Next Article in Journal
Electronic Structure Calculations of Rare-Earth-Doped Magnesium Oxide Based on Density Functional Theory
Next Article in Special Issue
Effect of Preparation Process on the Microstructure and Characteristics of TiAl Pre-Alloyed Powder Fabricated by Plasma Rotating Electrode Process
Previous Article in Journal
High-Entropy Engineering in Thermoelectric Materials: A Review
Previous Article in Special Issue
Possibility of Phase Transformation of Al2O3 by a Laser: A Review
 
 
Font Type:
Arial Georgia Verdana
Font Size:
Aa Aa Aa
Line Spacing:
Column Width:
Background:
Review

Processing Techniques and Metallurgical Perspectives and Their Potential Correlation in Aluminum Bottle Manufacturing for Sustainable Packaging Solutions

by
Mousa Javidani
1,*,
Siamak Nikzad Khangholi
1 and
Alain Chapdelaine
2
1
Department of Applied Science, University of Québec at Chicoutimi, Saguenay, QC G7H 2B1, Canada
2
AluQuébec, Montreal, QC H3A 1K2, Canada
*
Author to whom correspondence should be addressed.
Crystals 2024, 14(5), 434; https://doi.org/10.3390/cryst14050434
Submission received: 16 March 2024 / Revised: 4 April 2024 / Accepted: 6 April 2024 / Published: 1 May 2024
(This article belongs to the Special Issue Progress in Light Alloys)

Abstract

This study explores the potential of aluminum wine bottles as a sustainable alternative to traditional glass bottles, emphasizing their recyclability and environmental advantages. It reviews the potential use of Al-Mn-Mg 3xxx alloys in beverage can bodies and examines various applications of aluminum containers in packaging, including recyclable beverage containers. The manufacturing processes for aluminum bottles, including casting, rolling, punching, and deformation techniques, are discussed in detail, with a particular focus on their impact on mechanical properties and microstructure. The preference for 1xxx aluminum alloys in impact extrusion is explained, highlighting their lower flow stress and higher formability compared to 3xxx alloys, and the microstructural changes induced by various processing steps are analyzed. Challenges related to using recycled aluminum and their effects on mechanical properties and microstructure during aluminum bottle production are also addressed. One objective is to increase the proportion of recycled alloyed material used in aluminum bottle manufacturing. Depending on the technique employed, the fraction of alloyed recycled material can vary. The percentage of recycled alloyed material (3xxx series Al alloys) in cold backward impact extrusion could be raised by 60%. High-speed blow forming could facilitate the production of aluminum bottles with a recycled alloyed material ranging from 50 to 100% of the 3xxx series aluminum can body alloys. The high-speed drawing and ironing (DWI) process can produce large-format aluminum bottles (up to 750 mL), utilizing at least 90% of the recycled 3xxx series can body stock. Furthermore, the paper discusses the importance of optimized heat treatment designs in enhancing mechanical properties and controlling microstructural evolution in alloyed aluminum materials, such as 3xxx series alloys. The study concludes with a need for further research to deepen our understanding of the metallurgical aspects of aluminum bottle manufacturing and to optimize the use of recycled aluminum in packaging solutions, with a specific focus on improving mechanical properties and microstructural integrity. This comprehensive review aims to contribute to the development of more sustainable packaging practices in the beverage industry by providing insights into the interplay between manufacturing processes, mechanical properties, and microstructure of aluminum bottles.

1. Introduction

The aluminum wine bottle presents a significant alternative to traditional glass bottle owing to better recyclability, less environmental issue, and better characteristics such as the thermal conductivity [1,2]. Therefore, this study aims to investigate the manufacturing of aluminum bottles, focusing particularly on aluminum wine bottles.
Conventional Al-Mn-Mg 3xxx alloys are increasingly utilized in the packaging industry for beverage can bodies due to their corrosion resistance, formability, and recyclability [3,4,5,6]. Aluminum containers serve various purposes, including beverage cans, bottles, and aerosol cans [7]. Beverage cans exhibit an impressive recycling rate of up to 95%, aligning with the United Nations Sustainable Development Goal 12, which advocates for sustainable consumption and production practices. In the US, 66% of the average aluminum can’s weight is comprised of recycled content (43% from recycled beverage cans and 23% from post-industrial scrap generated during manufacturing), 7% consists of non-beverage can end-of-life scrap, and 27% is primary aluminum [8].
Metal containers are extensively used in beverage applications. The traditional beverage can is typically characterized by an upright cylindrical container. Nevertheless, the consumer appeal and/or product identification leads to producing the metal beverage containers with more complex form. It ended up with manufacturing aluminum bottles rather than an ordinary cylindrical can shape [2,9].
In this work, the different manufacturing processes of the aluminum bottles are addressed (covered in Section 2, Section 3 and Section 4). In all methods, the materials are cast into the slab, followed by the hot/cold rolling. Then, the aluminum sheets are punched into slugs, which are then subjected to annealing treatment. Afterward, deformation process such as backward impact extrusion, drawing, and high-speed blow forming are applied to the slugs [3,4,7,9]. The production of aluminum bottle is anticipated to yield higher rejection rates compared to traditional cans. This is attributed to the more complex geometry of the container and the increased plastic deformation required for shapes characterized by a high aspect ratio (height-to-diameter) with a narrower neck [7]. Further, the thickness reduction in the impact extrusion for the aluminum bottle manufacturing is −80% and above [4]. Therefore, the large deformation is expected in the impact extrusion of the aluminum alloys. The aluminum bottle manufacturing demands specific characteristics, such as excellent formability in the conventional impact extrusion process. Hence, the alloys should be sufficiently soft, such as 1050 and 1070, to achieve successful cold backward impact extrusion. Therefore, the preference for 1xxx aluminum alloys in the impact extrusion is due to their lower flow stress, reduced work hardening, and higher formability compared to 3xxx alloys. This choice is influenced by the lower alloying element content in 1xxx alloys. The challenges of high reduction levels in impact extrusion support the recommendation of using dilute 1xxx Al alloys to avoid reduced formability and potential rupture. However, it is advisable to use recycled aluminum to get environmental and economic benefits from secondary materials instead of primary ones. Consequently, producing flawless containers through the impact extrusion of recycled aluminum alloys (such as 3xxx Al alloys) might pose challenges [3,4].
The microstructure evolutions in the aluminum bottle manufacturing have been rarely reported in the literature. However, based on the reported alloys and the manufacturing process, this study aims at addressing the possible microstructural changes during the aluminum bottle production (Section 5). It gives some hints to better understand the metallurgical aspects of the aluminum bottle manufacturing. Although these alloys are classified as non-heat-treatable alloys, recent investigations have shown that the dispersoid precipitation could be considered as an effective strengthening factor to enhance the strength and resist against the recovery and recrystallization when an appropriate heat treatment process is employed [5]. As the thermomechanical process and the annealing treatment would be applied to the materials before the mechanical deformation in the aluminum bottle manufacturing [3,4,7,9], the microstructure change is expected to take place. An isotropic microstructure might significantly affect the formability in impact extrusion. The various microstructure condition will be addressed in this work.

2. Slug/Blank Manufacturing Process

Figure 1 displays the production line of the slug/blank materials from the recycled aluminum materials and primary aluminum. These slug/blank materials will be used in the aluminum container (bottle) in the next step through the different methods. It is intended to produce the Al bottle with new alloys combined from two materials; commercially pure aluminum and recycled aluminum alloys (e.g., used beverage can- UBC). The recycled aluminum scrap might consist of aluminum alloys such as 3005, 3104, 3105, 3003, 3013, or 3103. First, the materials are melted in some melting furnaces such as reverbatory furnace, side well furnaces and rotary furnaces. To minimize the oxidation or melt loss of the recycled materials (UBC), it is recommended to use the furnace with the indirect heat systems (e.g., side well furnaces and rotary furnaces) rather than the furnace with a direct contact with the aluminum scrap (reverbatory furnace). In the side well furnaces and rotary furnaces, the molten metal is first cast into ingot, sow, or pigs. Then, they are remelted in a reverbatory furnace to adjust the desired chemical compositions (Figure 1) [3,4].
Grain refiners can be added to Al-based alloys for several reasons, including improving ingot fabricability, reducing segregation, enhancing uniformity, minimizing porosity and ingot cracking, increasing casting speed, improving finishing response, and achieving a finer microstructure. Various types of grain refiners can be utilized, such as B, TiB2, and TiC, among others [10,11]. These grain refiners are introduced either prior to casting through continuous feed in the launder or directly to the furnace in batches. The TiB2 concentration typically ranges from approximately 0.5 kg/ton to around 1.3 kg/ton. In resulting cast products, finer grains contribute to higher ductility, a critical requirement for subsequent hot/cold rolling and other deformation processes. Additionally, the addition of grain refiners is expected to yield finer intermetallics. It is advisable to implement degassing of the molten metal at this stage [3,4].
Following the melting process of the materials, the molten metal is cast into the slab with about 6–19 inches in width and about 0.75–1.5 inches (19–38 mm) thick using the different casting methods such as a wheel belt caster, a Hazelett caster, a twin roll caster, and a block caster. Maintaining careful control over the slab temperature at the caster exit is essential for the following hot rolling process. The exit temperature of the slab passing through the caster must fall within the range from 520 °C to 582 °C. Depending on the chemical composition, the slab temperature in the hot rolling process ranges from 450 °C to 550 °C. Through the hot rolling, the slab thickness is decreased from approximately 19–38 mm to 6–18 mm (0.75–1.5 inches to 0.23–0.71 inches). The self-annealing might affect the microstructure during the hot rolling due to the higher temperature of the materials. Furthermore, the degree in the thickness reduction in the hot rolling could directly affect the microstructure (particularly the grain sizes) through the dynamic recovery/recrystallization. After the hot rolling process, the hot-rolled strip is immersed in a quench tank, containing fluid (e.g., water), to reduce the temperature down to 25–50 °C. Following the hot rolling, the cold rolling is applied to the materials. The final thickness of the materials would be ended up with ~3–14 mm (0.12–0.55 inches) in the form of the strips. The cold rolling induces a rise in the yield strength while simultaneously causing a decrease in ductility due to the introduced strain hardening. The material temperature would be increased during the cold rolling due to the internal friction. A better finish surface and final thickness will be achieved through the cold rolling [3,4]. The coarse particles (intermetallics) fragmentation is reported in the 3104 alloy during the cold rolling, ended up with the smaller particles [12].
The cold-rolled strips are punched into the discs (slugs) of a diameter of about 44.65 mm and a thickness of about 3–14 mm (0.12–0.55 inches). It is reported that slugs of various shapes, such as triangles, ovals, circles, squares, diamonds, rectangles, or pentagons, might be used depending upon the shape of the die and/or the desired end product. It has been reported that it is optional to apply the annealing treatment to the punched slugs or materials to give more ductility (formability) and form a homogeneous, equiaxed grain structure prior to the mechanical deformation (bottle manufacturing). The annealing process causes the recovery and recrystallization. Two types of the annealing treatments could be considered: batch annealing and continuous annealing. In the batch annealing, the annealing temperatures could be 470–600 °C, and the holding time is 5–9 h, depending on the alloy composition. Then the slugs are subjected to the furnace cooling, which might reduce the hardness to some extent. An inert gas may be circulated in the furnace to minimize the oxidation. In the continuous annealing (Figure 2), the materials are quickly heated up, kept at the higher temperature (450–570 °C) for a shorter time, and then quenched. The entire continuous annealing might be around 20–25 min (Figure 2). The continuous annealing process may be conducted in air. The peak temperature depends on the alloy chemical composition [3,4].
The continuous annealing is recommended over the batch annealing. First, the continuous annealing leads to minimized oxidation owing to the shorter annealing time. The magnesium oxide on the surface of the punched slugs can cause excessive scratching during the deformation process. Second, the precisely controlled thermal cycle in continuous annealing, rapid heating, shorter holding time, and rapid cooling, could positively affect the grain structure. Consequently, the continuous annealing yields the increased strength, suggesting a container with smaller thickness and greater lightweight capacity [3,4]. However based on the thermomechanical processing parameters described here, the possible microstructural change during the thermomechanical process will be addressed in the following sections.
Following the annealing process, it is recommended to apply the blast/tumble finishing is recommended to apply on the slugs. A tumbler process or shot blast would roughen the slugs for better lubrication. The shot blast finishing is preferred over the tumbler finishing because it is efficient to remove the magnesium oxide formed during the annealing treatment. The slug lubrification is performed to reduce the friction force during the impact extrusion [3,4].
In the next step, the different Al bottle manufacturing methods are addressed.

3. Aluminum Bottle Manufacturing Methods

This section will address the different methods of the Al bottle manufacturing; through cold backward impact extrusion, high-speed blow forming, cup drawing and necking, and large format aluminum bottles (750 mL).

