Multicomponent Nanoparticles Decorating a Lignin-Derived Biochar Composite for 2-Nitrophenol Sensing
Abstract
1. Introduction
2. Reagents and Instruments
3. Results and Discussion
3.1. Morphology and Structure
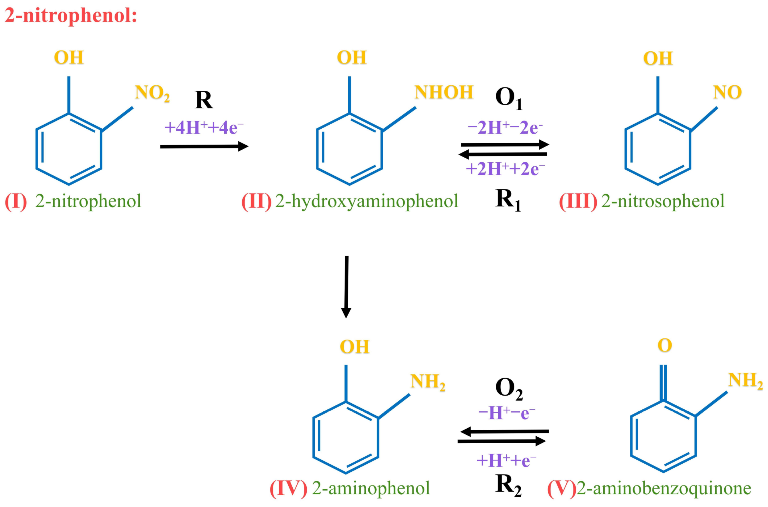
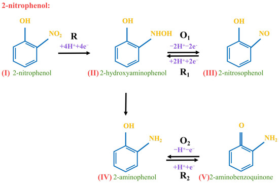
3.2. Electrochemical Behavior of 2-Nitrophenol at Different Modified Electrodes
3.3. Effects of Scan Rate
3.4. Electrochemical Detection of 2-Nitrophenol
3.5. Anti-Interference, Stability, Reproducibility and Repeatability
3.6. Real Sample Studies
4. Conclusions
Supplementary Materials
Author Contributions
Funding
Data Availability Statement
Conflicts of Interest
References
- Supanchaiyamat, N.; Jetsrisuparb, K.; Knijnenburg, J.T.N.; Tsang, D.C.W.; Hunt, A.J. Lignin materials for adsorption: Current trend, perspectives and opportunities. Bioresour. Technol. 2019, 272, 570–581. [Google Scholar] [CrossRef] [PubMed]
- Naseem, A.; Tabasum, S.; Zia, K.M.; Zuber, M.; Ali, M.; Noreen, A. Lignin-derivatives based polymers, blends and composites: A review. Int. J. Biol. Macromol. 2016, 93 Pt A, 296–313. [Google Scholar] [CrossRef]
- Wang, S.; Bai, J.; Innocent, M.T.; Wang, Q.; Xiang, H.; Tang, J.; Zhu, M. Lignin-based carbon fibers: Formation, modification and potential applications. Green Energy Environ. 2022, 7, 578–605. [Google Scholar] [CrossRef]
- Ma, X.; Chen, J.; Zhu, J.; Yan, N. Lignin-Based Polyurethane: Recent Advances and Future Perspectives. Macromol. Rapid Commun. 2021, 42, e2000492. [Google Scholar] [CrossRef] [PubMed]
- Mohamad Aini, N.A.; Othman, N.; Hussin, M.H.; Sahakaro, K.; Hayeemasae, N. Lignin as Alternative Reinforcing Filler in the Rubber Industry: A Review. Front. Mater. 2020, 6, 329. [Google Scholar] [CrossRef]
- Liu, X.; Bouxin, F.P.; Fan, J.; Budarin, V.L.; Hu, C.; Clark, J.H. Recent Advances in the Catalytic Depolymerization of Lignin towards Phenolic Chemicals: A Review. ChemSusChem 2020, 13, 4296–4317. [Google Scholar] [CrossRef] [PubMed]
- Pinheiro, F.G.C.; Soares, A.K.L.; Santaella, S.T.; Silva, L.M.A.e.; Canuto, K.M.; Cáceres, C.A.; Rosa, M.d.F.; Feitosa, J.P.d.A.; Leitão, R.C. Optimization of the acetosolv extraction of lignin from sugarcane bagasse for phenolic resin production. Ind. Crops Prod. 2017, 96, 80–90. [Google Scholar] [CrossRef]
- Li, P.; Yang, C.; Yi, D.; Li, S.; Wang, M.; Wang, H.; Jin, Y.; Wu, W. Preparation of spherical porous carbon from lignin-derived phenolic resin and its application in supercapacitor electrodes. Int. J. Biol. Macromol. 2023, 252, 126271. [Google Scholar] [CrossRef] [PubMed]
- Gholivand, M.B.; Jalalvand, A.R.; Goicoechea, H.C. Computer-assisted electrochemical fabrication of a highly selective and sensitive amperometric nitrite sensor based on surface decoration of electrochemically reduced graphene oxide nanosheets with CoNi bimetallic alloy nanoparticles. Mater. Sci. Eng. C 2014, 40, 109–120. [Google Scholar] [CrossRef]
