Quantum Magnetism in Wannier-Obstructed Mott Insulators
Abstract
1. Introduction
2. Theory of Nonorthogonal Basis
2.1. Exchange Interactions and Beyond
2.2. Superexchange Interactions from Perturbation
3. Effective Spin Hamiltonian
4. Constructing Localized Orbitals
5. Application
5.1. Kagome Lattice Model and Wannier Obstructions
5.2. Nonorthogonal Localized Orbitals in Wannier Obstructed Bands
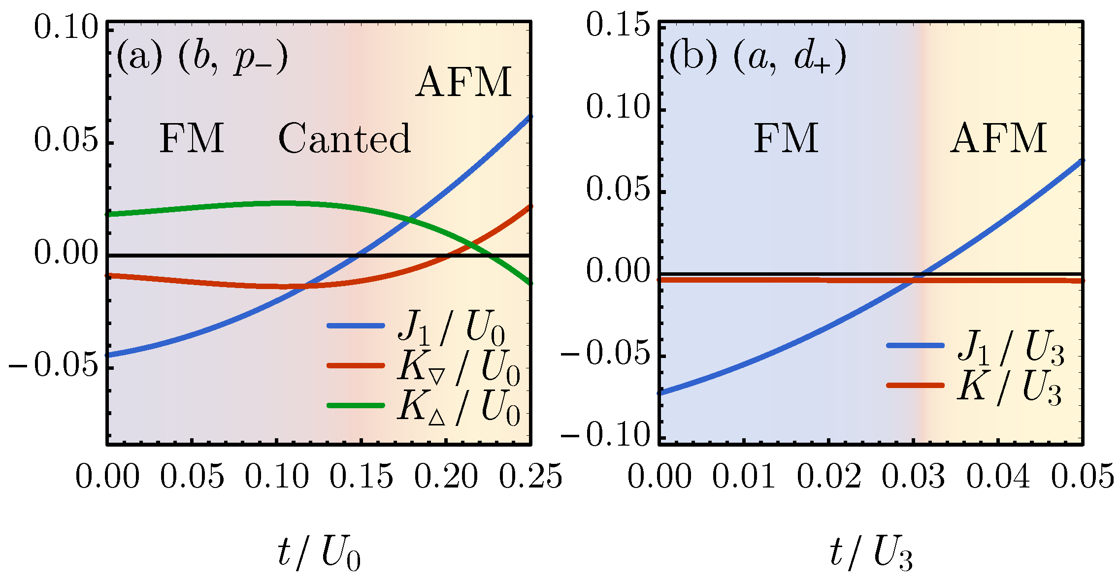
5.3. Effective Spin Models and Possible Phases
6. Conclusions
Author Contributions
Funding
Institutional Review Board Statement
Informed Consent Statement
Data Availability Statement
Acknowledgments
Conflicts of Interest
Abbreviations
| AFM | Antiferromagnetism |
| CSL | Chiral spin liquid |
| DSL | Dirac spin liquid |
| FM | Ferromagnetism |
| GP | Gross–Pitaevskii (equation) |
| hBN | Hexagonal boron nitride |
| tBLG | Twisted bilayer graphene |
| tDBLG | Twisted double bilayer graphene |
Appendix A. Derivation of Perturbation Theory
Appendix B. Effective Spin Hamiltonian and Convergence of Permutations

Appendix C. Exponentially Localized Orbitals for a Chern Band
Appendix D. Symmetry Analysis of Chiral Spin Interactions

Appendix E. Rigorous Statements about Ferromagnetism
Appendix F. Phase Transition and Other Wannier-Obstructed Bands


References
- Cao, Y.; Fatemi, V.; Demir, A.; Fang, S.; Tomarken, S.L.; Luo, J.Y.; Sanchez-Yamagishi, J.D.; Watanabe, K.; Taniguchi, T.; Kaxiras, E.; et al. Correlated insulator behaviour at half-filling in magic-angle graphene superlattices. Nature 2018, 556, 80. [Google Scholar] [CrossRef]
- Cao, Y.; Fatemi, V.; Fang, S.; Watanabe, K.; Taniguchi, T.; Kaxiras, E.; Jarillo-Herrero, P. Unconventional superconductivity in magic-angle graphene superlattices. Nature 2018, 556, 43. [Google Scholar] [CrossRef] [PubMed]
- Sharpe, A.L.; Fox, E.J.; Barnard, A.W.; Finney, J.; Watanabe, K.; Taniguchi, T.; Kastner, M.A.; Goldhaber-Gordon, D. Emergent ferromagnetism near three-quarters filling in twisted bilayer graphene. Science 2019, 365, 605–608. [Google Scholar] [CrossRef] [PubMed]
- Liu, X.; Hao, Z.; Khalaf, E.; Lee, J.Y.; Watanabe, K.; Taniguchi, T.; Vishwanath, A.; Kim, P. Spin-polarized Correlated Insulator and Superconductor in Twisted Double Bilayer Graphene. arXiv 2019, arXiv:1903.08130. [Google Scholar] [CrossRef]
- Shen, C.; Li, N.; Wang, S.; Zhao, Y.; Tang, J.; Liu, J.; Tian, J.; Chu, Y.; Watanabe, K.; Taniguchi, T.; et al. Observation of superconductivity with Tc onset at 12K in electrically tunable twisted double bilayer graphene. arXiv 2019, arXiv:1903.06952. [Google Scholar] [CrossRef]
- Cao, Y.; Rodan-Legrain, D.; Rubies-Bigorda, O.; Park, J.M.; Watanabe, K.; Taniguchi, T.; Jarillo-Herrero, P. Electric Field Tunable Correlated States and Magnetic Phase Transitions in Twisted Bilayer-Bilayer Graphene. arXiv 2019, arXiv:1903.08596. [Google Scholar] [CrossRef]