3.1. Through Cold Backward Impact Extrusion

Prior to the cold backward impact extrusion to produce the Al bottle, the slug lubrification is performed to reduce the friction force during the impact extrusion. Around 100 g of the lubricant is applied to the 100 kg of the slugs [3,4].
The backward impact extrusion would be performed on the lubricated slugs. In general, there are three types of the forming for the impact extrusion; forward extrusion, backward extrusion, and the combination of the backward and forward extrusion [4]. The backward impact extrusion is a method employed to manufacture Al bottles [3,13]. As mentioned previously, the extrudable materials could be in the different form such as discs (slugs) being 44.65 mm in diameter and 3–14 mm in thickness [3,4].
The die material in the backward extrusion process could be cemented carbide. Extrusion slugs are positioned in the container (die) with the precise shape [3,4,13]. Then, the steel ram is directed into the front surface of the slug (billet), forming the desired hollow body backwardly. The forward motion of the ram stops at a distance from the bottom of the container equal to the desired thickness of the base of the extruded hollow body [13]. After forming the initial shape, the container (cylinder) is removed from the ram using a counter-ram ejector [4]. The ram and die dimensions are designed in such a way that they leave a gap between the ram and the side walls of the die. This gap matches the intended thickness of the extruded material [13]. The slug (disc) diameter could be slightly smaller than final product (0.5 mm). This container may serve as a beverage container or aerosol container. The height and thickness of the beverage container could be 1.8–11 and 0.003–0.08 inches, respectively. The height of the aerosol container could be 2.3–9.5 inches [4].
The impact extrusion is different from the forming processes such as stamping, bending, and deep drawing. The thickness reduction in the impact extrusion might be at least −80%. In the impact extrusion, the applied stress is parallel to the slug thickness, while the stress is applied in the plane of the sheet (perpendicular to thickness) in other forming processes, e.g., stamping, bending, and drawing. It is probable to reduce the wall thickness by 5–40% for the purpose of lightweighting the container, provided the container strength would be improved [4].
The wall thickness of the extruded container is connected with the tooling shapes. It is recommended to perform wall ironing and the dome forming on the bottom of the container after the impact extrusion. Then the extruded containers are brushed to remove surface imperfections, and are washed in a caustic solution (sodium or potassium hydroxide) to remove lubricants and other debris (Figure 3) [3,4].
Then the interior container coating (epoxy based) is applied to the materials with the lance nozzle. The coating might be applied using spraying, painting, brushing, and dipping. The coating is subjected to thermal curing at a temperature between 200 and 250 °C for 5–15 min. A base coating is applied to the external surface of the container using rolling, spraying, painting, brushing, and dipping. Subsequently, the base coating is subjected to the thermal curing at a temperature of 110–180 °C for 5–15 min. The decorative ink might be also applied on the exterior of the bottle using the above-mentioned methods. Then it would be thermally cured at 120–180 °C for 5–15 min. A clear over varnish is applied to the container using the above-mentioned methods, which would be thermally cured at a temperature 150–200 °C for 5–15 min (Figure 3) [3,4].
Afterward, the container opening diameter can be decreased using a technique known as necking through a series of consecutive operations. The number of reducing steps depends on the diameter reduction of the container and the shape of the neck. In the recycled aluminum alloy material, a higher number of necking steps is typically required [3,4].
The container body can be shaped. When utilizing recycled aluminum alloy, there might be required to perform the extra shaping stages. During the necking process, the metal flow can result in an uneven, work-hardened edge, trimmed before the curling stage. The open edge of the container is curled over itself to create a mounting surface for a bottle. A slight quantity of material might be removed by machining from top of the curl. Then the inspections and packaging would be done on the bottles (Figure 3) [3,4].

Alloys Backward Impact Extrusion

The aluminum wine bottle fabrication is required to have unique properties such as excellent formability in conventional impact extrusion process. Therefore, the alloys ought to be soft enough (e.g., 1050 and 1070) to accomplish the cold backward impact extrusion successfully. Moreover, the use of the recycled aluminum is recommended to get the environmental and economic benefit from the secondary materials rather than the primary materials. Therefore, the impact extrusion of the recycled aluminum alloys (e.g., 3104, 3105, 3004, 3003, 3013, and 3103) might be challenging to produce zero-defect containers [4].
Regarding the recycled aluminum materials, used beverage can (UBC) scrap can be used, referring to the collected metal obtained from discarded beverage cans. This aluminum UBC scrap typically comprises a blend of diverse aluminum alloys; can bodies (AA3104) and can ends (AA5182). The UBC scrap might need a shredding process as well as decoating or delacquering before melting [14]. The alloy 3005 scrap source is the automotive industry. The pure aluminum (1070 or 1050) could be provided from the primary aluminum [3].
Here, the combination of the 3xxx aluminum alloys and the primary aluminum alloys would be basically addressed. Accordingly, a combination of the commercial pure aluminum (e.g., 1050 and 1070) and high-alloyed aluminum materials (Al series 3xxx) could introduce new alloys appropriate for the impact extrusion [3,4].
The chemical compositions for 3104, 3004, 3105, 3003, 1070, 1050, and 1020 aluminum alloys are listed in Table 1 based on the International Alloy Designations and Chemical Composition Limits for Wrought Aluminum and Wrought Aluminum Alloys (revised in January 2015). The Canadian composition (P1020) is also added to Table 1, which is according to the International Designations and Chemical Composition Limits for Unalloyed Aluminum (March 2007). In Table 1, the impurities consist of Ni, Ag, B, Bi, Ga, Li, Pb, Sn, V, Hg, and Cd [4].
Table 2 shows the chemical composition of the UBC combining of the 75% of the can body (AA3004) and 25% of the can lid. It suggests that the Mg and Mn levels in UBC are fairly high.
Table 3, Table 4 and Table 5 display the chemical composition of the new alloys combined by 10–60% of the recycled aluminum materials and 40–90% of the AA1070, AA1050, and P1020, respectively. The recycled aluminum materials are AA3104, AA3105, AA3004, AA3003, and AA3103. It is said that all values are in wt.% and are the approximate values with the accuracy of ±10% [4].

3.2. High-Speed Blow Forming

Another bottle production might be performed through a technique known as high-speed blow forming (HSBF). This method consists of applying a solid lubricant onto the sheet, pre-heating of the sheet, and then forming it against a die using a hot gas at a high-pressure rate [9].
Figure 4 displays a schematic diagram of the various steps of the blow forming for aluminum bottle manufacturing. Similar to the impact extrusion, discs are punched or cut from the sheet (3xxx series aluminum alloys). The sheet thickness range is between 0.015 and 0.025 inches, and the disc diameter falls into a range of 6–10 inches, depending on the format size of the final bottle product. Then, the discs are drawn into a cup using a deep drawing process. The cup diameter is rather higher than that of the final bottle product. Accordingly, the redrawing process is utilized to reduce the cup diameter and increase the cup length. This could be conducted by drawing the cup base from inside using the similar cup forming tools. Having been redrawn to the final diameter, the cups would be subjected to ironing, stretching the cups. Therefore, it reduces the wall thickness and increases the length of the cups to achieve those of the final product. Then, they are subjected to doming process. The diameter, length, and wall thickness of the final product are assumed to be 2–3.5, 10–12.5, and 0.006–0.020 inches, respectively. To increase the formability of the bottle for the further deformation, it is recommended that the deformed materials might be exposed to the partial or full annealing process at temperature of 100–400 °C at a holding time from 1 min to 3 h in this step. It is said that the annealing process might be performed locally to a specific part of the bottle such as neck, body, or base. The annealing might be applied at the different steps of bottle manufacturing [9].
The blow forming of the materials could be carried out at the room temperature or at 200–300 °C. Accordingly, the deformed materials are pre-heated to the temperature of 200–300 °C and are then placed into the mold cavity to conduct the blow forming (Figure 4A). The mold cavity might consist of two or more mating segments, which are separable to simplify ejecting the formed container. The mold cavity might be subjected to the pre-heating at temperature of 200–300 °C. The mold apparatus consists of a split mold, a backing ram in the bottom, and a seal section at the top (Figure 4). The pre-heating process ought to be performed at all apparatus including the backing ram (215–335 °C) and the seal section (180–320 °C). The temperature gradient could be carefully controlled such that the temperature difference between the top and bottom of the mold cavity is 5–10 °C. In the beginning of the blow forming, the materials are placed in the mold cavity and surrounded by a backing ram from the bottom and seal section from the top (Figure 4A). An axial load by the backing ram applies on the materials from the bottom (Figure 4B). The axial load is in the range of 100–250 lb/ft2. The purpose of the axial load is to prevent the material deformation in the axial direction, and it does not provide any deformation on the thickness reduction. The backing ram remains stationary when it contacts the bottle dome while forming process [9].
When the forming temperature is reached and the axial load achieves the preset value, the high-pressure inert gas (such as nitrogen) is applied on the deformed cups to form it against the mold (Figure 4C,D). The inert gas is injected in the material until the mold is filled. The bottle diameter increases by 40% during the blow forming process. The bottles would be characterized by 2–3 inches in diameter, 10–12.5 inches in height, 0.006–0.020 inches in wall thickness, and 0.4–1 inches in dome depth [9].
This method possesses some advantages over the impact extrusion. This method has a higher production rate compared to the impact extrusion, making it more economical. The whole blow forming operation to produce the bottle takes 5 s. Moreover, the higher recycled aluminum levels could be used in the Al bottle production via this method. The large deformation degree is required in the impact extrusion, limiting the variety of the aluminum alloy in terms of the chemical composition. The 1xxx aluminum alloys are easily impact extruded due to their excellent formability at the room temperature while the cold impact extrusion of the recycled 3xxx aluminum alloys is challenging. However, the high-speed blow forming could lead to the Al bottle manufacturing with up to 50–100% recycled content of the 3xxx series aluminum can body alloys. Concerning the alloy composition, the standard AA3104 can body stock alloys might be used in the aluminum bottle manufacturing. Apart from this alloy, it is said that AA3003, AA3004, AA3105, and AA3204 could also be utilized in the aluminum bottle manufacturing using the high-speed blow forming process [9].

3.3. Through Cup Drawing and Necking

This method offers reducing the plastic-deformation steps and the material content use in the manufacturing of the aluminum bottle. The production cost of aluminum containers can exceed what is considered ideal. The factors impacting costs include the aluminum quantity used per container and the number of the plastic deformation process in aluminum container production. If the materials severely deformed, it would cause the cracking. This issue could be intensified if the aluminum bottle design is complex. The plastic deformation in the bottle manufacturing is more challenging than the can manufacturing because the bottles undergo the higher aspect ratio (height-to-diameter ratio). The frustoconical necks involve more than 15% of the container height. Therefore, more work hardening and plastic deformation is required to produce the containers with large aspect ratio (e.g., 750 mL) [7].
In this method, first, the sheet materials are prepared through the rolling process. Two types of the materials could be used in this method: pure aluminum and aluminum alloy. The aluminum alloy might contain Mn, Mg, Si, Cu, Zn, and Sn. The exact chemical composition was not mentioned via this method. Then, these are cut or punched into slugs or discs. The height to diameter ratio of the disc is assumed to be less than 1 10 . The disc diameter and height fall into the range of the 2–10 inches (50.8–254 mm) and 0.0120–0.0197 inches (0.3–0.5 mm), respectively. To reduce the material waste, the slugs might be cut in a hexagonal packing to increase the packing efficiency. It is recommended to use the aluminum with a yield strength in the range of 33.1 to 42 ksi to facilitate production of bottle containers with fewer drawing steps (e.g., two steps instead of three) and thinner side-wall thickness [7].
In general, the yield strength, ultimate strength, and elongation should be taken into account in the slugs (discs) to predict if they are able to undergo the plastic deformation to produce the aluminum bottle. The formability becomes more important when the localized work hardening occurs in some parts due to the shape complexity. The decrease in the slug (disc) diameter may lower the stress at the outer circumference of the blank during plastic deformation eventually forming the bottle curl. The bottle curl is susceptible to the cracking during the plastic deformation. The diameter reduction might assist the double drawing process. Therefore, the decrease in disc diameter leads to reductions in the number of the drawing and the side-wall thickness (material usage). It is intended to apply a 40.5% reduction in the first drawing from the disc into cup, then a 40.1% reduction from the cup into the container Depending on the alloy, three drawing steps are also applied on the slugs or discs [7].
To create a larger cup with a thinner wall, the cup can undergo a redrawing process using a redraw die. This redrawing procedure can be executed using an impact extrusion press. The number of redraws depends on the various factors, including the metal thickness, temper, and formability and so on. Then, ironing can be accomplished by pushing the cup through an ironing ring to reduce the side-wall thickness and further increase the container height while keeping the inner diameter constant. The bottom of the ironed cups is domed. The upper edges of the containers could be trimmed, and the containers are either brushed or subjected to exterior abrasion. Then the containers are washed, and the logos are printed on the exterior of the container. Afterwards, the interior of the bottle is coated with a liner (e.g., epoxy) ranging from 2 nm to 1 mm. The liner material might be chosen based on the liquid type. Then, the coating is baked, at most, at 205 °C in multiple steps. Afterward, the lubrification and necking is performed on the drawn containers to form the aluminum bottle neck. The top portion of the neck is trimmed and threaded [7].
An annealing process can be conducted to further enhance the aluminum formability during the drawing, ironing, or necking stages. This annealing step may be carried out within a temperature range of 100 °C to 400 °C and for annealing time from 1 min to 10 h (particularly 3–30 min) [7].
Figure 5 illustrates a cross-sectional representation of the side view at different intermediate stages, including the slug (disc) size, cup size, and bottle size. The slug may be drawn into a cup. The cup may have a diameter of 3.875 inches. The cup may be redrawn into a longer cup, which may have a final interior diameter of the container (~2.323 inches). The wall thickness ranges from approximately 0.00575 to 0.00800 inches in the cylindrical portion. The bottle has an aspect ratio (e.g., ratio between maximum height and maximum width) of more than 2–4. The aspect ratio of the neck height to the height of the cylindrical portion is 0.3–0.6 [7].
The aluminum bottles have diameters ranging from 2 to 2.5 inches. The height of the aluminum bottle falls within the range of 7.48–9.37 inches. The aluminum bottle features a cylindrical section with a wall thickness spanning from 0.00575 to 0.00800 inches. Additionally, the weight of the aluminum bottle varies from 24 to 27 g [7].
The drawback of this method is that this method is to produce the aluminum bottles with dimensions similar to a beer bottle. However, the intention to produce the aluminum bottle is for a 750 mL wine bottle [7].