- Jiang, N.; Song, J.; Yan, M.; Hu, Y.; Wang, M.; Liu, Y.; Huang, M. Iron cobalt-doped carbon nanofibers anode to simultaneously boost bioelectrocatalysis and direct electron transfer in microbial fuel cells: Characterization, performance, and mechanism. Bioresour. Technol. 2023, 367, 128230. [Google Scholar] [CrossRef]
- Yang, L.; Chen, Y.; Wen, Q.; Lin, C.; Gao, H.; Qi, Z.; Pan, X. Bimetallic ZIF-derived heteroatomic-doped bioanode catalysts for enhanced power production in microbial fuel cells. Fuel 2024, 357, 129921. [Google Scholar] [CrossRef]
- Xiao, W.; Cheng, M.; Liu, Y.; Wang, J.; Zhang, G.; Wei, Z.; Li, L.; Du, L.; Wang, G.; Liu, H. Functional metal/carbon composites derived from metal–organic frameworks: Insight into structures, properties, performances, and mechanisms. ACS Catal. 2023, 13, 1759–1790. [Google Scholar] [CrossRef]
- Pang, B.; Lin, S.; Shi, Y.; Wang, Y.; Chen, Y.; Ma, S.; Feng, J.; Zhang, C.; Yu, L.; Dong, L. Synthesis of CoFe2O4/graphene composite as a novel counter electrode for high performance dye-sensitized solar cells. Electrochim. Acta 2019, 297, 70–76. [Google Scholar] [CrossRef]
- Veerapandi, G.; Govindan, R.; Sekar, C. Quick and accurate determination of hazardous phenolic compounds using CaCu2O3 nanorods based electrochemical sensor. Chemosphere 2023, 313, 137370. [Google Scholar] [CrossRef] [PubMed]
- Jaber, F.; Schummer, C.; Al Chami, J.; Mirabel, P.; Millet, M. Solid-phase microextraction and gas chromatography-mass spectrometry for analysis of phenols and nitrophenols in rainwater, as their t-butyldimethylsilyl derivatives. Anal. Bioanal. Chem. 2007, 387, 2527–2535. [Google Scholar] [CrossRef] [PubMed]
- Guo, X.; Wang, Z.; Zhou, S. The separation and determination of nitrophenol isomers by high-performance capillary zone electrophoresis. Talanta 2004, 64, 135–139. [Google Scholar] [CrossRef] [PubMed]
- Niazi, A.; Yazdanipour, A. Spectrophotometric simultaneous determination of nitrophenol isomers by orthogonal signal correction and partial least squares. J. Hazard. Mater. 2007, 146, 421–427. [Google Scholar] [CrossRef] [PubMed]
- Nistor, C.; Oubiña, A.; Marco, M.-P.; Barceló, D.; Emnéus, J. Competitive flow immunoassay with fluorescence detection for determination of 4-nitrophenol. Anal. Chim. Acta 2001, 426, 185–195. [Google Scholar] [CrossRef]
- Huang, X.; Qiu, N.; Yuan, D. Direct enrichment of phenols in lake and sea water by stir bar sorptive extraction based on poly (vinylpyridine-ethylene dimethacrylate) monolithic material and liquid chromatographic analysis. J. Chromatogr. A 2008, 1194, 134–138. [Google Scholar] [CrossRef]
