A Revival of Molecular Surface Electrostatic Potential Statistical Quantities: Ionic Solids and Liquids
Abstract
1. Introduction to Electrostatic Potentials
2. Methods
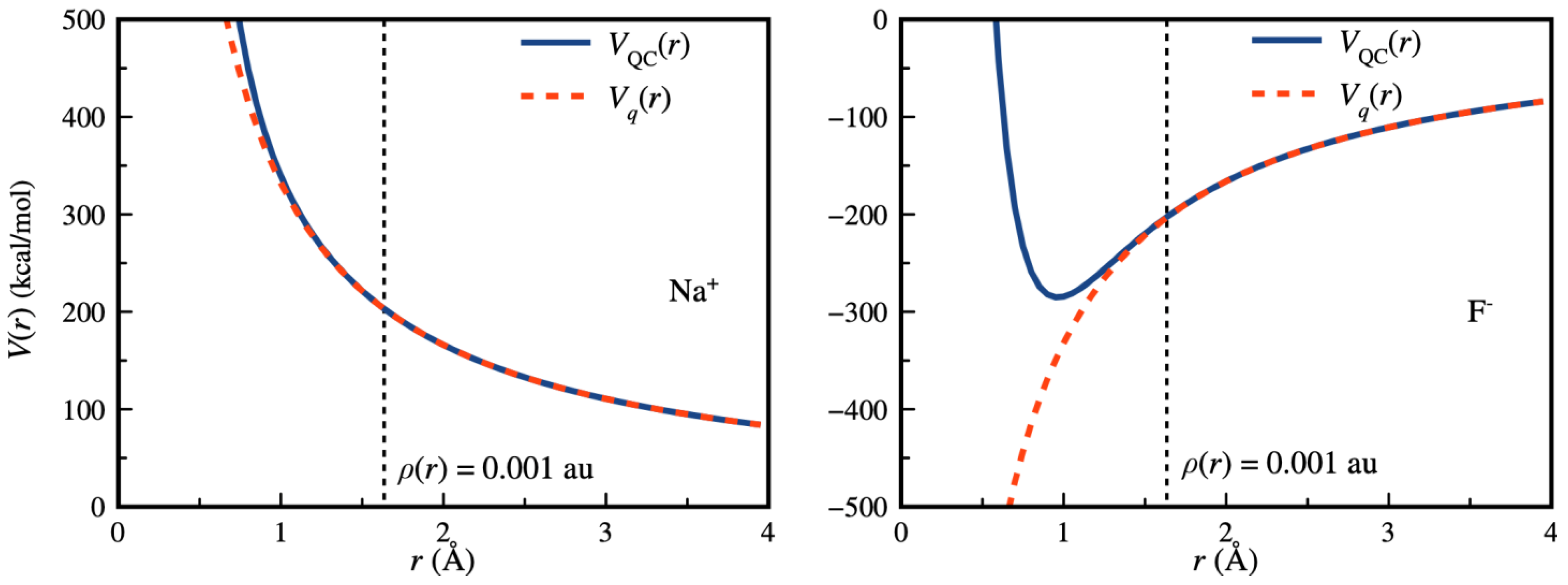
3. Surface Electrostatic Potentials of Molecular Ions
4. Statistical Quantities of Some Cations and Anions in Ionic Salts and Liquids
5. Concluding Remarks
Author Contributions
Funding
Data Availability Statement
Acknowledgments
Conflicts of Interest
References
- Scrocco, E.; Tomasi, J. The Electrostatic Molecular Potential as a Tool for the Interpretation of Molecular Properties. In New Concepts II. Topics in Current Chemistry; Springer: Berlin, Germany, 1973; Volume 42, pp. 95–170. [Google Scholar]
- Scrocco, E.; Tomasi, J. Electronic Molecular Structure, Reactivity and Intermolecular Forces: An Euristic Interpretation by Means of Electrostatic Molecular Potentials. Adv. Quant. Chem. 1978, 11, 115–193. [Google Scholar]
- Politzer, P.; Daiker, K.C. Models for Chemical Reactivity. In The Force Concept in Chemistry; Deb, B.M., Ed.; Van Nostrand Reinhold: New York, NY, USA, 1981; Chapter 6; pp. 294–387. [Google Scholar]
- Politzer, P.; Truhlar, D.G. (Eds.) Chemical Applications of Atomic and Molecular Electrostatic Potentials; Plenum: New York, NY, USA, 1981. [Google Scholar]
- Politzer, P.; Murray, J.S. Molecular Electrostatic Potentials and Chemical Reactivity. In Reviews in Computational Chemistry; Lipkowitz, K.B., Boyd, D.B., Eds.; VCH Publishers: New York, NY, USA, 1991; Volume 2, pp. 273–312. [Google Scholar]
- Brinck, T. The Use of the Electrostatic Potential for Analysis and Prediction of Intermolecular Interactions. In Theoretical Organic Chemistry; Parkanyi, C., Ed.; Elsevier: Amsterdam, The Netherlands, 1998; pp. 51–93. [Google Scholar]
- Hunter, C.A. Quantifying intermolecular interactions: Guidelines for the molecular recognition toolbox. Angew. Chem. Int. Ed. 2004, 43, 5310–5324. [Google Scholar] [CrossRef] [PubMed]
- Aakerӧy, C.B.; Wijethunga, T.K.; Desper, J. Molecular electrostatic potential dependent selectivity of hydrogen bonding. New J. Chem. 2015, 39, 822–828. [Google Scholar] [CrossRef]
- Murray, J.S.; Politzer, P. Molecular electrostatic potentials and noncovalent interactions. WIREs Comput. Mol. Sci. 2017, 7, e1326. [Google Scholar] [CrossRef]
- Francl, M.M. Polarization corrections to electrostatic potentials. J. Phys. Chem. 1985, 89, 428–433. [Google Scholar] [CrossRef]
- Clark, T.; Murray, J.S.; Politzer, P. A perspective on quantum mechanics and chemical concepts in describing noncovalent interactions. Phys. Chem. Chem. Phys. 2018, 20, 30076–30082. [Google Scholar] [CrossRef]
- Stewart, R.F. On the mapping of electrostatic properties from Bragg diffraction data. Chem. Phys. Lett. 1979, 65, 335–342. [Google Scholar] [CrossRef]
- Klein, C.L.; Stevens, E.D. Experimental measurements of electron density distributions and electrostatic potentials. In Structure and Reactivity; Liebman, J.F., Greenberg, A., Eds.; VCH Publishers: New York, NY, USA, 1988; pp. 25–64. [Google Scholar]