3.4. Large Format Aluminum Bottles (750 mL)

In the commercial market, aluminum bottles are typically offered in sizes ranging from 12 oz (354 mL) to 16 oz (414 mL). Currently, there are no large-format aluminum bottles made from virgin or high-recycled content 3xxx series aluminum alloys available in the market. Traditionally, the majority of aluminum bottles are produced using an impact extrusion process with 1xxx series aluminum alloys. The impact extrusion method is characterized by low productivity and high costs, thereby restricting the large-scale production of aluminum bottles [15].
Large-format aluminum bottles (up to 750 mL) can be manufactured using a high-speed drawing and ironing (DWI) process. For these large aluminum bottles, conventional 3xxx series can body stock with a high recycled content (at least 90%) is utilized. Additionally, other alloys such as AA3104, AA3003, AA3004, AA3105, and AA3204 may be employed in the production of large-format aluminum bottles. The process may involve creating a bottle preform through redrawing, followed by drawing and ironing, and finally, doming a cup [15].
The 3xxx series aluminum sheet is used to create a disk, which is then immediately drawn into a cup. During the blanking and cupping process, an outer cutting tool initially shapes the aluminum sheet into a disk with a diameter ranging from approximately 7 to 10 inches, ensuring enough material for large-format aluminum bottles. Once the disk is cut, an inner cup-forming tool promptly draws the disk to shape it into a cup with a relatively large diameter. Consequently, it may need further resizing to a smaller diameter to facilitate subsequent operations. The resizing of the cup is achieved through a redraw process [15].
In the direct redraw process, a cup is drawn from inside a cup base using similar cup-forming tools to reduce its diameter and shift the material, resulting in a redrawn cup with an increased cup wall height (Figure 6a). Another type of redraw process is known as the reverse redraw process (Figure 6b). In this method, the cup is drawn from the bottom of the original cup, and the metal is folded in the opposite direction to produce a redrawn cup with a taller cup wall. In the DWI process, the redrawn cup is initially drawn to achieve the final bottle preform diameter. An ironing tool then elongates and thins the cup wall to achieve the desired final preform wall thickness and length. Then, a dome with a specific dome profile can be shaped through a doming operation. The final bottle preform typically has a diameter ranging from approximately 2.5 to 3.0 inches and a height of about 10.0 to 12.5 inches. The wall thickness of the bottle preform can vary between approximately 0.006 and 0.020 inches [15].
During the preform-forming process, an optional annealing step can be carried out to further enhance the metal formability. This annealing is conducted at temperatures ranging from 100 °C to 400 °C for a duration of approximately 1 min to 3 h. The annealing can be performed either during the production of the aluminum sheet or within one or more steps of preform production. Localized annealing of a specific section of the preform can be achieved through direct flame heating or electromagnetic induction heating. The mechanical shaping process of the bottle involves die-necking of the cup. In the die-necking process, the bottle cup undergoes shaping in multiple stages using a series of necking dies. These dies are applied to the cup from above in an axial direction. Another method of bottle shaping is the single-stage and multi-stage pneumatic blow forming. In this blow forming process, the cup is placed into a mold with a cavity that mirrors the desired bottle shape. The open end of the preform is sealed, and the preform is pressurized using compressed air or gas. This causes the cup to expand, filling the mold cavity and adopting its shape. Subsequently, the threaded portion can be formed using a rotating eccentric thread shaper equipped with both internal and external tool arrangements [15].

4. Case Study through Backward Impact Extrusion

Table 6 displays the container dimensional features after extrusion for 1070, with 3104-20%, 3104-40%, and 3104-60% alloys. These containers tolerate the burst pressure of at least 23 bar. It should be noted that the use of the recycled Al materials allows to fabricate the thin wall container with the lighter weight compared to the commercially pure aluminum. The thin wall container from the recycled materials provide similar properties of the thick wall container from the commercial pure aluminum [4].
Table 7 displays the mechanical properties of the 1070, with 3104-20%, 3104-40%, and 3104-60% alloys. The materials with the lower thickness were subjected to more cold rolling deformation, meaning that they possess more strain hardening. Therefore, before annealing, the hardness values of the thinner materials is higher than the thicker ones. However, it seems that the annealing causes softening and full recrystallization, and the strength/hardness significantly reduced. The tensile properties in Table 7 are for the materials after annealing treatment. Therefore, the strength/hardness values for the materials with the various thickness would be similar (Table 7) [4].
The strength/hardness/burst pressure values of the alloyed materials are higher than the commercially pure aluminum (AA1070), ascribing to more alloying elements [4].
It should be noted that the cold backward impact extrusion requires materials with a higher formability. On the other hand, the cold rolling reduces the formability. Accordingly, the cold backward impact extrusion of the cold-rolled materials causes the material rupture. Therefore, the annealing before the cold backward extrusion plays a crucial role in the new alloys containing recycled aluminum materials to have the equiaxed grains and increase the formability for the following impact extrusion.

5. Microstructure and Mechanical Evolution in Thermomechanical Treatment

5.1. AA1xxx Series Aluminum Alloys

The conventional material employed in the production of aluminum bottles is the 1xxx series aluminum alloys. Additionally, this alloy is utilized for packaging in the form of the foil and strip. The 1xxx series aluminum alloys are recognized as commercial purity aluminum, ranging from the basic 1100 (with a minimum of 99.00% Al) to the grades 1050/1350 (with a minimum of 99.50% Al) and 1175 (with a minimum of 99.75% Al). The wrought 1xxx series aluminum alloys can be hardened by strain and offer outstanding formability, corrosion resistance, as well as thermal and electrical conductivity [16,17,18].

5.1.1. Microstructure of AA1xxx Series Aluminum Alloys

The 1xxx series alloys consist of a minimum of 99.0% aluminum, with iron and silicon serving as the primary alloying elements or impurities. Given that the maximum solid solubility of iron (Fe) in aluminum is quite low (~0.05 wt.% at 650 °C), most of the iron combines with both aluminum and silicon to create secondary intermetallic phases. In comparison to iron, silicon (Si) has a higher solid solubility in aluminum, reaching up to 1.6 wt.% at 577 °C. Therefore, low levels of silicon (0.1–0.2%) can readily dissolve in the aluminum matrix. The content of iron, silicon, cooling rate, and other impurities influence the type of constituent particles that form during solidification and casting. The nature, size, and distribution of the iron-intermetallic phases significantly impact the alloy properties, including strength, ductility, hot workability, corrosion resistance, and creep resistance. Moreover, the level of solid solution plays a crucial role in determining the softening characteristics of the alloy [19].

5.1.2. Effect of Alloying Elements on Hot Deformation Behavior in 1xxx Al Alloys

The thermomechanical treatment is one of the main steps in the preparation of the slug/blank, as detailed in Section 2. This section will discuss the microstructural and mechanical changes that occur in 1xxx Al alloys during thermomechanical processing. The high-temperature behavior of Al alloys is complicated, particularly during the hot rolling process in aluminum bottle manufacturing. Both work hardening and dynamic softening are significantly influenced by various factors, including chemical composition. It has been reported that commercial 1xxx aluminum alloys demonstrate higher strength and work hardening compared to high-purity aluminum, attributed to the presence of Fe and Si. Furthermore, it is suggested that dynamic recrystallization (DRX) did not occur in commercially pure aluminum (1xxx alloys), with dynamic recovery (DRV) being the sole restoration mechanism during hot deformation under the specific condition explained in Ref. [18].
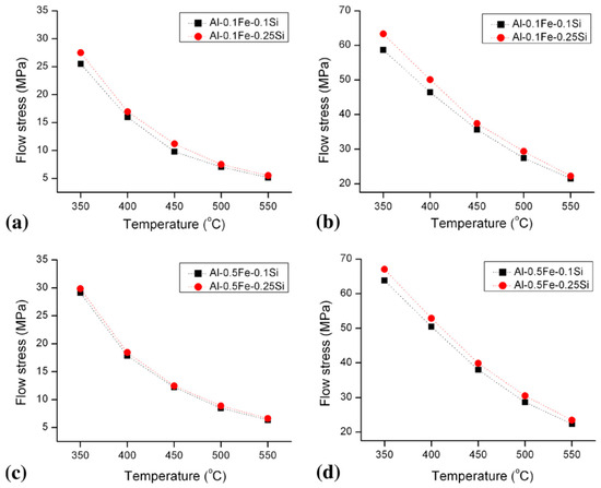
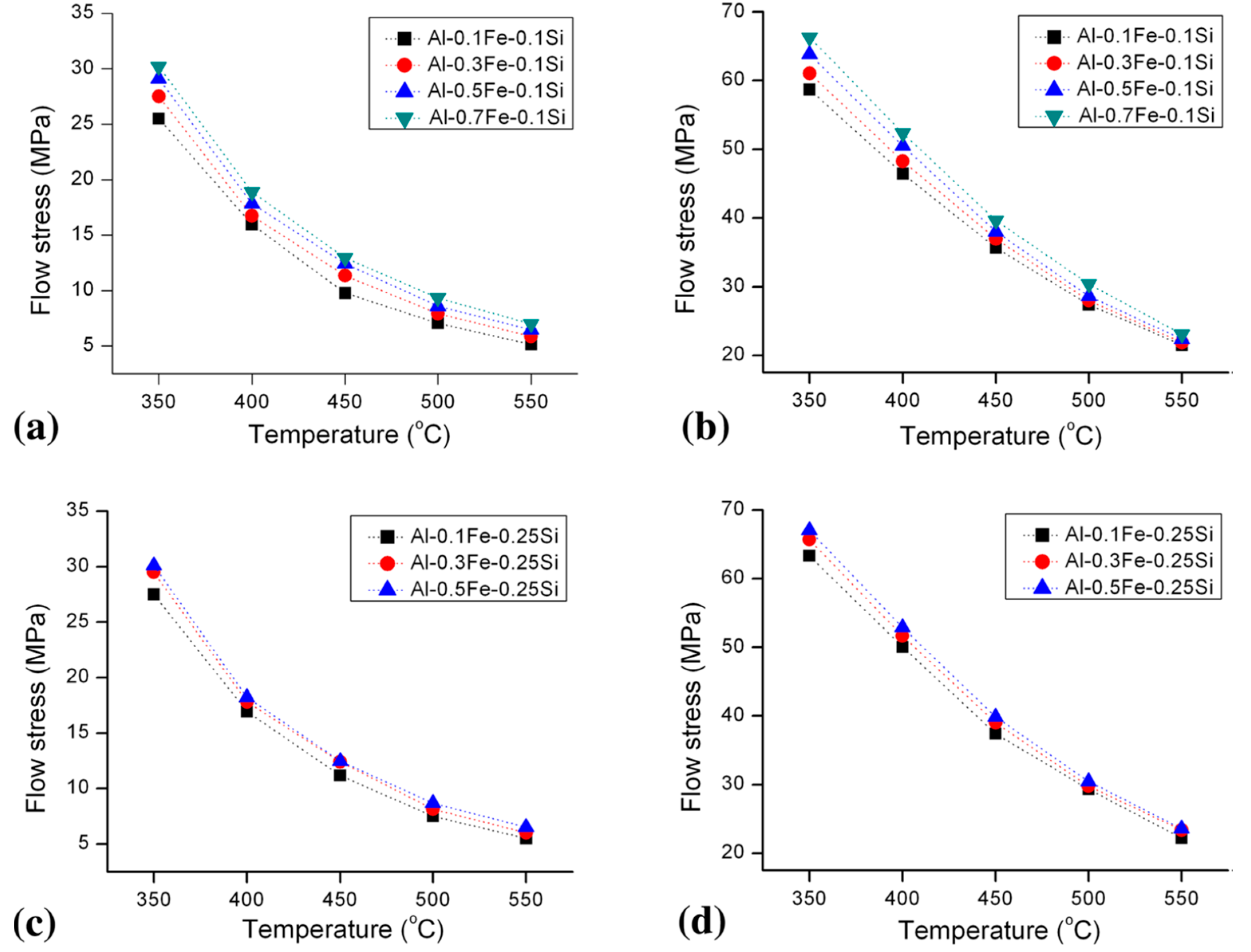
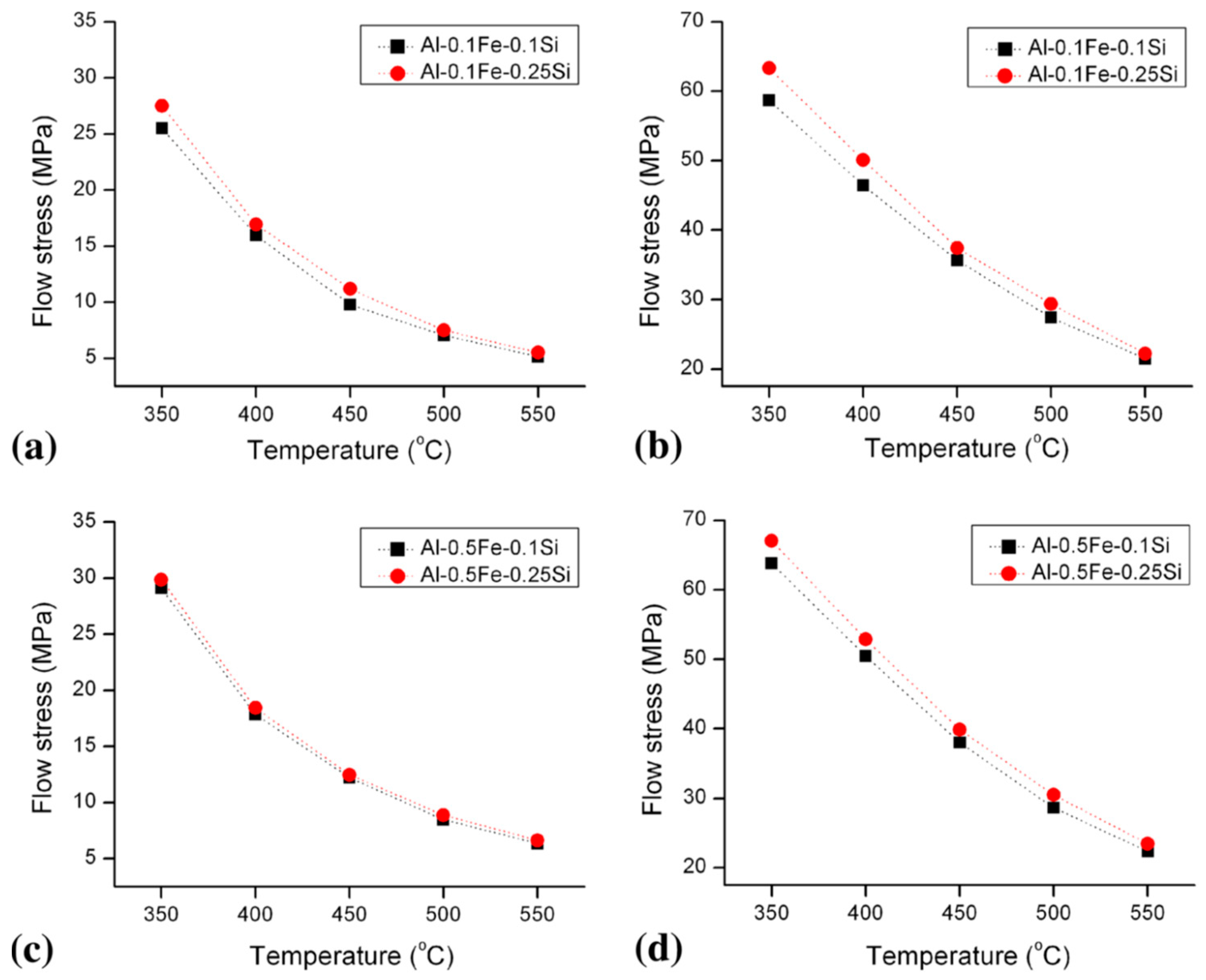
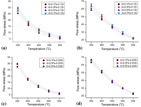
Shakiba et al. [18] Investigated the impact of Fe and Si content on the hot compressive deformation behavior of dilute Al-Fe-Si alloys. First, the cast ingots of these alloys underwent homogenization at 550 °C for 6 h, followed by water quenching at room temperature. Subsequently, thermomechanical testing was conducted at strain rates of 0.01, 0.1, 1, and 10 s−1 and temperatures of 350, 400, 450, 500, and 550 °C. Figure 7 and Figure 8 illustrate the influence of Fe and Si levels on the flow stress at a strain of 0.8 for all alloys at two extreme strain rates (0.01 and 10 s−1), respectively. Increasing the Fe content raised the flow stress under all deformation conditions (Figure 7), with its effect being more pronounced at lower Si levels (0.1%). For instance, in the low Si series alloys (Al-Fe-0.1Si), at a specific deformation condition (350 °C and 0.1 s−1), increasing the iron content from 0.1% to 0.3% and 0.5% raised the flow stress from 34.9 to 38.3 and 40.2 MPa, respectively. In the high Si series alloys (Al-Fe-0.25Si), raising the Fe content from 0.1% to 0.3% and 0.5% increased the flow stress from 39.5 to 42.1 and 42.8 MPa, respectively. Generally, for the low Si alloys, increasing the iron content from 0.1% to 0.5% resulted in a flow stress increase of 7% to 26% across the studied deformation conditions. However, for the high Si series alloys, the flow stress increased by only 4% to 16% when the iron content was raised from 0.1% to 0.5%. As depicted in Figure 8, the addition of Si also elevates the flow stress of dilute Al-Fe-Si alloys. Increasing the silicon content from 0.1% to 0.25% in the Al-0.1Fe and Al-0.5Fe alloys increased the flow stress by 4% to 14% and 2% to 8%, respectively, across the applied deformation conditions. The findings suggest that the influence of Si content was more pronounced at lower Fe levels. It seems that the impact of each alloy addition was more significant when the concentration of the other element was minimal [18].
Due to the very low solid solubility of iron in aluminum (maximum 0.05% at 650 °C), most of the iron combines with both aluminum and silicon to create secondary Fe-rich intermetallic phases. These Fe-rich intermetallic particles are mainly distributed along the dendrite cell boundaries. In the homogenized microstructure, the predominant phase in the low Si series alloys was Al3Fe, whereas in the high Si series alloys, the primary phase was α-AlFeSi. As the Fe content rises, the quantity of Fe-rich intermetallic particles also increases. Similarly, increasing the Si content enhances both the number of constituent particles and the solute atoms concurrently [18].
To examine the influence of Fe and Si content on the microstructural evolution of 1xxx alloys, a consistent deformation condition (500 °C and 0.01 s−1) was chosen for comparing different alloys. In hot-worked aluminum alloys, the initial grain boundaries are typically characterized by high-angle boundaries (>15°), while low-angle boundaries (1–5°) and medium-angle boundaries (5–15°) form subgrain structures. Figure 9 presents the orientation imaging maps of the deformed samples with varying Fe and Si contents. The effect of Fe on the subgrain structure is evident in Figure 9a,b as the Fe content increased from 0.3% to 0.5%. Generally, these samples exhibited a similar deformed microstructure, in which only dynamic recovery (DRV) occurred during hot deformation. However, the levels of DRV in these samples differed with the Fe contents. At a constant Si content, both the average misorientation angle of the boundaries and the subgrain size decreased progressively with increasing Fe contents. However, the high-Si alloys showed finer subgrain structures compared to the low-Si alloys. With the same Fe content, a higher Si level resulted in a reduced mean misorientation angle and smaller subgrain size. The findings suggest a decreased level of DRV as the Si content rises [18].
In summary, the microstructural analysis indicates that dynamic recovery (DRV) was the primary softening mechanism for 1xxx alloys during hot deformation. An increase in Fe and Si content hinders the DRV process, leading to a reduction in subgrain size and the mean misorientation angle of the boundaries.
The hot deformation behavior of dilute Al–Fe–Si alloys with varying amounts of Mn (0.1–0.2 wt.%) and Cu (0.05–0.31 wt.%) was studied through hot compression tests conducted at different deformation temperatures (400–550 °C) and strain rates (0.01–10 s−1). Both Mn and Cu, when in solid solution, significantly affect the hot workability of dilute Al–Fe–Si alloys. Manganese demonstrates a more potent strengthening effect compared to Cu. Dynamic recovery was identified as the only softening mechanism during the hot deformation of all alloys containing Mn and Cu. The incorporation of Mn and Cu slows down the dynamic recovery process and reduces the subgrain size and mean misorientation angle of the grain boundaries [17].