- Dincer, C.; Bruch, R.; Costa-Rama, E.; Fernandez-Abedul, M.T.; Merkoci, A.; Manz, A.; Urban, G.A.; Guder, F. Disposable Sensors in Diagnostics, Food, and Environmental Monitoring. Adv. Mater. 2019, 31, e1806739. [Google Scholar] [CrossRef]
- Li, J.; Chen, D.; Zhang, T.; Chen, G. Highly sensitive electrochemical determination of methotrexate based on a N-doped hollow nanocarbon sphere modified electrode. Anal. Methods 2021, 13, 117–123. [Google Scholar] [CrossRef] [PubMed]
- Wu, M.; Lin, Y.-n.; Guo, H.; Li, W.; Wang, Y.; Lin, X. Design a novel kind of open-ended carbon sphere for a highly effective counter electrode catalyst in dye-sensitized solar cells. Nano Energy 2015, 11, 540–549. [Google Scholar] [CrossRef]
- Zhou, H.-F.; Li, S.-X.; Wu, Y.-J.; Chen, D.-J.; Li, Y.-H.; Zheng, F.-Y.; Yu, H.-W. Nitrogen-doped carbon spheres surface modified with in situ synthesized Au nanoparticles as electrochemical selective sensor for simultaneous detection of trace nitrophenol and dihydroxybenzene isomers. Sens. Actuators B Chem. 2016, 237, 487–494. [Google Scholar] [CrossRef]
- Zang, J.; Guo, C.X.; Hu, F.; Yu, L.; Li, C.M. Electrochemical detection of ultratrace nitroaromatic explosives using ordered mesoporous carbon. Anal. Chim. Acta 2011, 683, 187–191. [Google Scholar] [CrossRef] [PubMed]
- Pan, S.; Wang, L.; Chen, X.; Tang, Y.; Chen, Y.; Sun, Y.; Yang, X.; Wan, P. Enhanced electrochemical sensing of nitroaromatic compounds based on hydroxyl modified carbon submicroparticles. Electrochim. Acta 2016, 203, 301–308. [Google Scholar] [CrossRef]
- Borrás, C.; Laredo, T.; Mostany, J.; Scharifker, B.R. Study of the oxidation of solutions of p-chlorophenol and p-nitrophenol on Bi-doped PbO2 electrodes by UV-Vis and FTIR in situ spectroscopy. Electrochim. Acta 2004, 49, 641–648. [Google Scholar] [CrossRef]
- El Fawal, G.F.; Abu-Serie, M.M.; Hassan, M.A.; Elnouby, M.S. Hydroxyethyl cellulose hydrogel for wound dressing: Fabrication, characterization and in vitro evaluation. Int. J. Biol. Macromol. 2018, 111, 649–659. [Google Scholar] [CrossRef] [PubMed]
- Zhang, W.; Ma, Y.; Wang, C.; Li, S.; Zhang, M.; Chu, F. Preparation and properties of lignin-phenol-formaldehyde resins based on different biorefinery residues of agricultural biomass. Ind. Crops Prod. 2013, 43, 326–333. [Google Scholar] [CrossRef]
- Yang, W.; Rallini, M.; Natali, M.; Kenny, J.; Ma, P.; Dong, W.; Torre, L.; Puglia, D. Preparation and properties of adhesives based on phenolic resin containing lignin micro and nanoparticles: A comparative study. Mater. Des. 2019, 161, 55–63. [Google Scholar] [CrossRef]
- Siddique, M.; Soomro, S.A.; Aziz, S. Characterization and optimization of lignin extraction from lignocellulosic biomass via green nanocatalyst. Biomass Convers. Biorefinery 2022, 1–9. [Google Scholar] [CrossRef]