- Bachrach, S.M. Population analysis and electron densities from quantum mechanics. In Reviews in Computational Chemistry; Lipkowitz, K.B., Boyd, D.B., Eds.; VCH Publishers: New York, NY, USA, 1994; Volume 5, pp. 171–227. [Google Scholar]
- Naray-Szabo, G.; Ferenczy, G. Molecular electrostatics. Chem. Rev. 1995, 95, 829–847. [Google Scholar] [CrossRef]
- Price, S.L. Applications of realistic electrostatic modelling to molecules in complexes, solids and proteins. J. Chem. Soc. Faraday Trans. 1996, 92, 2997–3008. [Google Scholar] [CrossRef]
- Murray, J.S.; Politzer, P. The electrostatic potential: An overview. WIREs Comput. Mol. Sci. 2011, 1, 153–163. [Google Scholar] [CrossRef]
- Marenich, A.V.; Jerome, S.V.; Cramer, C.J.; Truhlar, D.G. Charge model 5: An extension of the Hirshfeld population analysis for the accurate description of molecular interactions in ground and excited states in the vapor and in condensed phases. J. Chem. Theory Comput. 2012, 8, 527–541. [Google Scholar] [CrossRef] [PubMed]
- Liu, S.; Luan, B. Benchmarking various types of partial atomic charges for classical all-atom simulations of metal-organic frameworks. Nanoscale 2022, 14, 9466–9473. [Google Scholar] [CrossRef] [PubMed]
- Pathak, R.K.; Gadre, S.R. Maximal and minimal characteristics of molecular electrostatic potentials. J. Chem. Phys. 1990, 93, 1770–1773. [Google Scholar] [CrossRef]
- Weinstein, H.; Politzer, P.; Srebrenik, S. A misconception concerning the electronic density distribution of an atom. Theor. Chim. Acta 1975, 38, 159–163. [Google Scholar] [CrossRef]
- Sen, K.D.; Politzer, P. Characteristic features of the electrostatic potentials of singly-negative monoatomic ions. J. Chem. Phys. 1989, 90, 4370–4372. [Google Scholar] [CrossRef]
- Sen, K.D.; Politzer, P. Approximate radii for singly-negative ions of 3d, 4d and 5d metal ions. J. Chem. Phys. 1989, 91, 5123–5124. [Google Scholar] [CrossRef]
- Ramasami, P.; Murray, J.S. Radial behavior of atoms and ions revisited: Isotropy and anisotropy. ChemPhysChem 2024, 25, e202400450. [Google Scholar] [CrossRef]
- Bader, R.F.W.; Carroll, M.T.; Cheeseman, J.R.; Chang, C. Properties of atoms in molecules. Atomic volumes. J. Am. Chem. Soc. 1987, 109, 7968–7979. [Google Scholar] [CrossRef]
- Bulat, F.A.; Toro-Labbé, A.; Brinck, T.; Murray, J.S.; Politzer, P. Quantitative analysis of molecular surfaces: Areas, volumes, electrostatic potentials and average local ionization energies. J. Mol. Model. 2010, 16, 1679–1691. [Google Scholar] [CrossRef]
- Brinck, T.; Murray, J.S.; Politzer, P. Quantitative determination of the total local polarity (charge separation) in molecules. Mol. Phys. 1992, 76, 609–616. [Google Scholar] [CrossRef]
- Politzer, P.; Lane, P.; Murray, J.S.; Brinck, T. Investigation of relationships between solute molecule surface electrostatic potentials and solubilities in supercritical fluids. J. Phys. Chem. 1992, 96, 7938–7943. [Google Scholar] [CrossRef]
- Murray, J.S.; Lane, P.; Brinck, T.; Paulsen, K.; Grice, M.E.; Politzer, P. Relationships of critical constants and boiling points to computed molecular surface properties. J. Phys. Chem. 1993, 97, 9369–9373. [Google Scholar] [CrossRef]