5.2. AA3xxx Series Aluminum Alloys

The recycled aluminum alloys from UBC bring alloying elements like Mn, Fe, Mg and Si. These alloying elements could change the material characteristics such as formability. As the material strength enhances with adding the alloying elements, their ductility decreases. Therefore, these alloying elements could negatively affect the material formability in the impact extrusion. The cold backward impact extrusion in one-step deformation could also intensify the negative impact of the alloying elements on the material formability. Therefore, maximizing the usage of the recycled aluminum alloys in aluminum bottle manufacturing is a challenge to ensure the formability during the backward impact extrusion. It is said that the annealing treatment after the cold rolling might enhance the formability for the following impact extrusion, leading to the microstructure change. Moreover, a series of the thermomechanical treatment before the annealing treatment varies the microstructure [3,4].
The ultimate properties of rolled aluminum alloy sheets containing particles in the AA3xxx series are determined by a series of consecutive and simultaneous metallurgical reactions occurring during thermomechanical and annealing processes. Achieving optimized microstructures and mechanical properties is possible when a comprehensive understanding of all phenomena in the thermomechanical processes is attained. It has been known that the dispersoids play a crucial role in the recrystallization of deformed aluminum alloys. However, the size and distribution of the dispersoids are among the important factors affecting the microstructure evolution during thermo-mechanical processing [20]. Accordingly, the first part would address the condition for the dispersoid formation in the AA3xxx series Al alloy, considering the chemical composition and rolling-affected microstructure. Then, the interaction of these dispersoids with the microstructure (grain structure) during the back-annealing treatment is discussed.

