Investigating Influential Parameters for High-Purity Germanium Crystal Growth
Abstract
1. Introduction
2. Materials and Methods
3. Result and Discussion
3.1. Diameter Control
3.2. Crystal Characterization
3.2.1. Measurement of Impurities
3.2.2. Dislocation Density Measurement
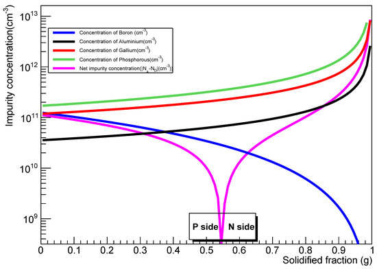
3.3. Impurity Segregation Behavior Analysis
4. Conclusions
Author Contributions
Funding
Institutional Review Board Statement
Data Availability Statement
Conflicts of Interest
References
- Agostini, M.; Allardt, M.; Andreotti, E.; Bakalyarov, A.; Balata, M.; Barabanov, I.; Barros, N.; Baudis, L.; Bauer, C.; Becerici-Schmidt, N.; et al. Production, characterization and operation of Ge enriched BE Ge detectors in GERDA. Eur. Phys. J. 2015, 75, 39. [Google Scholar] [CrossRef]
- Agostini, M.; Bakalyarov, A.; Balata, M.; Barabanov, I.; Baudis, L.; Bauer, C.; Bellotti, E.; Belogurov, S.; Bettini, A.; Bezrukov, L.; et al. Probing Majorana neutrinos with double-β decay. Science 2019, 365, 1445–1448. [Google Scholar] [CrossRef]
- Agnese, R.; Anderson, A.; Aramaki, T.; Baker, W.; Balakishiyeva, D.; Banik, S.; Barker, D.; Thakur, R.B.; Bauer, D.; Binder, T.; et al. Nuclear-recoil energy scale in CDMS II silicon dark-matter detectors. Nucl. Instruments Methods Phys. Res. Sect. Accel. Spectrometers Detect. Assoc. Equip. 2018, 905, 71–81. [Google Scholar] [CrossRef]
- Kermaidic, Y.; Radford, D. 76Ge detector R&D Strategy for LEGEND. In Proceedings of the XXVIII International Conference on Neutrino Physics and Astrophysics, Heidelberg, Germany, 4–9 June 2018; p. 5. [Google Scholar] [CrossRef]
- Yang, L.; Li, H.; Yue, Q.; Ma, H.; Kang, K.; Li, Y.; Wong, H.; Agartioglu, M.; An, H.; Chang, J.; et al. Search for Light Weakly-Interacting-Massive-Particle Dark Matter by Annual Modulation Analysis with a Point-Contact Germanium Detector at the China Jinping Underground Laboratory. Phys. Rev. Lett. 2019, 123, 221301. [Google Scholar] [CrossRef] [PubMed]
- Aalseth, C.E.; Barbeau, P.S.; Colaresi, J.; Collar, J.; Leon, J.D.; Fast, J.E.; Fields, N.; Hossbach, T.W.; Knecht, A.; Kos, M.S.; et al. CoGeNT: A search for low-mass dark matter using p-type point contact germanium detectors. Phys. Rev. 2013, 88, 012002. [Google Scholar] [CrossRef]
- Angloher, G.; Bauer, M.; Bavykina, I.; Bento, A.; Brown, A.; Bucci, C.; Ciemniak, C.; Coppi, C.; Deuter, G.; Von Feilitzsch, F.; et al. Commissioning run of the CRESST-II dark matter search. Astropart. Phys. 2009, 31, 270–276. [Google Scholar] [CrossRef]
- Armengaud, E.; Augier, C.; Benoît, A.; Bergé, L.; Billard, J.; Broniatowski, A.; Camus, P.; Cazes, A.; Chapellier, M.; Charlieux, F.; et al. Searches for electron interactions induced by new physics in the EDELWEISS-III germanium bolometers. Phys. Rev. 2018, 98, 082004. [Google Scholar] [CrossRef]
- Agnese, R.; Anderson, A.J.; Asai, M.; Balakishiyeva, D.; Thakur, R.B.; Bauer, D.; Beaty, J.; Billard, J.; Borgland, A.; Bowles, M.; et al. Search for low-mass weakly interacting massive particles with SuperCDMS. Phys. Rev. Lett. 2014, 112, 241302. [Google Scholar] [CrossRef] [PubMed]
- Agnese, R.; Aralis, T.; Aramaki, T.; Arnquist, I.; Azadbakht, E.; Baker, W.; Banik, S.; Barker, D.; Bauer, D.; Binder, T.; et al. First dark matter constraints from a SuperCDMS single-charge sensitive detector. Phys. Rev. Lett. 2018, 121, 051301. [Google Scholar] [CrossRef]
- Arnquist, I.; Avignone III, F.; Barabash, A.; Barton, C.; Barton, P.; Bhimani, K.; Blalock, E.; Bos, B.; Busch, M.; Buuck, M.; et al. Final Result of the Majorana Demonstrator’s Search for Neutrinoless Double-β Decay in Ge 76. Phys. Rev. Lett. 2023, 130, 062501. [Google Scholar] [CrossRef] [PubMed]
