Magneto-Structural Correlation in µ-Hydroxo-µ-Carboxylato Hetero-Bridged Dinuclear Oxidovanadium(IV) Complexes
Abstract
1. Introduction
2. Materials and Methods
2.1. Preparation
2.1.1. [(VO)2{HB(pz)3}2(μ-OH)(μ-O2CH2CH3)] (1)
2.1.2. [(VO)2{HB(pz)3}2(μ-OH)(μ-O2C-t-Bu)] (2)
2.1.3. [(VO)2{HB(pz)3}2(μ-OH)(μ-O2CCH2-t-Bu)] (3)
2.1.4. [(VO)2{HB(pz)3}2(μ-OH)(μ-O2CCHPh2)] (4)
2.1.5. [(VO)2{HB(pz)3}2(μ-OH)(μ-O2CCPh3)] (5)
2.1.6. [(VO)2{HB(pz)3}2(μ-OH)(μ-O2CCH2CH2Ph)] (6)
2.2. Measurements
2.3. Single Crystal X-Ray Diffraction
2.4. Computational Study
3. Results and Discussion
3.1. Structural Studies
3.2. IR Spectra
3.3. Electronic Spectra
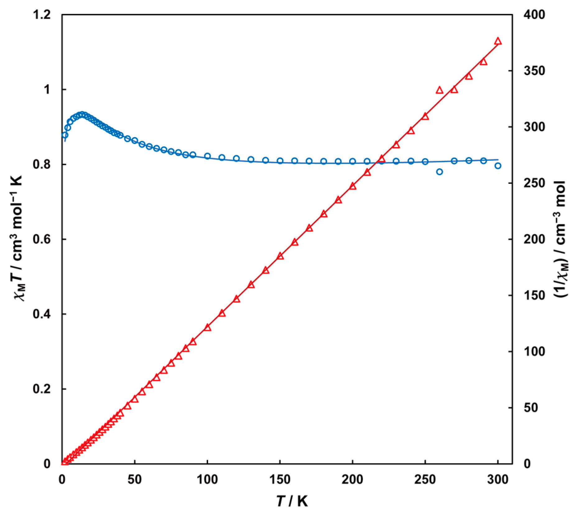
3.4. Magnetic Properties
4. Conclusions
Supplementary Materials
Author Contributions
Funding
Data Availability Statement
Acknowledgments
Conflicts of Interest
References
- Sultana, S.Y.; Sharma, M.; Talukdar, H.; Begum, T.; Gour, N.K.; Sharma, B.; Islam, N.S. New mixed ligand oxido-vanadium(V) complexes with O,O-donor and diimine ligands: Synthesis, crystal structure and catalytic activity in eco-friendly oxidation of olefins and phenol. Mol. Catal. 2024, 565, 114352. [Google Scholar] [CrossRef]
- Sutradhar, M.; Martins, L.M.D.R.S.; da Silva, M.F.C.G.; Pombeiro, A.J.L. Vanadium complexes: Recent progress in oxidation catalysis. Coord. Chem. Rev. 2015, 301, 200–239. [Google Scholar] [CrossRef]
- Kumar, A.; Sasai, H.; Takizawa, S. Atroposelective synthesis of C–C axially chiral compounds via mono- and dinuclear vanadium catalysis. Acc. Chem. Res. 2022, 55, 2949–2965. [Google Scholar] [CrossRef] [PubMed]
- Zhang, H.; Zhang, M.; Jia, Y.; Geng, L.; Yin, B.; Li, S.; Luo, Z.; Pan, F. Vanadium cluster neutrals reacting with water: Superatomic features and hydrogen evolution in a fishing mode. J. Phys. Chem. Lett. 2021, 12, 1593–1600. [Google Scholar] [CrossRef] [PubMed]
- Yang, Y.; Fu, Y.; Tian, Y.; Zhao, L.; Qin, C.; Wang, X.; Su, Z. Efficient iodine capture by metal–organic cubes based on hexanuclear vanadium clusters. Inorg. Chem. Front. 2023, 10, 6221–6228. [Google Scholar] [CrossRef]
- Aureliano, M.; Gumerova, N.I.; Sciortino, G.; Garribba, E.; McLauchlan, C.C.; Rompel, A.; Crans, D.C. Polyoxidovanadates’ interactions with proteins: An overview. Coord. Chem. Rev. 2022, 454, 214344. [Google Scholar] [CrossRef]
- Baran, E.J. Structural and spectroscopic studies related to vanadium chemistry and biochemistry. Coord. Chem. Rev. 2024, 502, 215549. [Google Scholar] [CrossRef]
- Mubarak, M.Q.E.; Gérard, E.F.; Blanford, C.F.; Hay, S.; Visser, S.P. How do vanadium chloroperoxidases generate hypochlorite from hydrogen peroxide and chloride? A computational study. ACS Catal. 2020, 10, 14067–14079. [Google Scholar] [CrossRef]