5.2.1. Homogenization

Concerning the high-thickness slugs, the slugs could be prepared from the casting, punching, and annealing before the impact extrusion. However regarding low-thickness slugs, the slugs prior to the impact extrusion are prepared from the hot rolling, cold rolling, punching, and annealing. On the other hand, the introduction of the alloying elements such as Mn, Mg, Si, and Fe is inevitable when the UBC are used from the recycled materials.
In this section, first, the dispersoid formation during the homogenization treatment is discussed. The homogenization target was the formation of the dense dispersoid, which could be formed after the casting or after the cold rolling. This treatment can be carefully controlled to yield the dense fine dispersoids [5,12]. Then the impact of the different factors such as alloying elements (e.g., Mn and Mg) and dislocations on the dispersoid evolution is addressed.
The One-Step and Two-Step Homogenization
While 3xxx alloys are typically designated as non-heat-treatable alloys, recent findings have revealed a potent dispersoid strengthening that can be achieved by employing an appropriate heat treatment [5]. The maximum solid solubility of Mn in the aluminum matrix is 1.82 wt.%. The maximum solubility of Mn 3xxx series alloys reduce with Fe addition, forming the primary Al6Mn particles during the casting process. The Al6Mn particles adversely affect the aluminum ductility. Besides, Due to the limited solubility of Mn and Fe in Al, these can potentially precipitate as finely distributed dispersoids when subjected to homogenization processes. It was reported that the homogenization of AA3104 alloy before hot rolling could significantly affect the microstructure [12]. Therefore, the size and number density of pre-existing dispersoids can be altered by different homogenization conditions [20]. A supersaturated solid solution of Mn and Si in the aluminum matrix was expected in 3xxx aluminum alloys due to the non-equilibrium solidification, which precipitate into the dispersoid formation (α-Al(MnFe)Si) during the subsequent heat treatment [5].
In the one-step heat treatment, the samples underwent heating with a consistent heating rate of 5 K/min from room temperature to the target temperature (648 K or 375 °C). Then, the samples were held at for various holding times (0–72 h), followed by quenching in water. In the two-step heat treatment, the samples were initially subjected to the temperature of 523 K (250 °C) for 12 h, followed by quenching. Subsequently, they were exposed to the temperature of 648 K (375 °C) for 24 h, followed quenching [5].
As we aimed to use UBC to some extent, the Mg presence in the materials for the Al bottle manufacturing was expected. Therefore, the effect of the one-step and two-step homogenization on the dispersoid formation would be valuable to study for the Mg-containing 3xxx series Al alloys. It is reported that the intermetallics were identified as Al6(Mn,Fe) and the dispersoids were characterized as α-Al(MnFe)Si phases [5,21]. It is worth mentioning that the two-step homogenization is effective in the dispersoid formation when Mg is added in the 3xxx aluminum alloys, which is discussed in the upcoming sections (Table 8). Based on Table 8, the selection of the right two-step homogenization (250 °C/12 h+375 °C/24 h) could result in a rather higher number density of the fine dispersoids with smaller DFZ in the Mg-containing 3xxx aluminum alloy compared to the one-step homogenization (375 °C/24 h). It should be noted that the dispersoid zones are identified inside aluminum cells and grains, while the DFZs are characterized in the interdendrite regions in the vicinity of the Mn-containing intermetallic particles [5]. Regarding the two-step homogenization, it is stated that the first part of the heat treatment (250 °C-12 h) is efficient to increase the dispersoid number density, reflecting the formation of β’-MgSi precipitates at this temperature. It means that β’ phases are more efficient on promoting the dispersoid formation [5].
Impact of the Alloying Elements on the Dispersoid Formations
(1)
The Various Mn Contents
More recycled aluminum content leads to an increase in Mn levels in the Al bottle alloys [3,4]. Moreover, the manganese is the principal alloying elements for the dispersoid formation. Therefore, the various Mn levels could lead to a different promotion the dispersoid formation. To evaluate the impact of the Mn levels on the dispersoid evolution, two 3xxx series aluminum alloys (Al-0.15Si-0.53Fe-XMn) with various Mn (0.39 and 0.97 wt.%) were chosen (high-Mn and low-Mn alloys). The homogenization consists of heating the samples at a rate of 50 °C/h to 450 °C and were then kept at this temperature for 4 h, followed by quenching. Quantitative data of the dispersoids and particles, including their number densities and sizes, are provided in Table 9. In the as-cast states, there were no pre-existing dispersoids in both alloys. Regardless of the sample conditions, the constituent particles were larger and more densely distributed in high-Mn 3xxx series Al alloys compared to the low-Mn 3xxx series Al alloys. In addition, the high-Mn alloys exhibited numerous dispersoids after homogenization relative to the low-Mn alloys (Table 9) [20].
(2)
Mg/Si impact
The α-Al(MnFe)Si dispersoids do not contain Mg. However, the role of magnesium on promoting the α-Al(MnFe)Si dispersoids should be investigated during the heating cycle. Zhen Li et al. [5] investigated the effect of Magnesium on the evolution of the dispersoid formation in 3xxx series aluminum alloys. Although the added Mg content (~1 wt.%) was beyond the expected addition one in the aluminum bottle manufacturing, it was worthwhile to investigate the role of Mg on the dispersoid formation. In the 3xxx aluminum alloy, only a few numbers of dispersoids formed in the vicinity of intermetallic particles, resulting in large dispersoid-free zone (DFZ) (Table 8). However, the Mg addition led to a significant increase in the dispersoid number density and a notable decrease in the DFZ fraction (Table 8). It should be noted that the finer dispersoids was yielded with the Mg additions (Table 8). Accordingly, a more uniformly distributed fine dispersoids with a high density number was acquired with the Mg additions in the homogenization of the 3xxx aluminum alloys [5].
Figure 10 displays the TEM micrographs for the various precipitation sequence in Mg-containing 3xxx Al alloy through the one-step homogenization. Apart from the dispersoid formation, the presence of the Mg and Si in the aluminum alloys make them heat treatable (age-hardenable). The precipitation sequence in aluminum alloys containing Mg and Si is commonly described as follows: SSSS → atomic clusters →GP zones→β”→β’→β (equilibrium phase) [22,23,24,25,26,27,28,29]. When the alloy was subjected to heating at 548 K (275 °C), the lath-like β’ precipitates were formed along <001>Al direction (Figure 10a). The α-Al(MnFe)Si dispersoids were not observed at this temperature. With further increase in the temperature to 648 K (375 °C), all of the lath-like β’ precipitates dissolved, leaving the enriched Si regions on the zone of the pre-existing metastable Mg-Si. These localized Si-rich areas served as nucleation sites for the α-Al(MnFe)Si dispersoids. Very few equilibrium Mg2Si particles were found at this stage (Figure 10b). There was still no visible presence of α-Al(MnFe)Si dispersoids at this stage. With increasing the holding time at 375 °C, the α-Al(MnFe)Si dispersoids appeared in the matrix <001>Al direction (Figure 10c). It indicates that the majority of the dispersoids nucleated and grew at the sites where lath-like β’ precipitates dissolved. After 24 h at 375 °C, the preferred precipitation direction of these dispersoids appeared somewhat less obvious due to the dense dispersoids [5].
We aimed to increase the fraction of the recycled aluminum (e.g., UBC) in the bottle manufacturing, leading to an increase in Mg content in the developed 3xxx aluminum alloys. Therefore, the selection of the right homogenization could result in obtaining the Mg benefit on promoting dispersoids and reducing the aluminum bottle weight.
(3)
Dislocations impact on the dispersoid formation
As mentioned in Section 2 (aluminum bottle manufacturing), the aluminum cast would be subjected to the hot rolling, quenching, and cold rolling. Afterward, the annealing treatment would apply to the slugs [3,4]. To obtain the benefit of the dispersoids on inhibiting the recrystallization, on enhancing the strength, and on decreasing the aluminum consumption per bottle, designing an appropriate heat treatment is required. Considering the hot and cold rolling, a large number of dislocations were created in the sheet, affecting the dispersoid formation [5]. In the following, the impact of the dislocations is investigated in the dispersoid formation in 3xxx aluminum alloys.
To generate the higher density number of dislocations, the specimens were subjected to cold compression, resulting in a true strain of 0.2, at a strain rate of 10−3 s−1.
In the deformed samples, the dispersoid zone was subdivided into two distinct regions, namely the dense dispersoid zone and the less dense dispersoid zone. The former was predominantly formed inside the aluminum grain, while the latter was located in the vicinity of the interdendrite region (Mn-containing intermetallic particles). Considering the dense dispersoid zone and the less dense dispersoid zone, it was implied that DFZs were significantly reduced in the deformed samples, and the deformation significantly enhanced the uniformity of the dispersoid distribution. Nevertheless, when comparing the deformed samples to the non-deformed sample under the same heat treatment condition (one-step homogenization), it was evident that the dispersoid size was larger and the number density was lower in the deformed samples. However, it is essential to note that the dispersoid volume fraction in the deformed sample remained nearly identical to that in the non-deformed sample (Table 8) [5].
Figure 11 displays the dispersoid precipitation sequences in the dislocation presence in the deformed alloys. After subjecting the deformed alloy to heating at 275 °C, both β’ precipitates in the [001]Al zone axis and dislocations in [011]Al zone axis were observed (Figure 11a,b). When the deformed alloy was held at 648 K (375 °C), the β’ precipitates were dissolved and numerous dislocations were still present within the aluminum matrix. With further increase in holding time, the dispersoids and dislocations coexisted within the aluminum matrix (Figure 11c). Interestingly, most of the dispersoids precipitated along dislocation lines (Figure 11c). Due to the presence of numerous dislocations, the rapid diffusion of alloying elements weakened the advantage of local Si enrichment resulting from the dissolution of β’ precipitates for α-Al(MnFe)Si dispersoid nucleation [5].
In the as-cast microstructure, Mn depletion zones in the vicinity of the intermetallic particles and aluminum grain boundaries led to DFZ during heat treatment. In the deformed sample, extensive dislocations were formed around intermetallic particles and grain boundaries. These dislocations served as both fast diffusion channels for transporting Mn solutes to the Mn depletion zones and favorable nucleation sites during the heat treatment. This resulted in the formation of the less dense dispersoid zones near the intermetallic particles and grain boundaries in the deformed sample. Consequently, the deformation led to a significant reduction in DFZs and a more uniform dispersoid distribution when compared to the non-deformed sample [5].

5.2.2. Effect of Dispersoids on Microstructure

The grains progressively elongated in the rolling direction as the cold deformation reduction increases. In as-cast condition, the material exhibits an equiaxed grain structure. However, the cold-rolled material exhibits a banded deformation structure, with the majority of high-angle grain boundaries oriented along the rolling direction [6,20]. Moreover, the strength value rose and the ductility decreased with the increasing cold deformation reduction. We aimed to apply the annealing treatment to increase the formability of the slugs and to obtain more equiaxed grains prior to the further deformation process (impact extrusion) [12]. While applying the annealing treatment, the microstructure (e.g., grain structure) would be changed through the recovery and recrystallization phenomena. This section addresses the grain structure variation and the interaction between the dispersoid and the grain boundaries. Prior to discussing the evolution of microstructures in 3xxx series aluminum alloys during heat treatment, it is helpful to first introduce the fundamental microstructural changes that occur in the deformed material during the annealing process.
The Impact of Dispersoid Number Density on Recrystallization
Dispersoids can be formed either through individual homogenization treatments or through dynamic precipitation occurring simultaneously with recrystallization phenomena during the annealing process. Both the pre-existing dispersoids and the intense simultaneous precipitation of the dispersoids during the back-annealing process can significantly impede recrystallization kinetics. This results in the formation of a very coarse grain structure, attributing to the impact of dispersoids [6,20,30].
As explained before, the higher Mn content could promote the precipitate number densities regardless of the homogenization treatment. This could be ascribed to a fact that Mn is a principal alloying element in the dispersoid formation. Here, two different levels of the Mn (0.39 and 0.97wt.%) in Al-0.15Si-0.53Fe-XMn alloys were considered to investigate the impact of the dispersoid number density on the recrystallization. The alloys are the low-Mn and high-Mn 3xxx Al alloys. The homogenization process was already discussed in Section Impact of the Alloying Elements on the Dispersoid Formations (1). These alloys in the as-cast and as-homogenized states (explained in Section Impact of the Alloying Elements on the Dispersoid Formations (1)) were subjected to the cold rolling with a strain of ε = 3.0, followed by the isothermal annealing treatments (300–500 °C). Both high-Mn and low-Mn 3xxx Al alloys underwent full recrystallization within 5 s during annealing at 500 °C regardless of the conditions (as-cast and as-homogenized). At 400 °C, the high-Mn alloy exhibited a slower softening kinetics than the low-Mn alloy in both conditions. This might be ascribed to a higher potential for concurrent precipitation during annealing in the high-Mn alloy. The as-cast samples showed a slower softening kinetics relative to the as-homogenized counterparts at the same temperatures. This could be attributed to the concurrent precipitation of the dispersoids with the recrystallization phenomena [20].
Figure 12 and Figure 13 display the grain microstructures of the cold-rolled Al-0.15Si-0.53Fe-XMn alloys annealed at the different temperatures for 105 s at various conditions. According to the hardness and microstructure results (Figure 12), annealing the cold-rolled as-cast low-Mn and high-Mn 3xxx aluminum alloys at 400 °C and 500 °C for 105 s resulted in fully recrystallized structures. However, the as-cast low-Mn alloy exhibited considerably smaller grain sizes compared to the as-cast high-Mn alloy after annealing at the same temperatures. It suggests that the recrystallization degree in the low-Mn alloy was higher than the high-Mn alloy. The as-cast alloys contained a large level of the solutes (Mn). Accordingly, the high-Mn alloy had a higher potential of the dispersoid formation than the low-Mn alloys. The dense, concurrently precipitated dispersoids in the high-Mn alloy create a stronger pinning effect on grain boundary migration during the annealing treatment. As a consequence, more recrystallization degree was expected in low-Mn alloy, leading to finer recrystallized grains. Therefore, the substantial lower grain size in low-Mn alloy relative to the high-Mn alloy at 400 °C indicates that concurrent precipitation strongly suppresses nucleation activity. With increasing the annealing temperature to 500 °C, the interaction between concurrent precipitation formed during the annealing and recrystallization was mostly reduced, resulting in full recrystallization within 5 s for both as-cast alloys. Accordingly, both alloys showed a much finer recrystallized grain structure. However, the recrystallized grains in the high-Mn alloy were stile rather larger and slightly elongated, indicating some effects of concurrent precipitation at 500 °C for this alloy. It is worth mentioning that the large, elongated grains were formed during annealing at 400 °C for both alloys. It attributes to the fact that the recrystallization process is significantly retarded by the concurrent dispersoid precipitation for both alloys [20].
In contrast to the as-cast samples, both as-homogenized low-Mn and high-Mn samples exhibited fine pre-existing dispersoids before annealing. These pre-existing dispersoids might significantly influence the softening behavior and the final microstructure. Figure 13 displays the EBSD maps showing the microstructure of the as-homogenized low-Mn alloy and high-Mn alloys after annealing at different temperatures for 105 s. The recrystallized grains were elongated along the rolling direction in all as-homogenized samples with the presence of pre-existing dispersoids (Figure 13). These elongated grains were less pronounced at the higher temperature (500 °C), particularly for the low-Mn alloy. Similar to the annealing of cold-rolled as-cast materials, the as-homogenized high-Mn yielded larger recrystallized grain sizes than as-homogenized low-Mn at a given annealing temperatures. Additionally, coarser recrystallized grain structures were observed at the lower annealing temperature of 400 °C, especially in the as-homogenized high-Mn alloy. The slow recrystallization kinetics and the resulting coarse grain structures in the as-homogenized high-Mn alloy can be attributed to two main factors: (a) the substantial presence of fine pre-existing dispersoids; (b) a considerable amount of additional concurrent precipitation especially at 400 °C for the high-Mn alloy. These factors significantly reduce both nucleation and growth of the recrystallization, resulting in recrystallized grain structures in the as-homogenized high-Mn alloy.
When compared to the as-cast low-Mn and high-Mn alloys (Figure 12 and Figure 13), their as-homogenized counterparts exhibited smaller grain sizes after annealing at 400 °C, whereas larger grain sizes were observed after annealing at 500 °C. The finer grain structures in the as-cast alloys at the higher annealing temperature (500 °C) can be explained by the fact that the recrystallization had mostly completed in both as-cast alloys before substantial concurrent precipitation of dispersoids occurred. Therefore, the pre-existing dispersoids in the as-homogenized alloys are more efficient on retarding the recrystallization, yielding less recrystallization and coarser grain structures. In contrast, the concurrent precipitation of fine dispersoids along subgrain boundaries and dislocations in annealing at 400 °C is more efficient in slowing down the recrystallization in the as-cast alloys. The concurrently precipitated fine dispersoids had a more substantial effect on retarding recrystallization compared to the pre-existing dispersoids at the lower annealing temperature (400 °C), leading to more recrystallization in the as-homogenized samples [20].
An isotropic microstructure plays a vital role in improving the formability of materials during impact extrusion by promoting uniform deformation, enhancing ductility, reducing anisotropic effects, and improving surface finish. An isotropic microstructure ensures uniform deformation during the extrusion process. This uniformity prevents localized strain concentrations, reducing the likelihood of defects such as cracks or fractures. Besides, isotropic materials often have enhanced ductility, meaning they can deform more easily without breaking. Furthermore, isotropic materials have similar mechanical properties in different directions, leading to predictable and consistent material behavior during extrusion. Moreover, a uniform deformation provided by an isotropic microstructure can result in a smoother surface finish of the extruded product.
The Impact of Annealing Heating Rate on Recrystallization
As explained in the Al bottle manufacturing through the cold backward impact extrusion, the materials are quenched after hot rolling, probably keeping the solutes in the matrix. Moreover, the annealing treatment could be applied after the cold-rolling process. The annealing treatments could be done in two methods; batch annealing and continuous annealing [3,4]. Therefore, the heating rate in the annealing treatments is considered as an important factor affecting the microstructure. Two phenomena (softening behavior and precipitation) might take place during the heating cycle of the annealing process. The interaction between recrystallization and concurrent precipitation is notably influenced by the heating rate during the annealing process [6].
Huang et al. [6] investigated the microstructure variation of an Al-0.39Mn-0.53Fe-0.15Si alloy prepared by the different homogenization processes during the annealing treatment with various heating rates. Variant A corresponds to the as-cast alloys, while variant B pertains to alloys that underwent a specific homogenization treatment. The homogenization treatment includes initially heating at a rate of 50 °C/h to 600 °C for 4 h, and then cooled at 25 °C/h to 500 °C, holding for 4 h, followed by quenching. The purpose of these distinct heat treatments (variants A and B) is to achieve varying levels of Mn in solid solution and dispersoid density [6].
Figure 14 shows the EBSD micrographs showing the grain structure after annealing at different heating rates to 400 °C and hold for 105 s for variants A and B.
The variant A presents the higher potential for dispersoid precipitation due to the enriched Mn solutes in the matrix. At the low heating rate of 50 °C/h, noticeable precipitation occurred before the initiation of recrystallization in variant A (as-cast). A substantial number of fine dispersoids in variant A (as-cast) can be formed roughly parallel to the RD direction along grain/subgrain boundaries. At the highest heating rate (7.6 × 106 °C/h), no notable precipitation occurred during heating because the time to reach 400 °C was quite short (<2 s). Accordingly, the recrystallization and precipitation simultaneously took place at the highest heating rate.
As the solid solution in variant B (as-homogenized) already contained a low amount of Mn (0.11 wt.%), few dispersoids were formed at both low and high heating rates. Con-sequently, it is expected that recrystallization in variant B occurs more quickly than in variant A (Figure 14) because the dispersoids have a minimal impact on the growth of re-crystallized grains in variant B. The recrystallization behaviour would be discussed for both variants in the following.
As shown in Figure 14, the grain size was reduced with an increase in the heating rate either for variant A or variant B. This could be attributed to fewer recrystallization nucleation at lower temperatures at low heating rates compared to nucleation at 400 °C in case of the high heating rate. Moreover, the dispersoid precipitation precedes the onset of recrystallization at low heating rates, which further inhibits recrystallization nucleation by pinning the subgrain boundaries. Furthermore, static recovery also plays a role in reducing the nucleation rate due to the decreased stored energy at low heating rates before the onset of recrystallization. Accordingly, the higher heating rate showed more impact on promoting the recrystallization of the grains [6].
In variant A (Figure 14a–c), another noteworthy feature of the microstructure is the elongated grain arrangement along the RD direction [6]. This can be attributed to the preferential formation of dispersoids on grain/subgrain boundaries that align with the RD direction. The directional feature of the dispersoid structure exerts significant resistance to the movement of grain boundaries in the normal direction, leading to the formation of elongated grains [6,20]. At the highest heating rate, the microstructure is characterized by less elongated grain structure (Figure 14c), attributing to fewer dispersoids formed during the heating cycle and more recrystallization. In variant B (Figure 14d–f), a similar decreasing trend in grain size was observed with increasing the heating rate. The recrystallization degree of the subgrain was high in variant B (as-homogenized) compared to variant A (as-cast). The concurrent precipitation of the dispersoids led to the higher number density of the dispersoids in variant A relative to variant B. Few dispersoids in variant B resulted in less pinning impact on the subgrain boundaries, yielding more recrystallization degree in variant B. Consequently, a significantly finer recrystallized grain size was achieved in variant B when compared to variant A [6].
Figure 15 displays the stress–strain curves (strain rate of 10−3 s−1) for both variants, annealed at rates from 50 °C/h and 7.6 × 106 °C/h to 400 °C for 105 s. The yield stress values for variant A-50 °C/h, variant A-7.6 × 106 °C/h, variant A-50 °C/h, and variant A-7.6 × 106 °C/h were 49.4, 41.8, 30.8, and 29.7 MPa while the grain sizes were 163, 56, 44, and 16 µm, respectively. Based on the Hall–Petch relationship, the finer grain structure, the higher the strength is, which is in the contradiction with the present results. The higher yield stress at lower heating rates can be attributed to a more significant effect of dispersoid hardening for the same variant, which outweighs the relatively minor reduced grain boundary hardening. The lower heating rate leads to the higher dispersoid number densities. Overall, variant A exhibited consistently higher yield stress compared to variant B, primarily due to the stronger dispersoid strengthening in variant A [6].

