Methimazole-Related Substances: Structural Characterization and In Silico Toxicity Assessment
Abstract
1. Introduction
2. Materials and Methods
2.1. General
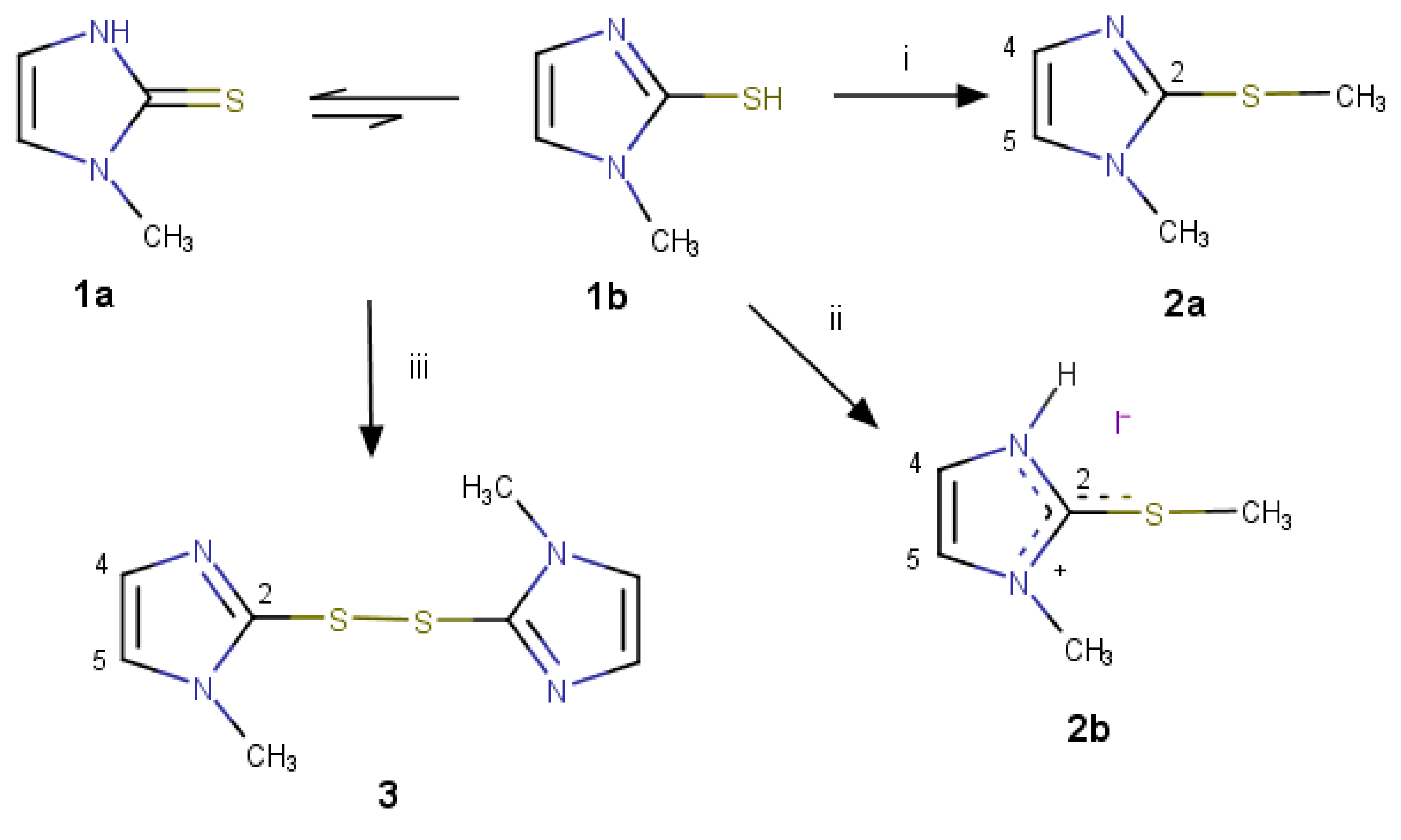
2.2. Synthesis
2.2.1. 1-Methyl-(2-methylthio)-1H-imidazol (2a)
2.2.2. 1-Methyl-(2-methylthio)-1H-imidazol hydroiodide (2b)
2.2.3. 2,2′-Disulfanylbis(1-methyl-1H-imidazole) (3)
2.3. Single-Crystal X-Ray Diffraction
2.4. Computational DFT Analysis
3. Results
3.1. Synthesis
3.2. Structure Elucidation (NMR and IR Spectroscopy, Mass Spectrometry)
3.3. Single-Crystal X-Ray Diffraction
3.4. Molecular Modelling
3.5. In Silico Toxicology Assessment
4. Conclusions
Supplementary Materials
Author Contributions
Funding
Data Availability Statement
Acknowledgments
Conflicts of Interest
References
- Taurog, A.; Dorris, M.L.; Guziec, F.S.; Uetrecht, J.P. Metabolism of 35 S- and 14 C-Labeled Propylthiouracil in a Model in Vitro System Containing Thyroid Peroxidase *. Endocrinology 1989, 124, 3030–3037. [Google Scholar] [CrossRef]
- Cooper, D.S. Antithyroid Drugs. N. Engl. J. Med. 2005, 352, 905–917. [Google Scholar] [CrossRef]
- Jafar, A.; Samadi, A.; Vahabzadeh, M.H. Amlodipine-Gold Nanoparticles as a New “Turn off-on’’ Sensor for the Sensitive Determination of Methimazole. J. Anal. Chem. 2020, 75, 402–408. [Google Scholar] [CrossRef]
- Ito, Y.; Sakai, H.; Nagao, H.; Suzuki, R.; Odawara, M.; Minato, K. Development of a High-Performance Liquid Chromatography–Tandem Mass Spectrometric Method for the Determination of Methimazole in Human Blood Matrices. J. Chromatogr. B 2020, 1144, 122083. [Google Scholar] [CrossRef] [PubMed]
- Zhao, X.; He, Y.; Wang, Y.; Wang, S.; Wang, J. Hollow Molecularly Imprinted Polymer Based Quartz Crystal Microbalance Sensor for Rapid Detection of Methimazole in Food Samples. Food Chem. 2020, 309, 125787. [Google Scholar] [CrossRef] [PubMed]