- Treviño, S.; Díaz, A.; Sánchez-Lara, E.; Sanchez-Gaytan, B.L.; Perez-Aguilar, J.M.; González-Vergara, E. Vanadium in biological action: Chemical, pharmacological aspects, and metabolic implications in diabetes mellitus. Biol. Trace Elem. Res. 2019, 188, 68–98. [Google Scholar] [CrossRef]
- Wieghardt, K.; Bossek, U.; Volckmar, K.; Swiridoff, W.; Weiss, J. Synthesis and crystal structure of bis(μ-hydroxo)bis[oxo(1,4,7-triazacyclononane)vanadium(IV)] dibromide, a μ-hydroxo-bridged cation with antiferromagnetically coupled vanadium(IV) centers. Inorg. Chem. 1984, 23, 1387–1389. [Google Scholar] [CrossRef]
- Ceccato, A.S.; Neves, A.; de Brito, M.A.; Drechsel, S.M.; Mangrich, A.S.; Werner, R.; Haase, W.; Bortoluzzi, A.J. Magneto-structural correlation for binuclear octahedral vanadium(IV)–oxo complexes. Synthesis, structure and magnetic properties of a VIVO2+ complex with a new ligand derived from glycine. J. Chem. Soc. Dalton Trans. 2000, 1573–1577. [Google Scholar] [CrossRef]
- Neves, A.; Wieghardt, K.; Number, B.; Weiss, J. Synthesis, magnetism and crystal structure of [V2O2(μ-OH)2(tpen)]I2·4H2O; a binuclear complex containing the syn-{VO(μ-OH)2VO}2+ core (tpen = tetrakis(2-pyridylmethyl)ethylenediamine). Inorg. Chim. Acta 1988, 150, 183–187. [Google Scholar] [CrossRef]
- Burojevic, S.; Shweky, I.; Bino, A.; Summers, D.A.; Thompson, R.C. Synthesis, structure and magnetic properties of an asymmetric dinuclear oxocitratovanadate(IV) complex. Inorg. Chim. Acta 1996, 251, 75–79. [Google Scholar] [CrossRef]
- Das, R.; Nanda, K.K.; Mukherjee, A.K.; Mukherjee, M.; Helliwell, M.; Nag, K. Macrocyclic oxovanadium(IV) complexes: Structure, magnetochemistry and electrochemistry. J. Chem. Soc. Dalton Trans. 1993, 2241–2246. [Google Scholar] [CrossRef]
- Mikuriya, M.; Fukuya, M. Synthesis, crystal structure, and magnetic property of a dinuclear oxovanadium(IV) complex with 2,6-bis(salicylideneaminomethyl)-4-methylphenol. Bull. Chem. Soc. Jpn. 1996, 69, 679–683. [Google Scholar] [CrossRef]
- Tsai, Y.-F.; Huang, G.-S.; Yang, C.-I.; Tsai, H.-L.; Liu, Y.-H.; Kuo, T.-S.; Hsu, H.F. Dinuclear oxovanadium(IV) thiolate complexes with ferromagnetically coupled interaction between vanadium centers. Inorg. Chem. 2007, 46, 10467–10469. [Google Scholar] [CrossRef]
- Bazhina, E.S.; Nikiforova, M.E.; Aleksandrov, G.G.; Efimov, N.N.; Ugolkova, N.A.; Nikitin, O.M.; Magdesieva, T.V.; Bogomyakov, A.S.; Minin, V.V.; Sidorov, A.A.; et al. New sulfate-bridged dinuclear oxidovanadium complexes. Inorg. Chim. Acta 2012, 392, 192–198. [Google Scholar] [CrossRef]
- Dean, N.S.; Bond, M.R.; O’Connor, C.J.; Carrano, C.J. Structure and magnetism of dibridged vanadium(IV) hydrotris(pyrazolyl)borate dimers. Inorg. Chem. 1996, 35, 7643–7648. [Google Scholar] [CrossRef]