- Liu, Y.; Hu, T.; Wu, Z.; Zeng, G.; Huang, D.; Shen, Y.; He, X.; Lai, M.; He, Y. Study on biodegradation process of lignin by FTIR and DSC. Environ. Sci. Pollut. Res. Int. 2014, 21, 14004–14013. [Google Scholar] [CrossRef] [PubMed]
- Wang, Y.; Tu, M.; Li, X.; Zhang, J.; Cheng, J. Facile synthesis of marigold-like microspheres from urea formaldehyde with controllable morphology. Mater. Lett. 2015, 145, 27–29. [Google Scholar] [CrossRef]
- Gu, J.; Xu, Y.; Li, Q.; Pang, H. Porous Ni/NiO nanohybrids for electrochemical catalytic glucose oxidation. Chin. Chem. Lett. 2021, 32, 2017–2020. [Google Scholar] [CrossRef]
- Lv, H.; Liang, X.; Ji, G.; Zhang, H.; Du, Y. Porous Three-Dimensional Flower-like Co/CoO and Its Excellent Electromagnetic Absorption Properties. ACS Appl. Mater. Interfaces 2015, 7, 9776–9783. [Google Scholar] [CrossRef] [PubMed]
- Han, X.; He, G.; He, Y.; Zhang, J.; Zheng, X.; Li, L.; Zhong, C.; Hu, W.; Deng, Y.; Ma, T.Y. Engineering Catalytic Active Sites on Cobalt Oxide Surface for Enhanced Oxygen Electrocatalysis. Adv. Energy Mater. 2017, 8, 1702222. [Google Scholar] [CrossRef]
- Pallavolu, M.R.; Prabhu, S.; Nallapureddy, R.R.; Kumar, A.S.; Banerjee, A.N.; Joo, S.W. Bio-derived graphitic carbon quantum dot encapsulated S- and N-doped graphene sheets with unusual battery-type behavior for high-performance supercapacitor. Carbon 2023, 202, 93–102. [Google Scholar] [CrossRef]
- Luo, M.; Li, S.; Di, Z.; Li, H.; Liu, Q.; Lü, B.; Wang, A.; Shi, B.; Khan, I. Fischer–Tropsch Synthesis: Study of Different Carbon Materials as Cobalt Catalyst Support. Reactions 2021, 2, 43–61. [Google Scholar] [CrossRef]
- Wang, C.; Kim, J.; Tang, J.; Na, J.; Kang, Y. Large-Scale Synthesis of MOF-Derived Superporous Carbon Aerogels. Angew. Chem. Int. Ed. 2020, 132, 2082–2086. [Google Scholar] [CrossRef] [PubMed]
- Xie, C.; Yan, D.; Chen, W.; Zou, Y.; Chen, R.; Zang, S.; Wang, Y.; Yao, X.; Wang, S. Insight into the design of defect electrocatalysts: From electronic structure to adsorption energy. Mater. Today 2019, 31, 47–68. [Google Scholar] [CrossRef]
- Chen, Y.; Chen, L.; Jiang, L.; Zhu, X.; Li, F.; Liu, X.; Mai, K.; Zhang, Z.; Fan, X.; Lv, X. Multifunctional radical polymers-enabled rapid charge/discharge and high capacity for flexible self-standing LiFePO4/PETM/SWNT hybrid electrodes. Chem. Eng. J. 2024, 482, 149008. [Google Scholar] [CrossRef]
- Zhao, X.; Zhang, L.; Chu, Z.; Wang, Q.; Cao, Y.; Cao, J.; Li, J.; Lei, W.; Zhang, B.; Si, W. Fe-Decorated Nitrogen-Doped Carbon Nanospheres as an Electrochemical Sensing Platform for the Detection of Acetaminophen. Molecules 2023, 28, 3006. [Google Scholar] [CrossRef] [PubMed]