- Mahmoud, A.Y.F.; Rusin, C.J.; McDermott, M.T. Gold Nanostars as a Colloidal Substrate for In-Solution SERS Measurements Using a Handheld Raman Spectrometer. Analyst 2020, 145, 1396–1407. [Google Scholar] [CrossRef] [PubMed]
- Lai, H.; Li, G.; Zhang, Z. SnS2/AuNPs Surface-Enhanced Raman Scattering Sensor for Rapid and Selective Quantification of Methimazole in Serum and Meat Samples. Sens. Acutators B Chem. 2023, 380, 133325. [Google Scholar] [CrossRef]
- Kritikou, A.S.; Dasenaki, M.E.; Maragou, N.C.; Kostakis, M.G.; Thomaidis, N.S. Multi-Residue Analysis of Thyreostats in Animal Muscle Tissues by Hydrophilic Interaction Liquid Chromatography Tandem Mass Spectrometry: A Thorough Chromatographic Study. Separations 2024, 11, 269. [Google Scholar] [CrossRef]
- Long, Y.; Li, H.; Wang, W.; Yang, X.; Liu, Z. Ultrasensitive Detection of Cr(VI) Using a Novel SERS Optical Fiber Probe Modified by Dual-Functional Methimazole. J. Alloys Compd. 2022, 910, 164916. [Google Scholar] [CrossRef]
- Kurdaikar, S.S.; Fernandes, A.; Gandhi, S.V.; Pattewar, P.; Mahajan, A.A. Spectrophotometric Determination of Carbimazole and Its Major Impurity, Degradation Product and Metabolite: Methimazole. Opt. Spectrosc. 2021, 129, 948–957. [Google Scholar] [CrossRef]
- Štefan, L.; Matković-Čalogović, D.; Filić, D.; Dumić, M. Synthesis, Crystal Structure and Solid State Transformation of 1,2-Bis[(1-Methyl-1H-Imidazole-2-Yl)Thio]Ethane. Crystals 2020, 10, 667. [Google Scholar] [CrossRef]
- Štefan, L.; Čikoš, A.; Vianello, R.; Đilović, I.; Matković-Čalogović, D.; Dumić, M. Chemistry of Spontaneous Alkylation of Methimazole with 1,2-Dichloroethane. Molecules 2021, 26, 7032. [Google Scholar] [CrossRef]
- Convention on the elaboration of a European pharmacopoeia. In European Pharmacopoeia 7.0 Thimazole; Council of Europe: Strasbourg, France, 2010.