- Koeppen, M.; Fresen, G.; Wieghardt, K.; Llusar, R.M.; Number, B.; Weiss, J. Syntheses and spectroscopic and magnetic properties of novel binuclear vanadium(III)/(IV) complexes. Crystal structures of [L2V2(μ-O)(μ-CH3CO2)2]I2·2H2O and [L2V2O2(μ-CH3CO2)2]I2 (L = 1,4,7-trimethyl-1,4,7-triazacyclononane). Inorg. Chem. 1988, 27, 721–727. [Google Scholar] [CrossRef]
- Roy, S.; Böhme, M.; Dash, S.P.; Mohanty, M.; Buchholz, A.; Plass, W.; Majumder, S.; Kulanthaivel, S.; Banerjee, I.; Reuter, H.; et al. Anionic dinuclear oxidovanadium(IV) complexes with azo functionalized tridentate ligands and μ-ethoxido bridge leading to an unsymmetric twisted arrangement: Synthesis, X-ray Structure, magnetic properties, and cytotoxicity. Inorg. Chem. 2018, 57, 5767–5781. [Google Scholar] [CrossRef]
- Janas, Z.; Jezierska, J.; Ozarowski, A.; Bieńko, A.; Lis, T.; Jezierski, A.; Krawczyk, M. Investigation of vanadium(III) and vanadium(IV) compounds supported by the linear diaminebis(phenolate) ligands: Correlation between structures and magnetic properties. Dalton Trans. 2021, 50, 5184–5196. [Google Scholar] [CrossRef] [PubMed]
- Lagostina, V.; Carniato, F.; Esteban-Gómez, D.; Platas-Iglesias, C.; Chiesa, M.; Botta, M. Magnetic and relaxation properties of vanadium(IV) complexes: An integrated 1H relaxometric, EPR and computational study. Inorg. Chem. Front. 2023, 10, 1999–2013. [Google Scholar] [CrossRef]
- Roy, S.; Böhme, M.; Lima, S.; Mohanty, M.; Banerjee, A.; Buchholz, A.; Plass, W.; Rathnam, S.; Banerjee, I.; Kaminsky, W.; et al. Methoxido-bridged lacunary heterocubane oxidovanadium(IV) cluster with azo ligands: Synthesis, X-ray Structure, magnetic properties, and antiproliferative activity. Eur. J. Inorg. Chem. 2022, 2022, e202200109. [Google Scholar] [CrossRef]
- Zhang, L.; Chen, Z. Magnetic exchange interaction in the μ-hydroxo bridged vanadium(IV) dimers: A density functional theory combined with broken-symmetry approach. Chem. Phys. Lett. 2001, 345, 353–360. [Google Scholar] [CrossRef]
- Rodríguez-Fortea, A.; Alemany, P.; Alvarez, S.; Ruiz, E. A theoretical study of the exchange coupling in hydroxo- and alkoxo-bridged dinuclear oxovanadium(IV) compounds. Eur. J. Inorg. Chem. 2004, 2004, 143–153. [Google Scholar] [CrossRef]
- Plass, W. Magneto-structural correlations in dinuclear d1–d1 complexes: Structure and magnetochemistry of two ferromagnetically coupled vanadium(IV) dimers. Angew. Chem. Int. Ed. Engl. 1996, 35, 627–731. [Google Scholar] [CrossRef]
- Melero, M.M.; Kłosek, Z.; de Arellano, C.R.; Olmos, A. Synthesis of known and previously inaccessible poly(pyrazolyl)borates under mild conditions. J. Org. Chem. 2023, 88, 9130–9135. [Google Scholar] [CrossRef]
- Kraft, S.J.; Fanwick, P.E.; Bart, S.C. Synthesis and characterization of a uranium(III) complex containing a redox-active 2,2’-bipyridine ligand. Inorg. Chem. 2010, 49, 1103–1110. [Google Scholar] [CrossRef]