- Agostini, M.; Araujo, G.; Bakalyarov, A.; Balata, M.; Barabanov, I.; Baudis, L.; Bauer, C.; Bellotti, E.; Belogurov, S.; Bettini, A.; et al. Final results of GERDA on the search for neutrinoless double-β decay. Phys. Rev. Lett. 2020, 125, 252502. [Google Scholar] [CrossRef]
- She, Z.; Jia, L.; Yue, Q.; Ma, H.; Kang, K.; Li, Y.; Agartioglu, M.; An, H.; Chang, J.; Chen, J.; et al. Direct detection constraints on dark photons with the cdex-10 experiment at the china jinping underground laboratory. Phys. Rev. Lett. 2020, 124, 111301. [Google Scholar] [CrossRef] [PubMed]
- Mei, D.; Mukund, R.; Wei, W.; Panth, R.; Liu, J.; Mei, H.; Li, Y.; Acharya, P.; Bhattarai, S.; Kooi, K.; et al. Impact of charge trapping on the energy resolution of Ge detectors for rare-event physics searches. J. Phys. Nucl. Part. Phys. 2020, 47, 105106. [Google Scholar] [CrossRef]
- Czochralski, J. Ein neues verfahren zur messung der kristallisationsgeschwindigkeit der metalle. Z. für Phys. Chem. 1918, 92, 219–221. [Google Scholar] [CrossRef]
- Haller, E.E.; Hansen, W.L. Impurities in high-purity germanium as determined by Fourier transform spectroscopy. IEEE Trans. Nucl. Sci. 1974, 21, 279–286. [Google Scholar] [CrossRef][Green Version]
- Haller, E.E.; Hansen, W.; Hubbard, G.; Goulding, F. Origin and control of the dominant impurities in high-purity germanium. IEEE Trans. Nucl. Sci. 1976, 23, 81–87. [Google Scholar] [CrossRef][Green Version]
- Wang, G.; Mei, H.; Mei, D.; Guan, Y.; Yang, G. High purity germanium crystal growth at the University of South Dakota. In Journal of Physics: Conference Series; IOP Publishing: Bristol, UK, 2015; Volume 606, p. 012012. [Google Scholar]
- Subramanian, A.; Abrosimov, N.; Gybin, A.; Guguschev, C.; Juda, U.; Fiedler, A.; Bärwolf, F.; Costina, I.; Kwasniewski, A.; Dittmar, A.; et al. Investigation of Doping Processes to Achieve Highly Doped Czochralski Germanium Ingots. J. Electron. Mater. 2023, 1–11. [Google Scholar] [CrossRef]
- Hansen, W. High-purity germanium crystal growing. Nucl. Instruments Methods 1971, 94, 377–380. [Google Scholar] [CrossRef]
- Dash, W. Improvements on the pedestal method of growing silicon and germanium crystals. J. Appl. Phys. 1960, 31, 736–737. [Google Scholar] [CrossRef]
- Burton, J.; Prim, R.; Slichter, W. The distribution of solute in crystals grown from the melt. Part I. Theoretical. J. Chem. Phys. 1953, 21, 1987–1991. [Google Scholar] [CrossRef]
- Wang, G.; Sun, Y.; Yang, G.; Xiang, W.; Guan, Y.; Mei, D.; Keller, C.; Chan, Y.D. Development of large size high-purity germanium crystal growth. J. Cryst. Growth 2012, 352, 27–30. [Google Scholar] [CrossRef]
- Wang, G.; Amman, M.; Mei, H.; Mei, D.; Irmscher, K.; Guan, Y.; Yang, G. Crystal growth and detector performance of large size high-purity Ge crystals. Mater. Sci. Semicond. Process. 2015, 39, 54–60. [Google Scholar] [CrossRef]
- Raut, M.S.; Mei, H.; Mei, D.M.; Bhattarai, S.; Wei, W.Z.; Panth, R.; Acharya, P.; Wang, G.J. Characterization of high-purity germanium (Ge) crystals for developing novel Ge detectors. J. Instrum. 2020, 15, T10010. [Google Scholar] [CrossRef]
- Bhattarai, S.; Panth, R.; Wei, W.Z.; Mei, H.; Mei, D.M.; Raut, M.S.; Acharya, P.; Wang, G.J. Investigation of the electrical conduction mechanisms in P-type amorphous germanium electrical contacts for germanium detectors in searching for rare-event physics. Eur. Phys. J. 2020, 80, 1–10. [Google Scholar] [CrossRef]