- Zhou, H.; Xie, T.; Ghazaryan, A.; Holder, T.; Ehrets, J.R.; Spanton, E.M.; Taniguchi, T.; Watanabe, K.; Berg, E.; Serbyn, M.; et al. Half- and quarter-metals in rhombohedral trilayer graphene. Nature 2021, 598, 429–433. [Google Scholar] [CrossRef] [PubMed]
- Han, T.; Lu, Z.; Scuri, G.; Sung, J.; Wang, J.; Han, T.; Watanabe, K.; Taniguchi, T.; Fu, L.; Park, H.; et al. Orbital multiferroicity in pentalayer rhombohedral graphene. Nature 2023, 623, 41–47. [Google Scholar] [CrossRef]
- Anderson, E.; Fan, F.R.; Cai, J.; Holtzmann, W.; Taniguchi, T.; Watanabe, K.; Xiao, D.; Yao, W.; Xu, X. Programming correlated magnetic states with gate-controlled moiré geometry. Science 2023, 381, 325–330. [Google Scholar] [CrossRef]
- Mielke, A. Exact ground states for the Hubbard model on the Kagome lattice. J. Phys. A-Math. Gen. 1992, 25, 4335–4345. [Google Scholar] [CrossRef]
- Mielke, A.; Tasaki, H. Ferromagnetism in the Hubbard model. Commun. Math. Phys. 1993, 158, 341–371. [Google Scholar] [CrossRef]
- Tasaki, H. Stability of ferromagnetism in Hubbard models with nearly flat bands. J. Stat. Phys. 1996, 84, 535–653. [Google Scholar] [CrossRef]
- Tasaki, H. From Nagaoka’s ferromagnetism to flat-band ferromagnetism and beyond—An introduction to ferromagnetism in the Hubbard model. Prog. Theor. Phys. 1998, 99, 489–548. [Google Scholar] [CrossRef]
- Alavirad, Y.; Sau, J.D. Ferromagnetism and its stability from the one-magnon spectrum in twisted bilayer graphene. arXiv 2019, arXiv:1907.13633. [Google Scholar] [CrossRef]
- Bultinck, N.; Chatterjee, S.; Zaletel, M.P. Anomalous Hall ferromagnetism in twisted bilayer graphene. arXiv 2019, arXiv:1901.08110. [Google Scholar] [CrossRef]
- Repellin, C.; Dong, Z.; Zhang, Y.H.; Senthil, T. Ferromagnetism in narrow bands of moiré superlattices. arXiv 2019, arXiv:1907.11723. [Google Scholar] [CrossRef]
- Seo, K.; Kotov, V.N.; Uchoa, B. Ferromagnetic Mott state in Twisted Graphene Bilayers at the Magic Angle. Phys. Rev. Lett. 2019, 122, 246402. [Google Scholar] [CrossRef] [PubMed]
- Wolf, T.M.R.; Lado, J.L.; Blatter, G.; Zilberberg, O. Electrically Tunable Flat Bands and Magnetism in Twisted Bilayer Graphene. Phys. Rev. Lett. 2019, 123, 096802. [Google Scholar] [CrossRef] [PubMed]
- Kang, J.; Vafek, O. Strong Coupling Phases of Partially Filled Twisted Bilayer Graphene Narrow Bands. Phys. Rev. Lett. 2019, 122, 246401. [Google Scholar] [CrossRef]
- Zhang, Y.H.; Senthil, T. Bridging Hubbard model physics and quantum Hall physics in trilayer graphene/h − BN moiré superlattice. Phys. Rev. B 2019, 99, 205150. [Google Scholar] [CrossRef]