- Kaimal, V.R.M.; Shome, S.C. Direct titration of vanadium(IV) with EDTA using N-benzoyl-N-phenylhydroxylamine as metal indicator. Anal. Chim. Acta 1962, 27, 594–596. [Google Scholar] [CrossRef]
- Selwood, P.W. Magnetochemistry; Interscience Publishers: New York, NY, USA, 1956; pp. 78–91. [Google Scholar]
- Rigaku Corporation. CrystalClear: Data Collection and Processing Software; Rigaku Corporation: Tokyo, Japan, 1998. [Google Scholar]
- Rigaku Oxford Diffraction. CrysAlis Pro; Rigaku Oxford Diffraction: Tokyo, Japan, 2022. [Google Scholar]
- Sheldrick, G.M. SHELXT—Integrated space-group and crystal-structure determination. Acta Crystallogr. Sect. A Found. Adv. 2015, 71, 3–8. [Google Scholar] [CrossRef]
- Sheldrick, G.M. Crystal structure refinement with SHELXL. Acta Crystallogr. Sect. C Struct. Chem. 2015, 71, 3–8. [Google Scholar] [CrossRef] [PubMed]
- Jiang, J.-S.; Brünger, A.T. Protein hydration observed by X-ray diffraction: Solvation properties of penicillopepsin and neuraminidase crystal structures. J. Molec. Biol. 1994, 243, 100–115. [Google Scholar] [CrossRef] [PubMed]
- Dolomanov, O.V.; Bourhis, L.J.; Gildea, R.J.; Howard, J.A.K.; Puschmann, H. OLEX2: A complete structure solution, refinement and analysis program. J. Appl. Cryst. 2009, 42, 339–341. [Google Scholar] [CrossRef]
- Macrae, C.F.; Sovago, I.; Cottrell, S.J.; Galek, P.T.A.; McCabe, P.; Pidcock, E.; Platings, M.; Shields, G.P.; Stevens, J.S.; Towler, M.; et al. Mercury 4.0: From visualization to analysis, design and prediction. J. Appl. Crystallogr. 2020, 53, 226–235. [Google Scholar] [CrossRef] [PubMed]
- Frisch, M.J.; Trucks, G.W.; Schlegel, H.B.; Scuseria, G.E.; Robb, M.A.; Cheeseman, J.R.; Scalmani, G.; Barone, V.; Petersson, G.A.; Nakatsuji, H.; et al. Gaussian 16, Revision C.01; Gaussian, Inc.: Wallingford, CT, USA, 2016. [Google Scholar]
- Dennington, R.; Keith, T.A.; Millam, J.M. GaussView, Version 6; Semichem Inc.: Shawnee Mission, KS, USA, 2016. [Google Scholar]
- Fukuda, I.; Matsushima, H.; Maeda, K.; Koikawa, M.; Tokii, T. The first example of μ-oxo-bis(μ-carboxylato)dioxovanadium(IV,V) complex. Chem. Lett. 1997, 26, 463–464. [Google Scholar] [CrossRef]
- Richa; Kumar, A.; Verma, I.; Gautam, M.; Erande, R.D.; Kłak, J.; Choquesillo-Lazarte, D.; Mota, A.J.; Rajput, A.; Arora, H. Structural and magnetic characterization of mixed-valence vanadium (IV/V) complex with {(VO)2(µ-O)}3+ core: Theoretical and experimental insights. J. Mol. Struct. 2022, 1269, 133805. [Google Scholar] [CrossRef]
- Wei, P.-R.; Li, Q.; Leung, W.-P.; Makt, T.C.W. A dinuclear manganese(ll) complex doubly bridged by skew-skew μ-carboxylato groups: Synthesis and X-ray structure of [{Mn(bpy)2(p-Me2N+C5H4NCH2CO2−)}2](C1O4)4. Polyhedron 1997, 16, 897–902. [Google Scholar] [CrossRef]