- Meng, X.H.; Wang, G.J.; Wagner, M.D.; Mei, H.; Wei, W.Z.; Liu, J.; Yang, G.; Mei, D.M. Fabrication and characterization of high-purity germanium detectors with amorphous germanium contacts. J. Instrum. 2019, 14, P02019. [Google Scholar] [CrossRef]
- Yang, G.; Guan, Y.; Jian, F.; Wagner, M.; Mei, H.; Wang, G.; Howard, S.; Mei, D.; Nelson, A.; Marshal, J.; et al. Zone refinement of germanium crystals. In Journal of Physics: Conference Series; IOP Publishing: Bristol, UK, 2015; Volume 606, p. 012014. [Google Scholar]
- Hall, E.H. XVIII. On the “Rotational Coefficient” in nickel and cobalt. Lond. Edinb. Dublin Philos. Mag. J. Sci. 1881, 12, 157–172. [Google Scholar] [CrossRef]
- Trumbore, F.A. Solid solubilities of impurity elements in germanium and silicon. Bell Syst. Tech. J. 1960, 39, 205–233. [Google Scholar] [CrossRef]
- Taishi, T.; Murao, Y.; Ohno, Y.; Yonenaga, I. Segregation of boron in germanium crystal. J. Cryst. Growth 2008, 311, 59–61. [Google Scholar] [CrossRef]
- Kodera, H. Constitutional supercooling during the crystal growth of germanium and silicon. Jpn. J. Appl. Phys. 1963, 2, 527. [Google Scholar] [CrossRef]
- Becker, M.; Kargl, F.; Bührig-Polaczek, A. Solidification Kinetics in Al-Cu and Al-Ge Alloys Investigated by In-Situ X-ray Radiography. Technical Report; Fachgruppe für Materialwissenschaft und Werkstofftechnik. 2017. Available online: https://publications.rwth-aachen.de/record/709136/files/709136.pdf (accessed on 24 January 2024).
- Becker, M.; Klein, S.; Kargl, F. Free dendritic tip growth velocities measured in Al-Ge. Phys. Rev. Mater. 2018, 2, 073405. [Google Scholar] [CrossRef]
- Abrosimov, N.; Czupalla, M.; Dropka, N.; Fischer, J.; Gybin, A.; Irmscher, K.; Janicskó-Csáthy, J.; Juda, U.; Kayser, S.; Miller, W.; et al. Technology development of high purity germanium crystals for radiation detectors. J. Cryst. Growth 2020, 532, 125396. [Google Scholar] [CrossRef]
- Haller, E.E.; Hansen, W.L.; Goulding, F.S. Physics of ultra-pure germanium. Adv. Phys. 1981, 30, 93–138. [Google Scholar] [CrossRef]







| Position | Net Impurity (/cm) | Resistivity ( cm) | Mobility (cmVs) |
|---|---|---|---|
| Neck | |||
| S1 | |||
| S2 | |||
| S3 | |||
| Tail |
Disclaimer/Publisher’s Note: The statements, opinions and data contained in all publications are solely those of the individual author(s) and contributor(s) and not of MDPI and/or the editor(s). MDPI and/or the editor(s) disclaim responsibility for any injury to people or property resulting from any ideas, methods, instructions or products referred to in the content. |
© 2024 by the authors. Licensee MDPI, Basel, Switzerland. This article is an open access article distributed under the terms and conditions of the Creative Commons Attribution (CC BY) license (https://creativecommons.org/licenses/by/4.0/).
Share and Cite
Bhattarai, S.; Mei, D.; Budhathoki, N.; Dong, K.; Warren, A. Investigating Influential Parameters for High-Purity Germanium Crystal Growth. Crystals 2024, 14, 177. https://doi.org/10.3390/cryst14020177
Bhattarai S, Mei D, Budhathoki N, Dong K, Warren A. Investigating Influential Parameters for High-Purity Germanium Crystal Growth. Crystals. 2024; 14(2):177. https://doi.org/10.3390/cryst14020177
Chicago/Turabian StyleBhattarai, Sanjay, Dongming Mei, Narayan Budhathoki, Kunming Dong, and Austin Warren. 2024. "Investigating Influential Parameters for High-Purity Germanium Crystal Growth" Crystals 14, no. 2: 177. https://doi.org/10.3390/cryst14020177
APA StyleBhattarai, S., Mei, D., Budhathoki, N., Dong, K., & Warren, A. (2024). Investigating Influential Parameters for High-Purity Germanium Crystal Growth. Crystals, 14(2), 177. https://doi.org/10.3390/cryst14020177