- Zhang, Y.H.; Mao, D.; Senthil, T. Twisted bilayer graphene aligned with hexagonal boron nitride: Anomalous Hall effect and a lattice model. Phys. Rev. Res. 2019, 1, 033126. [Google Scholar] [CrossRef]
- Wu, F.; Lovorn, T.; Tutuc, E.; Martin, I.; MacDonald, A.H. Topological Insulators in Twisted Transition Metal Dichalcogenide Homobilayers. Phys. Rev. Lett. 2019, 122, 086402. [Google Scholar] [CrossRef] [PubMed]
- Crépel, V.; Fu, L. Anomalous Hall metal and fractional Chern insulator in twisted transition metal dichalcogenides. Phys. Rev. B 2023, 107, L201109. [Google Scholar] [CrossRef]
- Po, H.C.; Zou, L.; Vishwanath, A.; Senthil, T. Origin of Mott Insulating Behavior and Superconductivity in Twisted Bilayer Graphene. Phys. Rev. X 2018, 8, 031089. [Google Scholar] [CrossRef]
- You, Y.Z.; Vishwanath, A. Superconductivity from valley fluctuations and approximate SO(4) symmetry in a weak coupling theory of twisted bilayer graphene. npj Quantum Mater. 2019, 4, 16. [Google Scholar] [CrossRef]
- Zhang, Y.H.; Mao, D.; Cao, Y.; Jarillo-Herrero, P.; Senthil, T. Nearly flat Chern bands in moiré superlattices. Phys. Rev. B 2019, 99, 075127. [Google Scholar] [CrossRef]
- Lee, J.Y.; Khalaf, E.; Liu, S.; Liu, X.; Hao, Z.; Kim, P.; Vishwanath, A. Theory of correlated insulating behaviour and spin-triplet superconductivity in twisted double bilayer graphene. Nat. Commun. 2019, 10, 5333. [Google Scholar] [CrossRef] [PubMed]
- Xie, M.; MacDonald, A.H. On the nature of the correlated insulator states in twisted bilayer graphene. Phys. Rev. Lett. 2020, 124, 097601. [Google Scholar] [CrossRef]
- Liu, S.; Khalaf, E.; Lee, J.Y.; Vishwanath, A. Nematic topological semimetal and insulator in magic angle bilayer graphene at charge neutrality. Phys. Rev. Res. 2021, 3, 013033. [Google Scholar] [CrossRef]
- Bultinck, N.; Khalaf, E.; Liu, S.; Chatterjee, S.; Vishwanath, A.; Zaletel, M.P. Ground State and Hidden Symmetry of Magic Angle Graphene at Even Integer Filling. arXiv 2019, arXiv:1911.02045. [Google Scholar] [CrossRef]
- Wang, T.; Devakul, T.; Zaletel, M.P.; Fu, L. Topological magnets and magnons in twisted bilayer MoTe2 and WSe2. arXiv 2023, arXiv:2306.02501. [Google Scholar]
- Po, H.C.; Watanabe, H.; Vishwanath, A. Fragile Topology and Wannier Obstructions. Phys. Rev. Lett. 2018, 121, 126402. [Google Scholar] [CrossRef] [PubMed]
- Else, D.V.; Po, H.C.; Watanabe, H. Fragile topological phases in interacting systems. Phys. Rev. B 2019, 99, 125122. [Google Scholar] [CrossRef]
- Kang, J.; Vafek, O. Symmetry, Maximally Localized Wannier States, and a Low-Energy Model for Twisted Bilayer Graphene Narrow Bands. Phys. Rev. X 2018, 8, 031088. [Google Scholar] [CrossRef]
- Yuan, N.F.Q.; Fu, L. Model for the metal-insulator transition in graphene superlattices and beyond. Phys. Rev. B 2018, 98, 045103. [Google Scholar] [CrossRef]