- Siriwardana, A.I.; Crossley, I.R.; Torriero, A.A.J.; Burgar, I.M.; Dunlop, N.F.; Bond, A.M.; Deacon, G.B.; MacFarlane, D.R. Methimazole-Based Ionic Liquids. J. Org. Chem. 2008, 73, 4676–4679. [Google Scholar] [CrossRef] [PubMed]
- Kister, J.; Assef, G.; Dou, J.-M.; Metzger, J. Hydrolysis of 1-Methyl-2-Methylthio-Δ2-Imidazoline. Tetrahedron 1976, 32, 1395–1398. [Google Scholar] [CrossRef]
- Kister, J.; Assef, G.; Mille, G.; Metzger, J. Synthèse et étude du réarrangement des diazoles-1,3: Alkyl-1 alkylthio-2 (allylthio, arylthio, cycloalkylthio) imidazoles. Partie II. Réarrangement et réactions parasites. Can. J. Chem. 1979, 57, 822–830. [Google Scholar] [CrossRef]
- Eshghi, H.; Tayyari, S.F.; Rezvani-Amin, Z.; Roohi, H. Methimazole-Disulfide as an Anti-Thyroid Drug Metabolite Catalyzed the Highly Regioselective Conversion of Epoxides to Halohydrins with Elemental Halogens. Bull. Korean Chem. Soc. 2008, 29, 51–56. [Google Scholar] [CrossRef]
- Aragoni, M.C.; Arca, M.; Demartin, F.; Garau, A.; Isaia, F.; Lippolis, V.; Pivetta, T. A Unique Case of Polymorphism in Polyiodide Networks Resulting from the Reaction of the Drug Methimazole and I2. New J. Chem. 2023, 47, 8122–8130. [Google Scholar] [CrossRef]
- Vidovič, C.; Belaj, F.; Mösch-Zanetti, N.C. Soft Scorpionate Hydridotris(2-mercapto-1-methylimidazolyl) Borate) Tungsten-Oxido and -Sulfido Complexes as Acetylene Hydratase Models. Chem. Eur. J. 2020, 26, 12431–12444. [Google Scholar] [CrossRef]
- International Council for Harmonisation of Technical Requirements for Pharmaceuticals for Human Use. ICH Guidelines, M7 (R1): Assessment and Control of DNA Reactive (Mutagenic) Impurities in Pharmaceuticals to Limit Potential Carcinogenic Risk; European Medicines Agency: Amsterdam, The Netherlands, 2017. [Google Scholar]
- Arnold, H.; Vogelsang, D. Verfahren zur Herstellung von Bis-[imidazyl-(2)]-disulfid und dessen Abkoemmlingen. DE960279C, 21 March 1957. [Google Scholar]
- CrysAlisPro Software System, Version 1.171.39.46; Rigaku Oxford Diffraction: Abbingdon, UK, 2018.