5.2.3. Impact of Dispersoids on the Strengthening

The hardness could serve as a suitable indicator to verify the presence of dispersoid precipitation and its corresponding strengthening impact. The hardness measurement results for the 3xxx Al alloy and the Mg-containing 3xxx Al alloy under different heat treatment conditions are displayed in Table 10. Regardless of the heat treatment types, the Mg-containing 3xxx Al alloys exhibited a higher hardness level compared to the one without Mg [5].
After the heat treatment at 375 °C (discussed in Section 5.2.1), no Mg-containing phase was observed in the microstructure, meaning that all Mg left in the matrix. Therefore, the higher hardness in Mg-containing 3xxx Al alloy could be attributed to the Mg solid solution strengthening and the dispersoid strengthening [5]. The presence of 1wt.% Mg in solid solution can lead to an increase from approximately 12 to 13 MPa in the yield strength of aluminum alloys [31], which might equal a 4 HV hardness increment [5,31]. It is evident that the hardness increases (approximately 24 HV) in the Mg-containing 3xxx Al alloy, compared with the 3xxx Al alloy without Mg, are primarily attributed to dispersoid strengthening.
Despite the rather low density number of the dispersoids in the deformed Mg-containing 3xxx Al alloy compared to the counterparts with no deformation (discussed in Section 5.2.1), its hardness level is comparable (64.6 HV) to those [5]. This might be corresponded to more uniformly distributed dispersoids in the deformed samples.
The dispersoids act as obstacles against the motion of dislocation. The dispersoids may have a direct effect on improving the strength of the Al alloys due to the Orowan mechanism. In this case, when a dislocation moves on the slip plane, they bypass particles while leaving dislocation rings surrounding dispersoids [32]. Accordingly, the dislocation rings cause a reduction in the effective distance between the dispersoids, increasing the strength. The increased strength can be estimated by the Orowan mechanism (Equation (1)) [33].
Δ σ dis = 3 G × b L
where G is shear modulus, b is Burgers vector, and L is the average distance between dispersoids [33].
Moreover, the Ashby–Orowan relation (Equation (2)) could be used to calculate a more accurate strengthening effect of the dispersoid. The size and volume fraction of dispersoids are considered in Equation (2) [31,34].
σ dis = 0.84   M G b 2 π λ 1 ν 1 / 2   ln r b
The interspacing of dispersoids (λ) is governed by the radius (r) and the volume fraction of dispersoids (f).
λ = r   ( 2 π 3 f ) 1 / 2
where M is the Talor factor, G is the shear modulus of the Al matrix, b is the Burgers vector, ν is the Poison ratio, λ is the interspacing of dispersoids, r is the average radius of dispersoids, and f is the volume fraction of dispersoids. Based on these equations, the strength is inversely proportional to the interspacing of the dispersoids [31,34].

5.3. The Desired Microstructure and Alloys for The Impact Extrusion

The flow stress, work hardening, and formability are the among important factors in the Al bottle manufacturing to achieve Al bottles with a minimal scrap via the impact extrusion. As the impact extrusion is performed at room temperature, the flow stress depends on the alloying elements (in the form of either solute or dispersoids) and heat treatment (homogenization). Furthermore, the finer microstructure (such as fine equiaxed grains) is the most desirable microstructure to have a higher formability. The finer grains can be achieved during the casting process with the optimized addition of the grain refiners and the optimized thermomechanical treatments. The finer dispersoids could be acquired from the homogenization and hot rolling. It should be noted that the impact extrusion at a higher temperature would bring more formability and lower flow stress, which are appropriate for the impact extrusion.
Here, we discussed why 1xxx Al alloys are typically chosen over 3xxx Al alloys. As the impact extrusion is applied at the room temperature, the flow stress could be taken into account. The lower flow stress is required for the 1xxx aluminum alloys compared to the 3xxx Al alloys because of lower alloying element contents. The lower work hardening is another advantage in the 1xxx Al alloys over the 3xxx Al alloys. As discussed in Section 5.1, the higher alloying element content, the higher the work hardening degree is. The impact extrusion has a high degree of the reduction (above 80%) in a one-step deformation. It means that the formability of the high-alloyed Al materials would be reduced during the one-step impact extrusion, which end up with the rupture. Therefore, the dilute 1xxx Al alloys are good candidates. However, an optimized heat treatment design could help reduce the flow stress and work hardening in the alloyed Al materials such as 3xxx series Al alloys. The effect of the alloying elements in the form of solutes and dispersoids on the flow stress, work hardening, and formability should be considered.
Preparing the slugs via the casting, hot/cold rolling has some advantages over the casting. The hot/cold rolling followed by the annealing might results in a finer microstructure, provided the thermomechanical process is optimized. The finer intermetallics could be yielded from their fragmentation during rolling and spheroidized during the annealing. These are positive impacts on the formability during the impact extrusion. Further, more precise and accurate dimensions (thickness) could be achieved from the rolling process over the casting process. Moreover, the casting defects are inevitable in some alloys at a specific thickness, which could be a stress concentration during the impact extrusion, which ends up with the rupture. However, the as rolled Al alloys have less defects, which is ideal for the impact extrusion.
Concerning the appropriate homogenization in 3xxx Al alloys, the finer dense dispersoids are formed in two-step homogenization. However, it is necessary to consider the flow stress and work hardening in the impact extrusion. Therefore, the optimized homogenization should be selected based on the flow stress, work hardening, and formability to have the Al impact extrusion with less scrap. Therefore, designing the efficient homogenization treatment might decrease the flow stress and increase the material formability. Moreover, it might improve the material strength owing to forming the uniformly distributed fine dispersoids. It may lead to manufacturing the thinner bottle with a lighter weight, which is economically beneficial. It seems that the material formability is directly connected to the annealing temperature and times. The annealing process leads to the solute extraction, reducing the flow stress for the cold backward extrusion. Further, the annealing process causes the recrystallization, increasing the ductility for the further deformation.

6. Summary

The aluminum wine bottle serves as a promising alternative to traditional glass bottles due to its superior recyclability, reduced environmental impact, and advantageous properties like thermal conductivity. In beverage applications, aluminum wine bottles have been paid extensive attention due to consumer appeal and product identification, which has more complex shape and high aspect ratio (height-to-diameter). Having been prepared through the casting, hot/cold rolling, punching, and annealing processes, the materials could be deformed into the bottle through four methods: cold backward impact extrusion, high-speed blow forming, cup drawing and necking, and large format aluminum bottles.
The preference for 1xxx aluminum alloys over 3xxx aluminum alloys in impact extrusion processes at room temperature could be attributed to the lower flow stress, lower work hardening, and higher formability. The choice is driven by the lower flow stress in 1xxx alloys, attributed to their reduced alloying element content. The 1xxx Al alloy has a lower work hardening compared to 3xxx Al alloys. The high reduction levels in impact extrusion, above 80%, pose challenges for high-alloyed aluminum materials, leading to reduced formability and potential rupture. The recommendation is to use dilute 1xxx Al alloys for impact extrusion. However, optimized heat treatment designs can help reduce the flow stress and work hardening in alloyed Al materials, including 3xxx series Al alloys.
In general, the alloys must be soft enough, such as commercial pure aluminum for successful impact extrusion. On the other hand, the usage of the recycled aluminum is suggested for environmental and economic benefits despite challenges in producing flawless containers. Therefore, we aimed to boost the incorporation of recycled alloy material in the production of aluminum bottles. Depending on the process method, the percentage of recycled alloyed material can vary. For instance, the proportion of recycled alloyed material from the 3xxx series Al alloys in cold backward impact extrusion could be elevated by 60%. High-speed blow forming can facilitate the production of aluminum bottles with a recycled alloyed material content ranging from 50 to 100% derived from the 3xxx series aluminum can body alloys. The high-speed drawing and ironing (DWI) process is capable of manufacturing large-format aluminum bottles (up to 750 mL) using a minimum of 90% recycled 3xxx series can body stock. Although each method of the Al bottle manufacturing introduces some levels of the recycled Al materials, the profound understanding of the microstructure evolution in the thermomechanical and annealing process would assist to design appropriate alloys and thermomechanical treatment for successful Al bottle production.
Considering the presence of the alloying elements such as Fe, Mn, and Si in the UBC, the condition for dispersoid formation is favorable. These dispersoids are known to positively affect the recrystallization of the grains. The dispersoid formation could be promoted via a suitable homogenization design (two-step), further Mn addition, and Mg addition. Moreover, the presence of the dislocation leads to the formation of the uniform distribution of the dispersoid.
The precipitation of the dispersoids at the different step of the Al bottle manufacturing results in a various behavior of the recrystallization of the grains. According to the need for the deformation process of the Al bottle manufacturing, a heat treatment could be designed to obtain the maximized benefit of the interaction between dispersoid and grain boundaries. For instance, an isotropic microstructure could be an optimal option for the deformation process (e.g., impact extrusion). Moreover, knowing the microstructure change during the thermos-mechanical process and annealing treatment, it might assist to design the new alloys with a purpose of using more aluminum recycled alloys.

Author Contributions

Conceptualization, S.N.K. and M.J.; validation, S.N.K. and M.J., and A.C.; formal analysis, S.N.K. and M.J.; investigation, S.N.K. and M.J. and A.C.; writing—original draft preparation, S.N.K. and M.J.; writing—review and editing; S.N.K. and M.J., and A.C.; supervision, M.J.; project administration M.J. All authors have read and agreed to the published version of the manuscript.

Funding

This research was funded by the Mitacs Accélération under the Grant No. IT36835.

Data Availability Statement

Data sharing is not applicable to this article as no new data were created in this study.

Acknowledgments

The authors would like to acknowledge the financial support of the Mitacs Accélération, and AluQuebec, under the Grant No. IT36835.