- Po, H.C.; Zou, L.; Senthil, T.; Vishwanath, A. Faithful tight-binding models and fragile topology of magic-angle bilayer graphene. Phys. Rev. B 2019, 99, 195455. [Google Scholar] [CrossRef]
- Zou, L.; Po, H.C.; Vishwanath, A.; Senthil, T. Band structure of twisted bilayer graphene: Emergent symmetries, commensurate approximants, and Wannier obstructions. Phys. Rev. B 2018, 98, 085435. [Google Scholar] [CrossRef]
- Brouder, C.; Panati, G.; Calandra, M.; Mourougane, C.; Marzari, N. Exponential Localization of Wannier Functions in Insulators. Phys. Rev. Lett. 2007, 98, 46402. [Google Scholar] [CrossRef]
- Zaletel, M.P.; Khoo, J.Y. The gate-tunable strong and fragile topology of multilayer-graphene on a transition metal dichalcogenide. arXiv 2019, arXiv:1901.01294. [Google Scholar]
- Song, Z.; Elcoro, L.; Regnault, N.; Bernevig, B.A. Fragile Phases As Affine Monoids: Classification and Material Examples. Phys. Rev. X 2020, 10, 031001. [Google Scholar] [CrossRef]
- Lian, B.; Xie, F.; Bernevig, B.A. The Landau Level of Fragile Topology. arXiv 2018, arXiv:1811.11786. [Google Scholar] [CrossRef]
- Thouless, D.J.; Kohmoto, M.; Nightingale, M.P.; den Nijs, M. Quantized Hall Conductance in a Two-Dimensional Periodic Potential. Phys. Rev. Lett. 1982, 49, 405–408. [Google Scholar] [CrossRef]
- Qi, X.L. Generic Wave-Function Description of Fractional Quantum Anomalous Hall States and Fractional Topological Insulators. Phys. Rev. Lett. 2011, 107, 126803. [Google Scholar] [CrossRef] [PubMed]
- Arovas, D.P.; Berg, E.; Kivelson, S.A.; Raghu, S. The Hubbard Model. Annu. Rev. Condens. Matter Phys. 2022, 13, 239–274. [Google Scholar] [CrossRef]
- Camjayi, A.; Haule, K.; Dobrosavljević, V.; Kotliar, G. Coulomb correlations and the Wigner–Mott transition. Nat. Phys. 2008, 4, 932–935. [Google Scholar] [CrossRef]
- Amaricci, A.; Camjayi, A.; Haule, K.; Kotliar, G.; Tanasković, D.; Dobrosavljević, V. Extended Hubbard model: Charge ordering and Wigner-Mott transition. Phys. Rev. B 2010, 82, 155102. [Google Scholar] [CrossRef]
- Merino, J.; Ralko, A.; Fratini, S. Emergent Heavy Fermion Behavior at the Wigner-Mott Transition. Phys. Rev. Lett. 2013, 111, 126403. [Google Scholar] [CrossRef]
- Huang, L.; Ayral, T.; Biermann, S.; Werner, P. Extended dynamical mean-field study of the Hubbard model with long-range interactions. Phys. Rev. B 2014, 90, 195114. [Google Scholar] [CrossRef]
- Kapcia, K.J.; Robaszkiewicz, S.; Capone, M.; Amaricci, A. Doping-driven metal-insulator transitions and charge orderings in the extended Hubbard model. Phys. Rev. B 2017, 95, 125112. [Google Scholar] [CrossRef]
- Maki, K.; Zotos, X. Static and dynamic properties of a two-dimensional Wigner crystal in a strong magnetic field. Phys. Rev. B 1983, 28, 4349–4356. [Google Scholar] [CrossRef]