- Spackman, M.A.; Jayatilaka, D. Hirshfeld surface analysis. Cryst. Eng. Comm. 2009, 11, 19–32. [Google Scholar] [CrossRef]
- Ibrahim, M.M.; Mersal, G.A.M.; Fallatah, A.M.; Althubeiti, K.; El-Sheshtawy, H.S.; Taleb, M.F.A.; Das, M.R.; Boukherroub, R.; Attia, M.S.; Amin, M.A. Electrocatalytic hydrogen generation using tripod containing pyrazolylborate-based copper(II), nickel(II), and iron(III) complexes loaded on a glassy carbon electrode. RSC Adv. 2022, 12, 8030–8042. [Google Scholar] [CrossRef]
- Deacon, G.B.; Phillips, R.J. Relationships between the carbon-oxygen stretching frequencies of carboxylato complexes and the type of carboxylate coordination. Coord. Chem. Rev. 1980, 33, 227–250. [Google Scholar] [CrossRef]
- Rudbari, H.A.; Saadati, A.; Aryaeifar, M.; Correia, I.; Marques, F.; Blacque, O.; Micale, N. Cytotoxic oxidovanadium(IV) complexes of tridentate halogen-substituted Schiff bases: First dinuclear V(IV) complexes with O → VIV = O → VIV = O core. Bioorg. Med. Chem. Lett. 2021, 49, 128285. [Google Scholar] [CrossRef] [PubMed]
- Hamilton, D.E. Reinvestigation of the vanadium-oxygen stretch in the IR spectrum of bis[N-(4-chlorophenyl)salicylideneiminato]oxovanadium(IV). Inorg. Chem. 1991, 30, 1670–1671. [Google Scholar] [CrossRef]
- Sakiyama, H.; Abiko, T.; Yoshida, K.; Shomura, K.; Mitsuhashi, R.; Koyama, Y.; Mikuriya, M.; Koikawa, M.; Mitsumi, M. Detailed magnetic analysis and successful deep-neural-network-based conformational prediction for [VO(dmso)5][BPh4]2. RSC Adv. 2020, 10, 9678–9685. [Google Scholar] [CrossRef] [PubMed]
- O’Connor, C.J. Magnetochemistry–Advances in theory and experimentation. In Progress in Inorganic Chemistry; Lippard, S.J., Ed.; John Wiley & Sons: New York, NY, USA, 1982; Volume 29, pp. 203–283. [Google Scholar] [CrossRef]
- Chilton, N.F.; Anderson, R.P.; Turner, L.D.; Soncini, A.; Murray, K.S. PHI: A powerful new program for the analysis of anisotropic monomeric and exchange-coupled polynuclear d- and f-block complexes. J. Comput. Chem. 2013, 34, 1164–1175. [Google Scholar] [CrossRef]









| 1 | 2 | 3 | 4 | 5 | |
|---|---|---|---|---|---|
| Empirical formula | C21H26B2N12O5V2, 2[C2H5OH] | C23H30B2N12O5V2, 2[C2H5OH] | C24H32B2N12O5V2 | C32H32B2N12O5V2 | C38H36B2N12O5V2 |
| Formula weight | 742.17 | 770.22 | 692.11 | 788.19 | 864.29 |
| Temperature/K | 293 | 293 | 293 | 293 | 293 |
| Crystal system | monoclinic | monoclinic | monoclinic | orthorhombic | monoclinic |
| Space group | C2/c | C2/c | P21/c | Pna21 | P21/c |
| a/Å | 34.3359(8) | 34.6189(3) | 14.2258(6) | 26.3453(6) | 9.2537(4) |
| b/Å | 14.6118(8) | 14.8785(4) | 14.9857(5) | 11.5681)2) | 31.5883(10) |
| c/Å | 15.4430(10) | 15.5866(4) | 16.1012(7) | 12.1916(3) | 14.0235(6) |
| α/° | 90 | 90 | 90 | 90 | 90 |
| β/° | 101.540(2) | 99.784(2) | 107.783(5) | 90 | 96.528(4) |
| γ/° | 90 | 90 | 90 | 90 | 90 |