- Farrugia, L.J. WinGX and It ORTEP for Windows: An Update. J. Appl. Crystallogr. 2012, 45, 849–854. [Google Scholar] [CrossRef]
- Sheldrick, G.M. A Short History of SHELX. Acta Crystallogr. A Found. Adv. 2008, 64, 112–122. [Google Scholar] [CrossRef] [PubMed]
- Sheldrick, G.M. Crystal Structure Refinement with SHELXL. Acta Crystallogr. C Struct. Chem. 2015, 71, 3–8. [Google Scholar] [CrossRef]
- Spek, A.L. Structure Validation in Chemical Crystallography. Acta Crystallogr. D Biol. Crystallogr. 2009, 65, 148–155. [Google Scholar] [CrossRef]
- Macrae, C.F.; Bruno, I.J.; Chisholm, J.A.; Edgington, P.R.; McCabe, P.; Pidcock, E.; Rodriguez-Monge, L.; Taylor, R.; Van De Streek, J.; Wood, P.A. Mercury CSD 2.0–New Features for the Visualization and Investigation of Crystal Structures. J. Appl. Crystallogr. 2008, 41, 466–470. [Google Scholar] [CrossRef]
- Frisch, M.J.; Trucks, G.W.; Schlegel, H.B.; Scuseria, G.E.; Robb, M.A.; Cheeseman, J.R.; Scalmani, G.; Barone, V.; Petersson, G.A.; Nakatsuji, H.; et al. Gaussian 16 Revision C.01; Gaussian, Inc.: Wallingford, CT, USA, 2016. [Google Scholar]
- Egorov, D.M.; Piterskaya, Y.L.; Dogadina, A.V. Reaction of Chloroethynylphosphonates with 1-Methyl-3H-Imidazole-2-Thiones. Russ. J. Gen. Chem. 2015, 85, 502–504. [Google Scholar] [CrossRef]
- Pretsch, E.; Bühlmann, P.; Badertscher, M. Structure Determination of Organic Compounds; Springer: Berlin, Germany, 2000; ISBN 3-540-67815-8. [Google Scholar]
- Derek Nexus, 6.3.0, Nexus, 2.6.0; Licensed to Syngene International (Computer Software); Lhasa Limited: Leeds, UK, 2023.
- Sarah Nexus, 3.3.0, Nexus, 2.6.0; Licensed to Syngene International (Computer Software); Lhasa Limited: Leeds, UK, 2023.
- Case Ultra, 1.9.0.8, Licensed to Syngene International (Computer Software); MultiCase: Mayfield Heights, OH, USA.
- Amberg, A.; Beilke, L.; Bercu, J.; Bower, D.; Brigo, A.; Cross, K.P.; Custer, L.; Dobo, K.; Dowdy, E.; Ford, K.A.; et al. Principles and Procedures for Implementation of ICH M7 Recommended (Q)SAR Analyses. Regul. Toxicol. Pharmacol. 2016, 77, 13–24. [Google Scholar] [CrossRef] [PubMed]
- Amberg, A.; Andaya, R.V.; Anger, L.T.; Barber, C.; Beilke, L.; Bercu, J.; Bower, D.; Brigo, A.; Cammerer, Z.; Cross, K.P.; et al. Principles and Procedures for Handling Out-of-Domain and Indeterminate Results as Part of ICH M7 Recommended (Q)SAR Analyses. Regul. Toxicol. Pharmacol. 2019, 102, 53–64. [Google Scholar] [CrossRef] [PubMed]
- Foster, R.S.; Fowkes, A.; Cayley, A.; Thresher, A.; Werner, A.-L.D.; Barber, C.G.; Kocks, G.; Tennant, R.E.; Williams, R.V.; Kane, S.; et al. The Importance of Expert Review to Clarify Ambiguous Situations for (Q)SAR Predictions under ICH M7. Genes. Environ. 2020, 42, 27. [Google Scholar] [CrossRef] [PubMed]








| Compound | 2b | 3 |
|---|---|---|
| Chemical formula | C5H9IN2S | C8H10N4S2 |
| Formula weight | 256.10 | 226.32 |
| Crystal system | Monoclinic | Monoclinic |
| Space group | P21/c | C2/c |
| a/Å | 8.6603(1) | 12.5904(6) |
| b/Å | 7.4999(1) | 7.3959(3) |
| c/Å | 13.7504(2) | 11.2869(5) |
| α/° | 90 | 90 |