- Imai, N.; Ishikawa, K.; Matsuyama, T.; Tanaka, I. Field theory in a strong magnetic field and the quantum Hall effect: Integer Hall effect. Phys. Rev. B 1990, 42, 10610–10640. [Google Scholar] [CrossRef]
- Ishikawa, K.; Maeda, N.; Tadaki, K. Magnetic von Neumann lattice for two-dimensional electrons in a magnetic field. Phys. Rev. B 1995, 51, 5048–5057. [Google Scholar] [CrossRef]
- Ezawa, Z.F.; Hasebe, K. Interlayer exchange interactions, SU(4) soft waves, and skyrmions in bilayer quantum Hall ferromagnets. Phys. Rev. B 2002, 65, 075311. [Google Scholar] [CrossRef]
- Imada, M.; Fujimori, A.; Tokura, Y. Metal-insulator transitions. Rev. Mod. Phys. 1998, 70, 1039–1263. [Google Scholar] [CrossRef]
- Hickey, C.; Cincio, L.; Papić, Z.; Paramekanti, A. Haldane-Hubbard Mott Insulator: From Tetrahedral Spin Crystal to Chiral Spin Liquid. Phys. Rev. Lett. 2016, 116, 137202. [Google Scholar] [CrossRef]
- Bauer, B.; Cincio, L.; Keller, B.P.; Dolfi, M.; Vidal, G.; Trebst, S.; Ludwig, A.W. Chiral spin liquid and emergent anyons in a Kagome lattice Mott insulator. Nat. Commun. 2014, 5, 5137. [Google Scholar] [CrossRef]
- Wen, X.G.; Wilczek, F.; Zee, A. Chiral spin states and superconductivity. Phys. Rev. B 1989, 39, 11413–11423. [Google Scholar] [CrossRef] [PubMed]
- Wang, Y.F.; Yao, H.; Gong, C.D.; Sheng, D.N. Fractional quantum Hall effect in topological flat bands with Chern number two. Phys. Rev. B 2012, 86, 201101. [Google Scholar] [CrossRef]
- Parameswaran, S.A.; Roy, R.; Sondhi, S.L. Fractional quantum Hall physics in topological flat bands. C. R. Phys. 2013, 14, 816–839. [Google Scholar] [CrossRef]
- Zeng, T.S.; Sheng, D.N. SU(N) fractional quantum Hall effect in topological flat bands. Phys. Rev. B 2018, 97, 035151. [Google Scholar] [CrossRef]
- Liu, S.; Vishwanath, A.; Khalaf, E. Shift Insulators: Rotation-Protected Two-Dimensional Topological Crystalline Insulators. Phys. Rev. X 2019, 9, 031003. [Google Scholar] [CrossRef]
- Xu, G.; Lian, B.; Zhang, S.C. Intrinsic Quantum Anomalous Hall Effect in the Kagome Lattice Cs2 LiMn3 F12. Phys. Rev. Lett. 2015, 115, 186802. [Google Scholar] [CrossRef] [PubMed]
- Yin, J.X.; Zhang, S.S.; Chang, G.; Wang, Q.; Tsirkin, S.S.; Guguchia, Z.; Lian, B.; Zhou, H.; Jiang, K.; Belopolski, I.; et al. Negative flat band magnetism in a spin–orbit-coupled correlated kagome magnet. Nat. Phys. 2019, 15, 443–448. [Google Scholar] [CrossRef]
- Yin, J.X.; Lian, B.; Hasan, M.Z. Topological kagome magnets and superconductors. Nature 2022, 612, 647–657. [Google Scholar] [CrossRef] [PubMed]
- Zhang, M.; Hung, H.h.; Zhang, C.; Wu, C. Quantum anomalous Hall states in the p-orbital honeycomb optical lattices. Phys. Rev. A 2011, 83, 023615. [Google Scholar] [CrossRef]