| V/Å3 | 7591.3(3) | 7911.5(4) | 3268.5(2) | 3715.57(14) | 4072.6(3) |
| Z | 8 | 8 | 4 | 4 | 4 |
| Dcalc/g cm−3 | 1.299 | 1.293 | 1.406 | 1.409 | 1.410 |
| μ/mm−1 | 0.547 | 0.527 | 0.625 | 0.560 | 0.518 |
| F (0 0 0) | 3072.0 | 3200.0 | 1424.0 | 1616.0 | 1776.0 |
| Crystal dimensions/mm3 | 0.31 × 0.13 × 0.12 | 0.47 × 0.20 × 0.10 | 0.23 × 0.15 × 0.15 | 0.37 × 0.14 × 0.14 | 0.16 × 0.07 × 0.06 |
| Radiation | MoKα | MoKα | MoKα | MoKα | MoKα |
| 2θ range/° | 3.038 to 61.808 | 2.986 to 61.764 | 3.006 to 62.046 | 3.846 to 61.994 | 3.194 to 61.948 |
| Reflections collected | 33,550 | 33,813 | 27,691 | 32,161 | 35,133 |
| Independent reflections | 10,842 | 10,408 | 8843 | 10,471 | 11,395 |
| Data/Restraints/Params | 10,842/2/383 | 18,867/126/1014 | 8843/11/461 | 10,471/1/481 | 11,395/1/535 |
| Goodness of fit indicator | 0.990 | 1.056 | 1.008 | 1.017 | 0.979 |
| R indices [I > 2.00 s (I)] | R1 = 0.0555 | R1 = 0.0469 | R1 = 0.0729 | R1 = 0.0423 | R1 = 0.0697 |
| wR2 = 0.13858 | wR2 = 0.1222 | wR2 = 0.1676 | wR2 = 0.0857 | wR2 = 0.1138 | |
| R indices (all data) | R1 = 0.0923 | R1 = 0.0723 | R1 = 0.1423 | R1 = 0.0622 | R1 = 0.1855 |
| wR2 = 0.1554 | wR2 = 0.1319 | wR2 = 0.2038 | wR2 = 0.0927 | wR2 = 0.1483 | |
| Largest peak, hole/e Å−3 | 0.61, −0.26 | 0.43, −0.26 | 0.70, −0.50 | 0.31, −0.17 | 0.31, −0.39 |
| Flack parameter | ----- | ----- | ----- | −0.012(7) | ----- |
| CCDC deposition number | 2405794 | 2405795 | 2405796 | 2405797 | 2405798 |
| Bond | 1 | 2 | 3 | 4 | 5 |
|---|---|---|---|---|---|
| V1–O1 | 1.5943(15) | 1.5901(13) | 1.583(3) | 1.596(2) | 1.581(2) |
| V1–O3 | 1.9903(15) | 1.9883(13) | 1.983(2) | 1.988(2) | 2.000(2) |
| V1–O4 | 2.0175(16) | 2.0338(14) | 2.017(3) | 2.036(2) | 2.021(2) |
| V1–N1 | 2.2962(17) | 2.2862(15) | 2.287(3) | 2.294(3) | 2.305(3) |
| V1–N3 | 2.1180(17) | 2.1347(15) | 2.118(3) | 2.121(3) | 2.114(3) |
| V1–N5 | 2.0918(18) | 2.0973(16) | 2.091(3) | 2.115(2) | 2.096(3) |
| V2–O2 | 1.5921(16) | 1.5950(14) | 1.585(3) | 1.587(3) | 1.585(2) |
| V2–O3 | 1.9750(15) | 1.9754(13) | 1.974(2) | 1.983(2) | 1.988(3) |
| V2–O5 | 2.0189(17) | 2.0222(13) | 2.011(3) | 2.018(2) | 2.016(2) |
| V2–N7 | 2.3143(18) | 2.3153(16) | 2.296(3) | 2.313(3) | 2.322(3) |
| V2–N9 | 2.1115(19) | 2.1114(16) | 2.119(3) | 2.114(3) | 2.126(3) |
| V2–N11 | 2.105(2) | 2.1031(16) | 2.101(3) | 2.112(3) | 2.110(3) |
| V1···V2 | 3.6119(5) | 3.5972(5) | 3.5780(8) | 3.5938(7) | 3.7009(9) |
| Angle | 1 | 2 | 3 | 4 | 5 |
|---|---|---|---|---|---|
| O1–V1–O3 | 102.25(7) | 102.03(6) | 102.13(12) | 100.95(12) | 101.59(11) |
| O1–V1–O4 | 98.44(8) | 97.89(7) | 98.58(14) | 96.46(11) | 96.71(12) |
| O1–V1–N1 | 171.54(7) | 172.73(6) | 172.88(13) | 173.35(12) | 173.26(12) |
| O3–V1–N3 | 163.97(7) | 162.80(6) | 162.24(11) | 163.31(11) | 163.29(10) |