Conflicts of Interest

Author Alain Chapdelaine was employed by AluQuebec. The remaining authors declare that the research was conducted in the absence of any commercial or financial relationships that could be construed as a potential conflict of interest. The authors declare that this study received funding from AluQuebec. The funder was not involved in the study design, collection, analysis, interpretation of data, the writing of this article or the decision to submit it for publication.

References

  1. Bailey, R.T.; Elban, W.L. Thermal performance of aluminum and glass beer bottles. Heat Transf. Eng. 2008, 29, 643–650. [Google Scholar] [CrossRef]
  2. Goltz, N. Aluminum Bottles Are Successful; University of Wisconsin: Madison, MI, USA, 2020. [Google Scholar]
  3. Siles, J.L.; Melancon, S.; Platek, S.M.; Chatey, A. Impact Extruded Containers from Recycled Aluminum Scrap. U.S. Patent 9,663,846, 30 May 2017. [Google Scholar]
  4. Siles, J.L.; Melancon, S.; Platek, S.; Chatey, A. Aluminum Alloy for Impact Extruded Containers and Method of Making the Same. U.S. Patent 11,519,057, 6 December 2022. [Google Scholar]
  5. Li, Z.; Zhang, Z.; Chen, X.G. Effect of metastable Mg2Si and dislocations on α-Al (MnFe) Si Dispersoid Formation in Al-Mn-Mg 3xxx alloys. Metall. Mater. Trans. A 2018, 49, 5799–5814. [Google Scholar] [CrossRef]
  6. Huang, K.; Marthinsen, K. The effect of heating rate on the softening behaviour of a deformed Al–Mn alloy with strong and weak concurrent precipitation. Mater. Charact. 2015, 110, 215–221. [Google Scholar] [CrossRef]
  7. Deuser, B.; Kellerman, S.; Schremmer, M.; Daies, W.; Buschkoetter, C. Reducing Material Usage and Plastic-Deformation Steps in the Manufacture of Aluminum Containers. U.S. Patent Application 17/017,440, 11 March 2021. [Google Scholar]
  8. Raabe, D.; Ponge, D.; Uggowitzer, P.J.; Roscher, M.; Paolantonio, M.; Liu, C.; Pogatscher, S. Making sustainable aluminum by recycling scrap: The science of “dirty” alloys. Prog. Mater. Sci. 2022, 128, 100947. [Google Scholar]
  9. Cutter, C.; Lehman, R.; Mallory, R.W.; Go, J. High-Speed Below Forming Process to Shape Aluminum Containers Using 3xxx Alloys with High Recycle Content. U.S. Patent Application 15/574,371, 10 May 2018. [Google Scholar]
  10. Guan, R.-G.; Tie, D. A review on grain refinement of aluminum alloys: Progresses. Acta Met. Sin. 2017, 30, 409–432. [Google Scholar] [CrossRef]
  11. Chen, Z.; Yan, K. Grain refinement of commercially pure aluminum with addition of Ti and Zr elements based on crystallography orientation. Sci. Rep. 2020, 10, 16591. [Google Scholar] [CrossRef] [PubMed]
  12. Papadopoulou, S.; Gavalas, E.; Vourlakou, C.; Papaefthymiou, S. The influence of second phase particles on texture during rolling of Al 3104. Int. J. Mater. Form. 2022, 15, 70. [Google Scholar] [CrossRef]
  13. Holroyd, N.J.H.; Evans, J.T.; Cudney, R.A. Backward Extrusion Method and Product. U.S. Patent 5,964,117, 12 October 1999. [Google Scholar]
  14. Das, S.K.; Barker, S.W.; Felberbaum, M.; Kamat, R.G.; Bendzinski, D.E.; Wagstaff, R.B.; Wagstaff, S.R. Casting Recycled Aluminum Scrap. U.S. Patent 10,975,461, 13 April 2021. [Google Scholar]
  15. Go, J.; Cheng, G.F.; Warner, J.S.; Jurendic, S. Process to Manufacture Large Format Aluminum Bottles. U.S. Patent Application 15/190,929, 12 January 2017. [Google Scholar]
  16. Shakiba, M.; Parson, N.; Chen, X.-G. Effect of homogenization treatment and silicon content on the microstructure and hot workability of dilute Al–Fe–Si alloys. Mater. Sci. Eng. A 2014, 619, 180–189. [Google Scholar] [CrossRef]
  17. Shakiba, M.; Parson, N.; Chen, X.-G. Hot deformation behavior and rate-controlling mechanism in dilute Al–Fe–Si alloys with minor additions of Mn and Cu. Mater. Sci. Eng. A 2015, 636, 572–581. [Google Scholar] [CrossRef]
  18. Shakiba, M.; Parson, N.; Chen, X.-G. Effect of Iron and Silicon Content on the Hot Compressive Deformation Behavior of Dilute Al-Fe-Si Alloys. J. Mater. Eng. Perform. 2014, 24, 404–415. [Google Scholar] [CrossRef]
  19. Shakiba, M. Effect of Homogenization and Alloying Elements on Hot Deformation Behaviour of 1xxx Series Aluminum Alloys; University of Quebec: Québec, QC, Canada, 2015. [Google Scholar]
  20. Huang, K.; Wang, N.; Li, Y.; Marthinsen, K. The influence of microchemistry on the softening behaviour of two cold-rolled Al–Mn–Fe–Si alloys. Mater. Sci. Eng. A 2014, 601, 86–96. [Google Scholar] [CrossRef]
  21. Liu, K.; Chen, X.-G. Development of Al–Mn–Mg 3004 alloy for applications at elevated temperature via dispersoid strengthening. Mater. Des. 2015, 84, 340–350. [Google Scholar] [CrossRef]
  22. Chrominski, W.; Lewandowska, M. Precipitation strengthening of Al-Mg-Si alloy subjected to multiple accumulative roll bonding combined with a heat treatment. Mater. Des. 2022, 219, 110813. [Google Scholar] [CrossRef]
  23. Jin, H.; Guan, R.; Huang, X.; Fu, Y.; Zhang, J.; Chen, X.; Wang, Y.; Gao, F.; Tie, D. Understanding the precipitation mechanism of copper-bearing phases in Al-Mg-Si system during thermo-mechanical treatment. J. Mater. Sci. Technol. 2022, 96, 226–232. [Google Scholar] [CrossRef]
  24. Buha, J.; Lumley, R.N.; Crosky, A.G.; Hono, K. Secondary precipitation in an Al–Mg–Si–Cu alloy. Acta Mater. 2007, 55, 3015–3024. [Google Scholar] [CrossRef]
  25. Edwards, G.A.; Stiller, K.; Dunlop, G.L.; Couper, M.J. The precipitation sequence in Al–Mg–Si alloys. Acta Mater. 1998, 46, 3893–3904. [Google Scholar] [CrossRef]
  26. Xu, X.; Yang, Z.; Ye, Y.; Wang, G.; He, X. Effects of various Mg/Si ratios on microstructure and performance property of Al-Mg-Si alloy cables. Mater. Charact. 2016, 119, 114–119. [Google Scholar] [CrossRef]
  27. Khangholi, S.N.; Javidani, M.; Maltais, A.; Chen, X.-G. Optimization of mechanical properties and electrical conductivity in Al–Mg–Si 6201 alloys with different Mg/Si ratios. J. Mater. Res. 2020, 35, 2765–2776. [Google Scholar] [CrossRef]
  28. Khangholi, S.N.; Javidani, M.; Maltais, A.; Chen, X.-G. Effects of natural aging and pre-aging on the strength and electrical conductivity in Al-Mg-Si AA6201 conductor alloys. Mater. Sci. Eng. A 2021, 820, 141538. [Google Scholar] [CrossRef]
  29. Khangholi, S.N.; Javidani, M.; Maltais, A.; Chen, X.G. Review on recent progress in Al–Mg–Si 6xxx conductor alloys. J. Mater. Res. 2022, 37, 670–691. [Google Scholar] [CrossRef]
  30. Huang, K.; Zhao, Q.; Li, Y.; Marthinsen, K. Two-stage annealing of a cold-rolled Al–Mn–Fe–Si alloy with different microchemistry states. J. Mater. Process. Technol. 2015, 221, 87–99. [Google Scholar] [CrossRef]
  31. Zhen, L.I.; Zhang, Z. Effect of magnesium on dispersoid strengthening of Al–Mn–Mg–Si (3xxx) alloys. Trans. Nonferrous Met. Soc. China 2016, 26, 2793–2799. [Google Scholar]
  32. Totten, G.E.; MacKenzie, D.S. Handbook of Aluminum; Alloy Production and Materials Manufacturing; Taylor Francis: Abingdon, UK, 2002; Volume 2. [Google Scholar]
  33. Huskins, E.L.; Cao, B.; Ramesh, K.T. Strengthening mechanisms in an Al–Mg alloy. Mater. Sci. Eng. A 2010, 527, 1292–1298. [Google Scholar] [CrossRef]
  34. Muggerud, A.M.F.; Mortsell, E.A.; Li, Y.; Holmestad, R. Dispersoid strengthening in AA3xxx alloys with varying Mn and Si content during annealing at low temperatures. Mater. Sci. Eng. A 2013, 567, 21–28. [Google Scholar] [CrossRef]
Figure 1. An illustration of the Slug/Blank manufacturing process from the from the Al recycle and primary materials [3,4,5].
Figure 1. An illustration of the Slug/Blank manufacturing process from the from the Al recycle and primary materials [3,4,5].
Crystals 14 00434 g001
Figure 2. Thermal cycle of a continuous anneal process [3,4].
Figure 2. Thermal cycle of a continuous anneal process [3,4].
Crystals 14 00434 g002
Figure 3. The manufacturing procedure of the aluminum containers (bottles) from the recycle materials [3,4,5].
Figure 3. The manufacturing procedure of the aluminum containers (bottles) from the recycle materials [3,4,5].
Crystals 14 00434 g003
Figure 4. A scheme of a blow forming process at the different steps (refer to the text for description) [9].
Figure 4. A scheme of a blow forming process at the different steps (refer to the text for description) [9].
Crystals 14 00434 g004
Figure 5. A cross section of the side view of the various intermediate stages; blank (disc) size, cup size, and bottle size [7].
Figure 5. A cross section of the side view of the various intermediate stages; blank (disc) size, cup size, and bottle size [7].
Crystals 14 00434 g005
Figure 6. A schematic representation of (a) direct redraw process and (b) reverse redraw process [15].
Figure 6. A schematic representation of (a) direct redraw process and (b) reverse redraw process [15].
Crystals 14 00434 g006
Figure 7. Impact of Fe on the flow stress with a strain of 0.8 and (a) Al-Fe-0.1Si εº = 0.01 s−1, (b) Al-Fe-0.1Si εº = 10 s−1, (c) Al-Fe-0.25Si εº = 0.01 s−1 and (d) Al-Fe-0.25Si εº = 10 s−1 [18].
Figure 7. Impact of Fe on the flow stress with a strain of 0.8 and (a) Al-Fe-0.1Si εº = 0.01 s−1, (b) Al-Fe-0.1Si εº = 10 s−1, (c) Al-Fe-0.25Si εº = 0.01 s−1 and (d) Al-Fe-0.25Si εº = 10 s−1 [18].
Crystals 14 00434 g007
Figure 8. Impact of Si on the flow stress with a strain of 0.8 and (a) Al-0.1Fe-Si εº = 0.01 s−1, (b) Al-0.1Fe-Si εº = 10 s−1, (c) Al-0.5Fe-Si εº = 0.01 s−1 and (d) Al-0.5Fe-Si εº = 10 s−1 [18].
Figure 8. Impact of Si on the flow stress with a strain of 0.8 and (a) Al-0.1Fe-Si εº = 0.01 s−1, (b) Al-0.1Fe-Si εº = 10 s−1, (c) Al-0.5Fe-Si εº = 0.01 s−1 and (d) Al-0.5Fe-Si εº = 10 s−1 [18].
Crystals 14 00434 g008
Figure 9. Orientation imaging maps of the (a) Al-0.3Fe-0.1Si, (b) Al-0.5Fe-0.1Si, (c) Al-0.1Fe-0.25Si and (d) Al-0.5Fe-0.25Si alloys deformed at 500 °C and 0.01 s−1 [18].
Figure 9. Orientation imaging maps of the (a) Al-0.3Fe-0.1Si, (b) Al-0.5Fe-0.1Si, (c) Al-0.1Fe-0.25Si and (d) Al-0.5Fe-0.25Si alloys deformed at 500 °C and 0.01 s−1 [18].
Crystals 14 00434 g009
Figure 10. The precipitation sequence in Mg-containing 3xxx Al alloy through the one-step homogenization (a) as-heated at 548 K (275 °C), (b) as-heated at 648 K (375 °C) (c) 648 K (375 °C) for 2 h [5].
Figure 10. The precipitation sequence in Mg-containing 3xxx Al alloy through the one-step homogenization (a) as-heated at 548 K (275 °C), (b) as-heated at 648 K (375 °C) (c) 648 K (375 °C) for 2 h [5].
Crystals 14 00434 g010
Figure 11. The dispersoid precipitation sequence in the deformed Mg-containing 3xxx Al alloy through the one-step homogenization (a) heated to 548 K (275 °C) showing dislocations in [011]Al zone axis (b) heated to 548 K (275 °C) showing β’ precipitates in [001]Al zone axis; (c) held at 648 K (375 °C) for 24 h in [011]Al zone axis [5].
Figure 11. The dispersoid precipitation sequence in the deformed Mg-containing 3xxx Al alloy through the one-step homogenization (a) heated to 548 K (275 °C) showing dislocations in [011]Al zone axis (b) heated to 548 K (275 °C) showing β’ precipitates in [001]Al zone axis; (c) held at 648 K (375 °C) for 24 h in [011]Al zone axis [5].
Crystals 14 00434 g011
Figure 12. EBSD maps showing the microstructure of the as-cast low-Mn alloy and high-Mn alloys after annealing at different temperatures for 105 s. (a) the as-cast low-Mn alloy, T = 400 °C, grain size: 56.5 µm; (b) the as-cast low-Mn alloy, T = 500 °C, grain size: 21.0 µm; (c) the as-cast high-Mn alloy, T = 400 °C, grain size: 205.5 µm; (d) the as-cast high-Mn alloy, T = 500 °C, grain size: 29.7 µm [20].
Figure 12. EBSD maps showing the microstructure of the as-cast low-Mn alloy and high-Mn alloys after annealing at different temperatures for 105 s. (a) the as-cast low-Mn alloy, T = 400 °C, grain size: 56.5 µm; (b) the as-cast low-Mn alloy, T = 500 °C, grain size: 21.0 µm; (c) the as-cast high-Mn alloy, T = 400 °C, grain size: 205.5 µm; (d) the as-cast high-Mn alloy, T = 500 °C, grain size: 29.7 µm [20].
Crystals 14 00434 g012
Figure 13. EBSD maps showing the microstructure of the as-homogenized low-Mn alloy and high-Mn alloys after annealing at different temperatures for 105 s. (a) the as-homogenized low-Mn alloy, T = 400 °C, grain size: 24.2 µm; (b) the as-homogenized low-Mn alloy, T = 500 °C, grain size: 23.4 µm; (c) the as-homogenized high-Mn alloy, T = 400 °C, grain size: 115.2 µm; (d) the as-homogenized high-Mn alloy, T = 500 °C, grain size: 43.9 µm [20].
Figure 13. EBSD maps showing the microstructure of the as-homogenized low-Mn alloy and high-Mn alloys after annealing at different temperatures for 105 s. (a) the as-homogenized low-Mn alloy, T = 400 °C, grain size: 24.2 µm; (b) the as-homogenized low-Mn alloy, T = 500 °C, grain size: 23.4 µm; (c) the as-homogenized high-Mn alloy, T = 400 °C, grain size: 115.2 µm; (d) the as-homogenized high-Mn alloy, T = 500 °C, grain size: 43.9 µm [20].
Crystals 14 00434 g013
Figure 14. The EBSD micrographs showing the microstructure after annealing at different heating rates to 400 °C and hold for 105 s for (a) Variant A-50 °C/h; (b) Variant A-200 °C/h; (c) Variant A-7.6 × 106 °C/h; (d) Variant B-50 °C/h; (e) Variant B-200 °C/h; (f) Variant B-7.6 × 106 °C/h [6].
Figure 14. The EBSD micrographs showing the microstructure after annealing at different heating rates to 400 °C and hold for 105 s for (a) Variant A-50 °C/h; (b) Variant A-200 °C/h; (c) Variant A-7.6 × 106 °C/h; (d) Variant B-50 °C/h; (e) Variant B-200 °C/h; (f) Variant B-7.6 × 106 °C/h [6].
Crystals 14 00434 g014
Figure 15. The stress-strain curves (strain rate of 10−3 s−1) for both variants, annealed at rates of 50 °C/h and 7.6 × 106 °C/h to 400 °C for 105 s [6].
Figure 15. The stress-strain curves (strain rate of 10−3 s−1) for both variants, annealed at rates of 50 °C/h and 7.6 × 106 °C/h to 400 °C for 105 s [6].
Crystals 14 00434 g015
Table 1. A chemical composition for 3104, 3004, 3105, 3003, 5182, 1070, 1050, and 1020 aluminum alloys [3,4].
Table 1. A chemical composition for 3104, 3004, 3105, 3003, 5182, 1070, 1050, and 1020 aluminum alloys [3,4].
ElementAA3104AA3004AA3105AA3003AA5182AA1070AA1050P1020
Si0.60.30.60.60.20.20.250.1
Fe0.80.70.70.70.350.250.40.2
Cu0.05–0.250.250.30.05–0.20.150.040.05-
Mn0.8–1.41–1.50.3–0.81–1.50.2–0.50.030.05-
Mg0.8–1.30.8–1.30.2–0.8-4.0–5.00.030.05-
Zn0.250.250.40.10.250.040.050.03
Cr--0.2-0.1---
Ti0.1-0.1-0.1-0.03-
V-----0.050.050.03
Ga0.05------0.04
Sn0.05-------
Impurities (each-total max)0.05–0.150.05–0.150.05–0.150.05–0.150.05–0.150.030.030.03–0.1
AlBal.Bal.Bal.Bal.Bal.Bal.Bal.Bal.
Table 2. A chemical composition of the UBC combining of the 75% of the can body (AA3004) and 25% of the can lid (AA5182).
Table 2. A chemical composition of the UBC combining of the 75% of the can body (AA3004) and 25% of the can lid (AA5182).
ElementUBC
Si0.28
Fe0.61
Cu0.23
Mn1.03
Mg1.88
Zn0.25
Cr0.03
Ti0.03
V0.00
Ga0.00
Sn0.00
Impurities (each-total max)0.05–0.15
AlBal.
Table 3. A chemical composition range of the new alloys composed of 10–60% of 3104, 3105, 3004, 3003, and 3103 recycled alloy. The rest is the pure aluminum (1070) [4].
Table 3. A chemical composition range of the new alloys composed of 10–60% of 3104, 3105, 3004, 3003, and 3103 recycled alloy. The rest is the pure aluminum (1070) [4].
ElementAA3104
10–60%
AA3105
10–60%
AA3004
10–60%
AA3003
10–60%
AA3103
10–60%
Si0.08–0.20.11–0.380.08–0.200.11–0.380.08–0.20
Fe0.22–0.380.24–0.50.23–0.440.24–0.50.23–0.44
Cu0–0.130–0.190–0.190–0.130–0.19
Mn0.11–0.610.04–0.190.04–0.190.16–0.910.04–0.19
Mg0.13–0.730.03–0.130.05–0.250.02–0.040.05–0.25
Zn0.02–0.070.05–0.250.03–0.130.02–0.070.03–0.13
Cr0.02–0.030.03–0.130.02–0.070.02–0.040.02–0.07
Ti0–0.030–0.030–0.030.02–0.040–0.03
Impurities (each)0–0.050–0.050–0.050–0.050–0.05
AlBal.Bal.Bal.Bal.Bal.
Table 4. A chemical composition range of the new alloys composed of 10–60% of 3104, 3105, 3004, 3003, and 3103 recycled alloy. The rest is the pure aluminum (1050) [4].
Table 4. A chemical composition range of the new alloys composed of 10–60% of 3104, 3105, 3004, 3003, and 3103 recycled alloy. The rest is the pure aluminum (1050) [4].
ElementAA3104
10–60%
AA3105
10–60%
AA3004
10–60%
AA3003
10–60%
AA3103
10–60%
Si0.26–0.280.29–0.460.26–0.280.29–0.460.28–0.40
Fe0.41–0.460.43–0.580.42–0.520.43–0.580.43–0.58
Cu0–0.140–0.20–0.20–0.140–0.08
Mn0.15–0.620.08–0.20.08–0.20.20–0.920.2–0.92
Mg0.17–0.740.07–0.140.09–0.260–0.050.08–0.2
Zn0.06–0.080.09–0.260.07–0.140.06–0.080.07–0.14
Cr0.02–0.030.03–0.130.02–0.070.02–0.040.02–0.07
Ti0–0.030–0.030–0.030.04–0.050.04–0.05
Impurities (each)0–0.050–0.050–0.050–0.050–0.05
AlBal.Bal.Bal.Bal.Bal.
Table 5. A chemical composition range of the new alloys composed of 10–60% of 3104, 3105, 3004, 3003, and 3103 recycled alloy. The rest is the pure aluminum (P1020) [4].
Table 5. A chemical composition range of the new alloys composed of 10–60% of 3104, 3105, 3004, 3003, and 3103 recycled alloy. The rest is the pure aluminum (P1020) [4].
ElementAA3104
10–60%
AA3105
10–60%
AA3004
10–60%
AA3003
10–60%
AA3103
10–60%
Si0.26–0.280.29–0.460.26–0.280.29–0.460.28–0.40
Fe0.41–0.460.43–0.580.42–0.520.43–0.580.43–0.58
Cu0–0.140–0.200–0.200–0.140–0.08
Mn0.15–0.620–0.200.08–0.200.02–0.920.20–0.92
Mg0.17–0.740.07–0.140.03–0.260–0.040.08–0.20
Zn0.06–0.080.09–0.260.07–0.140.06–0.080.07–0.14
Cr0.02–0.020.03–0.130.02–0.070.02–0.040.02–0.07
Ti0–0.030–0.030–0.030–0.050–0.05
Impurities (each)0–0.050–0.050–0.050–0.050–0.05
AlBal.Bal.Bal.Bal.Bal.
Table 6. Tube parameters after extrusion for 1070, 3104-20%, 3104-40%, and 3104-60% alloys [4].
Table 6. Tube parameters after extrusion for 1070, 3104-20%, 3104-40%, and 3104-60% alloys [4].
AlloyBottom Thickness (in)Bottom Wall Thickness (in)Top Wall Thickness (in)
10700.0280.0110.014
3104-20%0.0320.0110.014
3104-20%0.0320.0080.011
3104-40%0.0280.0110.013
3104-60%0.0280.0110.0134
3104-60%0.0320.0080.011
Table 7. The mechanical properties of the 1070, 3104-20%, 3104-40%, and 3104-60% alloys [4].
Table 7. The mechanical properties of the 1070, 3104-20%, 3104-40%, and 3104-60% alloys [4].
AlloyThickness
(mm)
Hardness (HB)Tensile PropertiesBurst Pressure (bar)
Before AnnealingAfter AnnealingYS (MPa)UTS (MPa)Elongation (%)
10705.541.219.819.373.156.423
6.5--14.571.758.6
3104-20%5.552.427.127.597.940.228
6.55026.126.997.941.2
3104-40%5.560.633.640117.233.930
6.546.532.340.7117.234.8
3104-60%5.568.83953.1141.330.532
6.56640.454.5140.730
Table 8. Dispersoid and DFZ parameters measured under different conditions [5].
Table 8. Dispersoid and DFZ parameters measured under different conditions [5].
AlloyHeat treatmentArea Fraction of DFZ (%)Equivalent Diameter of Dispersoids (nm)Number Density of Dispersoids (µm−3)Volume Fraction of Dispersoids (%)
3xxx375 °C/24 h7997720.32
3xxx+Mg375 °C/24 h26.45010552.69
3xxx+Mg250 °C/12 h+375 °C/24 h234213262.15
Deformed 3xxx+MgStrain (0.2)+375 °C/24 h772942.58
Table 9. Diameter and number density of particles in high-Mn and low-Mn 3xxx series Al alloys with the various conditions [20].
Table 9. Diameter and number density of particles in high-Mn and low-Mn 3xxx series Al alloys with the various conditions [20].
SamplesConditionConstituent ParticlesDispersoids
Diameter (µm)Number Density (mm−2)Diameter (µm)Number Density (mm−2)
Low-MnAs-cast0.882.8 × 104--
Low-MnAs-homogenized0.962.9 × 1040.0541.3 × 106
High-MnAs-cast0.83.3 × 104--
High-MnAs-homogenized1.02.3 × 1040.1052.8 × 106
Table 10. Microhardness levels of the 3xxx Al alloy and Mg-containing 3xxx Al alloy under different experimental conditions [5].
Table 10. Microhardness levels of the 3xxx Al alloy and Mg-containing 3xxx Al alloy under different experimental conditions [5].
Alloys/ConditionsVickers Hardness (HV)
3xxx/375 °C-24 h38.1
3xxx+Mg/375 °C-24 h62.1
3xxx+Mg/250 °C-12 h+375 °C-24 h65.1
Deformed 3xxx+Mg/375 °C-24 h64.6
Disclaimer/Publisher’s Note: The statements, opinions and data contained in all publications are solely those of the individual author(s) and contributor(s) and not of MDPI and/or the editor(s). MDPI and/or the editor(s) disclaim responsibility for any injury to people or property resulting from any ideas, methods, instructions or products referred to in the content.