- Jiang, Y.; Zhao, X.; Wang, Q.; Sun, Y.; Cao, Y.; Han, N.; Lee, C.; Cao, J.; Li, J.; Si, W. Facile Synthesis of Paper-Derived Porous Activated Carbon and the Electrochemical Determination of Hydrogen Peroxide. J. Electrochem. Soc. 2022, 169, 056510. [Google Scholar] [CrossRef]
- Wang, D.; Yang, Q.; Yang, G.; Xiong, S.; Li, X.; Peng, Y.; Li, J.; Crittenden, J. Rational tuning towards A/B-sites double-occupying cobalt on tri-metallic spinel: Insights into its catalytic activity on toluene catalytic oxidation. Chem. Eng. J. 2020, 399, 125792. [Google Scholar] [CrossRef]
- Wang, L.; Jiao, Y.; Yao, S.; Li, P.; Wang, R.; Chen, G. MOF-derived NiO/Ni architecture encapsulated into N-doped carbon nanotubes for advanced asymmetric supercapacitors. Inorg. Chem. Front. 2019, 6, 1553–1560. [Google Scholar] [CrossRef]
- Yu, S.; Wu, Y.; Xue, Q.; Zhu, J.-J.; Zhou, Y. A novel multi-walled carbon nanotube-coupled CoNi MOF composite enhances the oxygen evolution reaction through synergistic effects. J. Mater. Chem. A 2022, 10, 4936–4943. [Google Scholar] [CrossRef]
- Tan, Y.; Zhang, Z.; Lei, Z.; Yu, L.; Wu, W.; Wang, Z.; Cheng, N. Electronic modulation optimizes OH* intermediate adsorption on Co-Nx-C sites via coupling CoNi alloy in hollow carbon nanopolyhedron toward efficient reversible oxygen electrocatalysis. Appl. Catal. B Environ. 2022, 304, 121006. [Google Scholar] [CrossRef]
- Laviron, E. Adsorption, autoinhibition and autocatalysis in polarography and in linear potential sweep voltammetry. J. Electroanal. Chem. Interfacial 1974, 52, 355–393. [Google Scholar] [CrossRef]
- Wang, Q.; Li, R.; Zhao, Y.; Zhe, T.; Bu, T.; Liu, Y.; Sun, X.; Hu, H.; Zhang, M.; Zheng, X.; et al. Surface morphology-controllable magnetic covalent organic frameworks: A novel electrocatalyst for simultaneously high-performance detection of p-nitrophenol and o-nitrophenol. Talanta 2020, 219, 121255. [Google Scholar] [CrossRef] [PubMed]
- Lavanya, J.; Gomathi, N. High-sensitivity ascorbic acid sensor using graphene sheet/graphene nanoribbon hybrid material as an enhanced electrochemical sensing platform. Talanta 2015, 144, 655–661. [Google Scholar] [CrossRef]
- Meng, X.-T.; Zhu, D.-J.; Jiang, Y.-H.; Cao, Y.; Si, W.-M.; Cao, J.; Li, Q.-h.; Li, J.; Lei, W. Electrochemical sensing of phenacetin on electrochemically reduced graphene oxide modified glassy carbon electrode. New Carbon Mater. 2022, 37, 764–772. [Google Scholar] [CrossRef]
- Nicholson, R.S.; Shain, I. Theory of stationary electrode polarography. Single scan and cyclic methods applied to reversible, irreversible, and kinetic system. Anal. Chem. 1964, 36, 706–723. [Google Scholar] [CrossRef]
- Bard, A.J.; Faulkner, L.R.; White, H.S. Electrochemical Methods: Fundamentals and Applications; John Wiley & Sons: Hoboken, NJ, USA, 2022. [Google Scholar]