| O4–V1–N5 | 165.68(7) | 167.68(6) | 166.37(12) | 167.58(11) | 167.21(11) |
| N3–V1–N5 | 85.93(7) | 85.42(6) | 86.36(11) | 87.28(11) | 86.17(11) |
| O2–V2–O3 | 101.19(8) | 102.01(7) | 101.77(12) | 101.13(12) | 103.18(12) |
| O2–V2–O5 | 98.54(9) | 98.30(7) | 98.84(13) | 98.15(12) | 99.05(10) |
| O2–V2–N7 | 173.30(8) | 173.34(7) | 172.67(14) | 173.52(12) | 171.80(11) |
| O3–V2–N9 | 164.14(8) | 163.20(6) | 161.73(11) | 166.12(12) | 161.94(10) |
| O5–V2–N11 | 165.22(7) | 166.08(6) | 166.67(12) | 163.29(11) | 166.21(10) |
| N9–V2–N11 | 84.73(8) | 84.99(6) | 85.52(12) | 85.81(12) | 86.26(11) |
| V1–O3–V2 | 131.26(8) | 130.33(7) | 129.48(12) | 129.64(11) | 136.25(12) |
| Complex | α/° V1–O4–C19–C20 | β/° V2–O5–C19–C20 | ω/° V1∙∙∙V2/O4∙∙∙O5 | Bridging Mode |
|---|---|---|---|---|
| 1 | 152.7(2) | −149.3(2) | 24.38(6) | skew–skew, non-planar |
| 2 | 152.20(13) | −142.16(15) | 29.00(5) | skew–skew, non-planar |
| 3 | 145.55(6) * | −150.1(6) * | 31.36(11) | skew–skew, non-planar |
| 4 | 155.4(19) | −141.86(19) | 27.74(9) | skew–skew, non-planar |
| 5 | 173.61(13) | −175.14(13) | 0.60(8) | syn–syn, coplanar |
| Complex | O1···H10/Å | O1···H10–C10/° | O2···H1/Å | O2···H1–C1/° |
|---|---|---|---|---|
| 1 | 2.4093(15) | 152.54(13) | 2.6905(17) | 142.09(15) |
| 2 | 2.4307(14) | 150.84(12) | 2.7057(14) | 143.92(13) |
| 3 | 2.471(3) | 150.4(2) | 2.660(3) | 147.1(2) |
| 4 | 2.638(3) | 149.3(2) | 2.430(3) | 145.9(3) |
| 5 | 2.675(2) | 139.1(2) | 2.481(2) | 132.4(2) |
| Complex | ν(OH) | ν(BH) | νas(COO) | νs(COO) | Δ(νas − νas) | ν(V=O) |
|---|---|---|---|---|---|---|
| 1 | 3622 | 2485 | 1541 | 1405 | 136 | 967 |
| 2 | 3626 | 2471 | 1517 | 1406 | 111 | 969 |
| 3 | 3627 | 2472 | 1522 | 1405 | 117 | 970 |
| 4 | 3643 | 2476 | 1558 | 1404 | 154 | 967 |
| 5 | 3633 | 2465 | 1586 | 1404 | 182 | 968 |
| 6 | 3618 | 2475 | 1548 | 1405 | 143 | 966 |
| Complex | 2B2 → 2E | 2B2 → 2B1 | 2B2 → 2A1 |
|---|---|---|---|
| 1 | 13.1 | 18.4 | 30.3 sh |
| 2 | 13.3 | 17.8 | 29.6 sh |
| 3 | 13.3 | 18.3 | 30.0 sh |
| 4 | 13.7 | 18.2 | 30.2 sh |
| 5 | 13.7 | 18.2 | 29.9 |
| 6 | 13.6 | 18.3 | 30.0 sh |
| Complex | J/cm−1 | g | TIP /10−6 cm3 mol−1 | zJ/cm−1 | χMT (300 K) /cm3 mol−1 K | θ/K |
|---|---|---|---|---|---|---|
| 1 | 19.51 | 1.944 | 174 | −0.041 | 0.785 | 2.727 |
| 2 | 19.33 | 1.917 | 398 | −0.050 | 0.842 | 0.575 |
| 3 | 23.26 | 1.978 | 381 | −0.043 | 0.889 | 1.336 |
| 4 | 19.20 | 1.966 | 210 | −0.036 | 0.803 | 2.892 |
| 5 | 17.04 | 1.916 | 257 | −0.026 | 0.782 | 2.927 |
| 6 | 20.90 | 1.982 | 382 | −0.021 | 0.887 | 1.246 |
| Complex a | J /cm−1 | τ /° | V···V /Å | V–O–V /° | V=O Configuration | Ref. | |
|---|---|---|---|---|---|---|---|
| A: monoatomic bridge | |||||||
| [(VO)2(tacn)(OH)]2Br2 | a | −177 | 0 | 3.033 | 101.2 | anti | [10] |
| [(VO)(L1)]22+ | b | −167.9 | 0 | 3.125 | 98.6 | anti | [11] |