- Koshino, M.; Yuan, N.F.Q.; Koretsune, T.; Ochi, M.; Kuroki, K.; Fu, L. Maximally Localized Wannier Orbitals and the Extended Hubbard Model for Twisted Bilayer Graphene. Phys. Rev. X 2018, 8, 031087. [Google Scholar] [CrossRef]
- Akagi, Y.; Motome, Y. Noncoplanar spin canting in lightly doped ferromagnetic Kondo lattice model on a triangular lattice. J. Phys. Conf. Ser. 2011, 320, 012059. [Google Scholar] [CrossRef]
- Devakul, T.; Crépel, V.; Zhang, Y.; Fu, L. Magic in twisted transition metal dichalcogenide bilayers. Nat. Commun. 2021, 12, 6730. [Google Scholar] [CrossRef]
- Leite, L.S.G.; Doretto, R.L. Flat-band ferromagnetism and spin waves in the Haldane-Hubbard model. Phys. Rev. B 2021, 104, 155129. [Google Scholar] [CrossRef]
- Su, X.F.; Gu, Z.L.; Dong, Z.Y.; Yu, S.L.; Li, J.X. Ferromagnetism and spin excitations in topological Hubbard models with a flat band. Phys. Rev. B 2019, 99, 014407. [Google Scholar] [CrossRef]
- Motruk, J.; Rossi, D.; Abanin, D.A.; Rademaker, L. Kagome chiral spin liquid in transition metal dichalcogenide moiré bilayers. Phys. Rev. Res. 2023, 5, L022049. [Google Scholar] [CrossRef]
- Neupert, T.; Santos, L.; Ryu, S.; Chamon, C.; Mudry, C. Topological Hubbard Model and Its High-Temperature Quantum Hall Effect. Phys. Rev. Lett. 2012, 108, 046806. [Google Scholar] [CrossRef] [PubMed]
- Shao, C.; Castro, E.V.; Hu, S.; Mondaini, R. Interplay of local order and topology in the extended Haldane-Hubbard model. Phys. Rev. B 2021, 103, 035125. [Google Scholar] [CrossRef]
- Barbarino, S.; Sangiovanni, G.; Budich, J.C. First-order topological quantum phase transition in a strongly correlated ladder. Phys. Rev. B 2019, 99, 075158. [Google Scholar] [CrossRef]
- Ding, J.K.; Yang, L.; Wang, W.O.; Zhu, Z.; Peng, C.; Mai, P.; Huang, E.W.; Moritz, B.; Phillips, P.W.; Feldman, B.E.; et al. Particle-hole asymmetric ferromagnetism and spin textures in the triangular Hubbard-Hofstadter model. arXiv 2023, arXiv:2309.07876. [Google Scholar] [CrossRef]
- Wietek, A.; Läuchli, A.M. Chiral spin liquid and quantum criticality in extended Heisenberg models on the triangular lattice. Phys. Rev. B 2017, 95, 035141. [Google Scholar] [CrossRef]
- Gong, S.S.; Zhu, W.; Zhu, J.X.; Sheng, D.N.; Yang, K. Global phase diagram and quantum spin liquids in a spin- triangular antiferromagnet. Phys. Rev. B 2017, 96, 075116. [Google Scholar] [CrossRef]
- Bauer, B.; Keller, B.P.; Dolfi, M.; Trebst, S.; Ludwig, A.W. Gapped and gapless spin liquid phases on the Kagome lattice from chiral three-spin interactions. arXiv 2013, arXiv:1303.6963. [Google Scholar]
- Biswas, R.R.; Fu, L.; Laumann, C.R.; Sachdev, S. SU(2)-invariant spin liquids on the triangular lattice with spinful Majorana excitations. Phys. Rev. B 2011, 83, 245131. [Google Scholar] [CrossRef]