| β/° | 94.826(0) | 97.886(4) |
| γ/° | 90 | 90 |
| Z | 4 | 4 |
| F(000) | 488.0 | 472.0 |
| T/K | 293 | 293 |
| V/Å3 | 889.94(2) | 1041.07(8) |
| Dx/g cm−3 | 1.911 | 1.444 |
| 2Θ range for data collection/° | 9.084 to 51.988 | 9.102 to 56.972 |
| Index ranges | −10 ≤ h ≤ 10, −9 ≤ k ≤ 9, −16 ≤ l ≤ 16 | −16 ≤ h ≤ 16, −9 ≤ k ≤ 9, −15 ≤ l ≤ 15 |
| Reflections collected | 37,594 | 8880 |
| Independent reflections | 1742 [Rint = 0.0205, Rsigma = 0.0057] | 1295 [Rint = 0.0247, Rsigma = 0.0151] |
| Data/restraints/parameters | 1742/0/92 | 1295/0/65 |
| S (GOF) | 1.077 | 1.097 |
| R [I ≥ 2σ(I)] | R1 = 0.0127, wR2 = 0.0295 | R1 = 0.0271, wR2 = 0.0723 |
| R [all data] | R1 = 0.0131, wR2 = 0.0297 | R1 = 0.0297, wR2 = 0.0743 |
| 2b/Å | 3/Å | ||||
|---|---|---|---|---|---|
| C1 | N2 | 1.334(2) | C1 | N1 | 1.3648(17) |
| C1 | N1 | 1.336(2) | C1 | N2 | 1.3195(19) |
| C1 | S1 | 1.7335(18) | C1 | S1 | 1.7371(14) |
| C2 | C3 | 1.338(3) | C3 | C2 | 1.353(2) |
| C2 | N1 | 1.380(3) | C3 | N2 | 1.359(2) |
| C3 | N2 | 1.374(2) | C2 | N1 | 1.3610(19) |
| C4 | N1 | 1.470(2) | C4 | N1 | 1.4496(18) |
| C5 | S1 | 1.8004(19) | S1 | S1 i | 2.0926(8) |
| D−H···A | d(D−H)/Å | d(H···A)/Å | d(D···A)/Å | <d(D−H···A)/° |
|---|---|---|---|---|
| N2−H2A···I1 | 0.79(3) | 2.74(2) | 3.4992(16) | 161(2) |
| D−H···A | d(D−H)/Å | d(H···A)/Å | d(D···A)/Å | <d(D−H···A)/° |
|---|---|---|---|---|
| C2−H2···N2 ii | 0.930 | 2.620 | 3.4261(19) | 145 |
| C4−H2A···N2 ii | 0.960 | 2.713 | 3.595 (16) | 153 |
Disclaimer/Publisher’s Note: The statements, opinions and data contained in all publications are solely those of the individual author(s) and contributor(s) and not of MDPI and/or the editor(s). MDPI and/or the editor(s) disclaim responsibility for any injury to people or property resulting from any ideas, methods, instructions or products referred to in the content. |
© 2024 by the authors. Licensee MDPI, Basel, Switzerland. This article is an open access article distributed under the terms and conditions of the Creative Commons Attribution (CC BY) license (https://creativecommons.org/licenses/by/4.0/).
Share and Cite
Štefan, L.; Đilović, I.; Saftić Martinović, L.; Vianello, R.; Čikoš, A. Methimazole-Related Substances: Structural Characterization and In Silico Toxicity Assessment. Crystals 2024, 14, 1073. https://doi.org/10.3390/cryst14121073
Štefan L, Đilović I, Saftić Martinović L, Vianello R, Čikoš A. Methimazole-Related Substances: Structural Characterization and In Silico Toxicity Assessment. Crystals. 2024; 14(12):1073. https://doi.org/10.3390/cryst14121073
Chicago/Turabian StyleŠtefan, Leo, Ivica Đilović, Lara Saftić Martinović, Robert Vianello, and Ana Čikoš. 2024. "Methimazole-Related Substances: Structural Characterization and In Silico Toxicity Assessment" Crystals 14, no. 12: 1073. https://doi.org/10.3390/cryst14121073
APA StyleŠtefan, L., Đilović, I., Saftić Martinović, L., Vianello, R., & Čikoš, A. (2024). Methimazole-Related Substances: Structural Characterization and In Silico Toxicity Assessment. Crystals, 14(12), 1073. https://doi.org/10.3390/cryst14121073