| [(VO)2(OH)2(tpen)]I2 | c | −150 | 4.3 | 2.965 | 98.0 av | syn | [12] |
| [(VO)2(cit)(Hcit)]3− | d | −212 | 7.4 | 2.949 | 97.8 av | syn | [13] |
| [(VO)2(L2)(SO4)] | e | −128 | 29.9 | 3.077 | 99.4 | syn | [14] |
| [(VO)2(L2)(OCH3)(DMSO)] | f | −122 | 48.9 | 3.026 | 98.1 av | anti | [15] |
| [(VO)(L3)]22+ | g | 9 | 69 | 3.122 | 96.3 av | syn | [16] |
| B: diatomic bridge | |||||||
| [(VO)(L4)(SO4)(CH3OH)]2 | H | −14.8 | 0 | 4.631 | –– | anti | [17] |
| [(VO){HB(pz)3}(O2PPh2)]2 | I | −11.75 | 0 | 5.27 | –– | anti | [18] |
| [(VO){HB(pz)3}(O2PHPh)2]2 | J | −40.65 | 11.2 | 5.136 | –– | anti | [18] |
| [(VO)(tmtacn)(O2CCH3)]2I2 | k | −114 | 67.1 | 4.075 | –– | syn | [19] |
| C: hetero bridge | |||||||
| [(VO)2{HB(pz)3}2(OH)(O2CH2CH3)] | 1 | 19.51 | 17.4 | 3.612 | 130.9 | anti | t.w. |
| [(VO)2{HB(pz)3}2(OH)(O2C-t-Bu)] | 2 | 19.33 | 23.3 | 3.597 | 130.3 | anti | t.w. |
| [(VO)2{HB(pz)3}2(OH)(O2CCH2-t-Bu)] | 3 | 23.26 | 26.0 | 3.578 | 129.7 | anti | t.w. |
| [(VO)2{HB(pz)3}2(OH)(O2CHPh2)] | 4 | 19.20 | 20.0 | 3.594 | 129.4 | anti | t.w. |
| [(VO)2{HB(pz)3}2(OH)(O2CPh3)] | 5 | 17.04 | 5.0 | 3.701 | 136.2 | anti | t.w. |
| [(VO)2{HB(pz)3}2(OH)(O2CCH2CH2Ph)] | 6 | 20.90 | –– | –– | –– | –– | t.w. |
| [(VO)2{HB(pz)3}2(OH)(O2CCH3)] | l | >0 b | 14.8 | 3.621 | 131.6 | anti | [18] |
Disclaimer/Publisher’s Note: The statements, opinions and data contained in all publications are solely those of the individual author(s) and contributor(s) and not of MDPI and/or the editor(s). MDPI and/or the editor(s) disclaim responsibility for any injury to people or property resulting from any ideas, methods, instructions or products referred to in the content. |
© 2024 by the authors. Licensee MDPI, Basel, Switzerland. This article is an open access article distributed under the terms and conditions of the Creative Commons Attribution (CC BY) license (https://creativecommons.org/licenses/by/4.0/).
Share and Cite
Yoshida, R.; Koikawa, M.; Tokii, T. Magneto-Structural Correlation in µ-Hydroxo-µ-Carboxylato Hetero-Bridged Dinuclear Oxidovanadium(IV) Complexes. Crystals 2024, 14, 1072. https://doi.org/10.3390/cryst14121072
Yoshida R, Koikawa M, Tokii T. Magneto-Structural Correlation in µ-Hydroxo-µ-Carboxylato Hetero-Bridged Dinuclear Oxidovanadium(IV) Complexes. Crystals. 2024; 14(12):1072. https://doi.org/10.3390/cryst14121072
Chicago/Turabian StyleYoshida, Ryo, Masayuki Koikawa, and Tadashi Tokii. 2024. "Magneto-Structural Correlation in µ-Hydroxo-µ-Carboxylato Hetero-Bridged Dinuclear Oxidovanadium(IV) Complexes" Crystals 14, no. 12: 1072. https://doi.org/10.3390/cryst14121072
APA StyleYoshida, R., Koikawa, M., & Tokii, T. (2024). Magneto-Structural Correlation in µ-Hydroxo-µ-Carboxylato Hetero-Bridged Dinuclear Oxidovanadium(IV) Complexes. Crystals, 14(12), 1072. https://doi.org/10.3390/cryst14121072