- Hu, W.J.; Gong, S.S.; Zhu, W.; Sheng, D.N. Competing spin-liquid states in the spin- Heisenberg model on the triangular lattice. Phys. Rev. B 2015, 92, 140403. [Google Scholar] [CrossRef]
- Zhu, Z.; White, S.R. Spin liquid phase of the J1 − J2 Heisenberg model on the triangular lattice. Phys. Rev. B 2015, 92, 041105. [Google Scholar] [CrossRef]
- Iqbal, Y.; Hu, W.J.; Thomale, R.; Poilblanc, D.; Becca, F. Spin liquid nature in the Heisenberg J1 − J2 triangular antiferromagnet. Phys. Rev. B 2016, 93, 144411. [Google Scholar] [CrossRef]
- Hu, S.; Zhu, W.; Eggert, S.; He, Y.C. Dirac Spin Liquid on the Spin-1/2 Triangular Heisenberg Antiferromagnet. Phys. Rev. Lett. 2019, 123, 207203. [Google Scholar] [CrossRef]
- Kardar, M. Statistical Physics of Fields; Cambridge University Press: Cambridge, UK, 2007. [Google Scholar] [CrossRef]
- Family, F.; Gould, H. Polymer-Chain Statistics and Universality—Crossover from Random to Self-Avoiding Walks. J. Chem. Phys. 1984, 80, 3892–3897. [Google Scholar] [CrossRef]
- Marzari, N.; Mostofi, A.A.; Yates, J.R.; Souza, I.; Vanderbilt, D. Maximally localized Wannier functions: Theory and applications. Rev. Mod. Phys. 2012, 84, 1419–1475. [Google Scholar] [CrossRef]
- Mielke, A. Ferromagnetism in the Hubbard model and Hund’s rule. Phys. Lett. A 1993, 174, 443–448. [Google Scholar] [CrossRef]







Disclaimer/Publisher’s Note: The statements, opinions and data contained in all publications are solely those of the individual author(s) and contributor(s) and not of MDPI and/or the editor(s). MDPI and/or the editor(s) disclaim responsibility for any injury to people or property resulting from any ideas, methods, instructions or products referred to in the content. |
© 2024 by the authors. Licensee MDPI, Basel, Switzerland. This article is an open access article distributed under the terms and conditions of the Creative Commons Attribution (CC BY) license (https://creativecommons.org/licenses/by/4.0/).
Share and Cite
Huang, X.; Wang, T.; Liu, S.; Hu, H.-Y.; You, Y.-Z. Quantum Magnetism in Wannier-Obstructed Mott Insulators. Crystals 2024, 14, 176. https://doi.org/10.3390/cryst14020176
Huang X, Wang T, Liu S, Hu H-Y, You Y-Z. Quantum Magnetism in Wannier-Obstructed Mott Insulators. Crystals. 2024; 14(2):176. https://doi.org/10.3390/cryst14020176
Chicago/Turabian StyleHuang, Xiaoyang, Taige Wang, Shang Liu, Hong-Ye Hu, and Yi-Zhuang You. 2024. "Quantum Magnetism in Wannier-Obstructed Mott Insulators" Crystals 14, no. 2: 176. https://doi.org/10.3390/cryst14020176
APA StyleHuang, X., Wang, T., Liu, S., Hu, H.-Y., & You, Y.-Z. (2024). Quantum Magnetism in Wannier-Obstructed Mott Insulators. Crystals, 14(2), 176. https://doi.org/10.3390/cryst14020176

