google Scholar] [CrossRef]
- Sheldrick, G.M. SHELXS-97; University of Göttingen: Göttingen, Germany, 1997. [Google Scholar]
- Farrugia, L.J. ORTEP-3 for Windows—A version of ORTEP-III with a Graphical User Interface (GUI). J. Appl. Cryst. 1997, 30, 565. [Google Scholar] [CrossRef]
- Brandenburg, K. Diamond, Version 2.1e; Crystal Impact GbR: Bonn, Germany, 1996.
- Vandenborre, M.T.; Giller-Pandraud, H.; Antona, D.; Becker, P. The structure of 3,4-dimethylphenol at −130 °C. Acta Cryst. 1973, B29, 2488. [Google Scholar] [CrossRef]
- Kanters, J.A.; Hooft, R.W.W.; Duisenberg, A.J.M. Crystal Structure of Diheterolevulosan II: Alpha-D-Fructofuranose-beta-D-Fructopyranose 1,2′:2,1′ Dianhydride and Molecular Mechanics Calculations on Diheterolevulosan II and IV with Chair and Boat Conformations of the Central 1,4-Dioxane Ring. J. Crystallogr. Spectrosc. Res. 1990, 20, 123. [Google Scholar] [CrossRef]
- Thozet, A.; Perrin, M. Structure of 2-isopropyl-5-methylphenol (thymol). Acta Cryst. 1980, B36, 1444–1447. [Google Scholar] [CrossRef]
- Harms, K.; Marsch, M. Unpublished work. 2000. [Google Scholar]
- McGregor, P.A.; Allan, D.R.; Parsons, S.; Clark, S.J. Hexamer formation in tertiary butyl alcohol (2-methyl-2-propanol, C4H10O). Acta Cryst. 2006, B62, 599–605. [Google Scholar] [CrossRef] [PubMed]
- Blair, A.D.; Hendsbee, A.; Masuda, J.D. 1-(2,4,6-Triisopropylphenyl)ethanone. Acta Cryst. 2011, E67, o2731. [Google Scholar] [CrossRef] [PubMed]
- Tanimoto, Y.; Kobayashi, H.; Nagakura, S.; Saito, Y. The crystal structure of acetophenone at 154 K. Acta Cryst. 1973, B29, 1822. [Google Scholar] [CrossRef]
- Oare, D.A.; Henderson, M.A.; Sanner, M.A.; Heathcock, C.H. Acyclic stereoselection. 46. Stereochemistry of the Michael addition of N,N-disubstituted amide and thioamide enolates to α,β-unsaturated ketones. J. Org. Chem. 1990, 55, 132. [Google Scholar] [CrossRef]
Disclaimer/Publisher’s Note: The statements, opinions and data contained in all publications are solely those of the individual author(s) and contributor(s) and not of MDPI and/or the editor(s). MDPI and/or the editor(s) disclaim responsibility for any injury to people or property resulting from any ideas, methods, instructions or products referred to in the content. |
© 2024 by the authors. Licensee MDPI, Basel, Switzerland. This article is an open access article distributed under the terms and conditions of the Creative Commons Attribution (CC BY) license (https://creativecommons.org/licenses/by/4.0/).