- Ren, H.; Wang, J.; Feng, H.; Li, Y.; Ye, B. A versatile ratiometric electrochemical sensing platform based on N-Mo2C for detection of m-nitrophenol. Biosens. Bioelectron. 2019, 144, 111663. [Google Scholar] [CrossRef] [PubMed]
- Ma, F.; Jin, S.; Li, Y.; Feng, Y.; Tong, Y.; Ye, B.-C. Pyrolysis-derived materials of Mn-doped ZIF-67 for the electrochemical detection of o-nitrophenol. J. Electroanal. Chem. 2022, 904, 115932. [Google Scholar] [CrossRef]
- Serrà, A.; Artal, R.; Pozo, M.; Garcia-Amorós, J.; Gómez, E. Simple Environmentally-Friendly Reduction of 4-Nitrophenol. Catalysts 2020, 10, 458. [Google Scholar] [CrossRef]
- Hwa, K.-Y.; Sharma, T.S.K.; Ganguly, A. Design strategy of rGO–HNT–AgNPs based hybrid nanocomposite with enhanced performance for electrochemical detection of 4-nitrophenol. Inorg. Chem. Front. 2020, 7, 1981–1994. [Google Scholar] [CrossRef]
- Cheng, X.; Xia, X.; Xu, Q.; Wang, J.; Sun, J.; Zhang, Y.; Li, S. Superior conductivity FeSe2 for highly sensitive electrochemical detection of p-nitrophenol and o-nitrophenol based on synergistic effect of adsorption and catalysis. Sens. Actuators B Chem. 2021, 348, 130692. [Google Scholar] [CrossRef]
- Sriram, B.; Kogularasu, S.; Wang, S.-F.; Sheu, J.-K. Rationally designed RGO@CuO@Mn2O3 as an excellent electrocatalyst for the rapid and real-time detection of 2-nitrophenol. New J. Chem. 2020, 44, 12465–12472. [Google Scholar] [CrossRef]
- Li, J.; He, L.; Jiang, J.; Xu, Z.; Liu, M.; Liu, X.; Tong, H.; Liu, Z.; Qian, D. Facile syntheses of bimetallic Prussian blue analogues (KxM[Fe(CN)6]·nH2O, M=Ni, Co, and Mn) for electrochemical determination of toxic 2-nitrophenol. Electrochim. Acta 2020, 353, 136579. [Google Scholar] [CrossRef]
- Yuan, M.; Zou, J.; Guan, J.; Huang, Z.; Yu, J. Highly sensitive and selective determination of p-nitrophenol at an interpenetrating networks structure of self-assembled rod-like lanthanum hydroxide-oxidized multi-walled carbon nanotubes nanocomposite. Ecotoxicol. Environ. Saf. 2020, 201, 110862. [Google Scholar] [CrossRef]
- Gerent, G.G.; Spinelli, A. Magnetite-platinum nanoparticles-modified glassy carbon electrode as electrochemical detector for nitrophenol isomers. J. Hazard. Mater. 2017, 330, 105–115. [Google Scholar] [CrossRef]
- Zhang, J.; Cui, S.; Ding, Y.; Yang, X.; Guo, K.; Zhao, J.-T. Two-dimensional mesoporous ZnCo2O4 nanosheets as a novel electrocatalyst for detection of o-nitrophenol and p-nitrophenol. Biosens. Bioelectron. 2018, 112, 177–185. [Google Scholar] [CrossRef] [PubMed]
- Huang, Y.; Bai, S.; Huang, J.; Ma, Y.; Zeng, Q.; Wang, M.; Wang, L. Simultaneous detection of nitrophenol isomers using an easy-to-fabricate thiophene-based microporous polymer film modified electrode. Microchem. J. 2020, 153, 104465. [Google Scholar] [CrossRef]