Share and Cite

MDPI and ACS Style

Javidani, M.; Nikzad Khangholi, S.; Chapdelaine, A. Processing Techniques and Metallurgical Perspectives and Their Potential Correlation in Aluminum Bottle Manufacturing for Sustainable Packaging Solutions. Crystals 2024, 14, 434. https://doi.org/10.3390/cryst14050434

AMA Style

Javidani M, Nikzad Khangholi S, Chapdelaine A. Processing Techniques and Metallurgical Perspectives and Their Potential Correlation in Aluminum Bottle Manufacturing for Sustainable Packaging Solutions. Crystals. 2024; 14(5):434. https://doi.org/10.3390/cryst14050434

Chicago/Turabian Style

Javidani, Mousa, Siamak Nikzad Khangholi, and Alain Chapdelaine. 2024. "Processing Techniques and Metallurgical Perspectives and Their Potential Correlation in Aluminum Bottle Manufacturing for Sustainable Packaging Solutions" Crystals 14, no. 5: 434. https://doi.org/10.3390/cryst14050434

APA Style

Javidani, M., Nikzad Khangholi, S., & Chapdelaine, A. (2024). Processing Techniques and Metallurgical Perspectives and Their Potential Correlation in Aluminum Bottle Manufacturing for Sustainable Packaging Solutions. Crystals, 14(5), 434. https://doi.org/10.3390/cryst14050434

Note that from the first issue of 2016, this journal uses article numbers instead of page numbers. See further details here.

Article Metrics

Back to TopTop