| Sample | C (wt%) | O (wt%) | N (wt%) | Co (wt%) | Ni (wt%) |
|---|---|---|---|---|---|
| PFC | 83.02 | 14.05 | 2.92 | - | - |
| CoNi-PFC | 86.68 | 10.12 | 1.84 | 0.77 | 0.59 |
| (1 − α)n | │Ep − Ep/2│(V) | n | α | |||||||||
|---|---|---|---|---|---|---|---|---|---|---|---|---|
| R | R | R1 | O1 | R2 | O2 | R | R1 | O1 | R2 | O2 | R | |
| 2-nitrophenol | 1.43 | 0.129 | 0.029 | 0.027 | 0.047 | 0.071 | 4 | 2 | 2 | 1 | 1 | 0.64 |
| Material (Method) | Technique | Linear Range (µM) | LOD (µM) | Ref. |
|---|---|---|---|---|
| FeSe2/GCE (a) | DPV | 1–500 | 0.036 | [57] |
| RGO@CuO@Mn2O3 | DPV | 0.5–231 | 0.021 | [58] |
| NiFe–PBA (b) | DPV | 1.0–700 | 0.067 | [59] |
| La(OH)3–OxMWCNTs (c) | DPV | 1–30 | 0.27 | [60] |
| (Pt–Fe3O4) NPs/GCE (d) | DPV | 5–100 | 0.30 | [61] |
| meso–ZnCo2O4 /GCE (e) | DPV | 1–4000 | 0.3 | [62] |
| PTTB/GCE (f) | DPV | 0.3–10 | 0.04 | [63] |
| Fe3O4@AT–COF/MGCE (g) | DPV | 10–3000 | 0.657 | [48] |
| CoNi–PFC | DPV | 0–100 | 0.0132 | This study |
| Sample | Added (μM) | Found (μM) | Recovery (%) |
|---|---|---|---|
| Tap water | 30 | 30.83 | 102.76 |
| 50 | 50.64 | 101.28 | |
| 100 | 98.75 | 98.75 |
Disclaimer/Publisher’s Note: The statements, opinions and data contained in all publications are solely those of the individual author(s) and contributor(s) and not of MDPI and/or the editor(s). MDPI and/or the editor(s) disclaim responsibility for any injury to people or property resulting from any ideas, methods, instructions or products referred to in the content. |
© 2024 by the authors. Licensee MDPI, Basel, Switzerland. This article is an open access article distributed under the terms and conditions of the Creative Commons Attribution (CC BY) license (https://creativecommons.org/licenses/by/4.0/).
Share and Cite
Bao, T.; Wang, Q.; Jiang, Y.; Zhao, X.; Cao, Y.; Cao, J.; Li, Q.; Si, W. Multicomponent Nanoparticles Decorating a Lignin-Derived Biochar Composite for 2-Nitrophenol Sensing. Crystals 2024, 14, 506. https://doi.org/10.3390/cryst14060506
Bao T, Wang Q, Jiang Y, Zhao X, Cao Y, Cao J, Li Q, Si W. Multicomponent Nanoparticles Decorating a Lignin-Derived Biochar Composite for 2-Nitrophenol Sensing. Crystals. 2024; 14(6):506. https://doi.org/10.3390/cryst14060506
Chicago/Turabian StyleBao, Tianshuang, Qi Wang, Yuhang Jiang, Xiangchuan Zhao, Yue Cao, Jun Cao, Qiaoling Li, and Weimeng Si. 2024. "Multicomponent Nanoparticles Decorating a Lignin-Derived Biochar Composite for 2-Nitrophenol Sensing" Crystals 14, no. 6: 506. https://doi.org/10.3390/cryst14060506
APA StyleBao, T., Wang, Q., Jiang, Y., Zhao, X., Cao, Y., Cao, J., Li, Q., & Si, W. (2024). Multicomponent Nanoparticles Decorating a Lignin-Derived Biochar Composite for 2-Nitrophenol Sensing. Crystals, 14(6), 506. https://doi.org/10.3390/cryst14060506