- Murray, J.S.; Brinck, T.; Lane, P.; Paulsen, K.; Politzer, P. Statistically-based interaction indices derived from molecular surface electrostatic potentials; A general interaction properties function (GIPF). J. Mol. Struct. (Theochem) 1994, 307, 55–64. [Google Scholar] [CrossRef]
- Politzer, P.; Murray, J.S. Computational prediction of condensed phase properties from statistical characterization of molecular surface electrostatic potentials. Fluid Phase Equil. 2001, 185, 129–137. [Google Scholar] [CrossRef]
- Murray, J.S.; Seybold, P.G.; Battino, R.; Politzer, P. A general model for the solubilities of gases in liquids. J. Mol. Model. 2020, 26, 244. [Google Scholar] [CrossRef]
- Politzer, P.; Murray, J.S. Relationships between lattice energies and surface electrostatic potentials and areas of anions. J. Phys. Chem. A 1998, 102, 1018–1020. [Google Scholar] [CrossRef]
- Murray, J.S.; Peralta-Inga, Z.; Politzer, P. Computed molecular surface electrostatic potentials of the nonionic and zwitterionic forms of glycine, histidine and tetracycline. Int. J. Quant. Chem. 2000, 80, 1216–1223. [Google Scholar] [CrossRef]
- Robbins, A.M.; Jin, P.; Brinck, T.; Murray, J.S.; Politzer, P. The electrostatic potential as a measure of gas phase carbocation stability. Int. J. Quant. Chem. 2006, 106, 2904–2909. [Google Scholar] [CrossRef]
- Politzer, P.; Martinez, J.; Murray, J.S.; Concha, M.C. An electrostatic correction for improved crystal density predictions of energetic ionic compounds. Mol. Phys. 2010, 108, 1391–1396. [Google Scholar] [CrossRef]
- Politzer, P.; Lane, P.; Murray, J.S. Electrostatic potentials, intralattice attractive forces and crystal densities of nitrogen-rich C,H,N,O salts. Crystals 2016, 6, 7. [Google Scholar] [CrossRef]
- Politzer, P.; Lane, P.; Murray, J.S. Sensitivities of ionic explosives. Mol. Phys. 2017, 115, 497–509. [Google Scholar] [CrossRef]
- Cavallo, G.; Murray, J.S.; Politzer, P.; Ursini, M.; Resnati, G. Halogen bonding in hypervalent iodine and bromine derivatives: Halonium salts. Int. Union Crystallogr. J. 2017, 4, 411–419. [Google Scholar] [CrossRef] [PubMed]
- Stenlid, J.H.; Brinck, T. Extending the σ-hole concept to metals: An electrostatic interpretation of the effects of nanostructure in gold and platinum catalysis. J. Am. Chem. Soc. 2017, 139, 11012–11015. [Google Scholar] [CrossRef] [PubMed]
- Lim, J.Y.C.; Beer, P.D. Sigma-hole interactions in anion recognition. Chem 2018, 4, 731–783. [Google Scholar] [CrossRef]
- Konidaris, K.F.; Pilati, T.; Terraneo, G.; Politzer, P.; Murray, J.S.; Scilabra, P.; Resnati, G. Cyanine dyes: Synergistic action of hydrogen, halogen and chalcogen bonds allows I42− anions in crystals. New J. Chem. 2018, 42, 10463–10466. [Google Scholar] [CrossRef]
- Scilabra, P.; Murray, J.S.; Terraneo, G.; Resnati, G. Chalcogen bonds in crystals of bis(o-anilinium)diselenide salts. Cryst. Growth Des. 2019, 19, 1149–1154. [Google Scholar] [CrossRef]
- Williams, I.M.; Qasim, L.N.; Tran, L.; Scott, A.; Riley, K.; Dutta, S. C-D vibration at C2 position of imidazolium cation as a probe of the ionic liquid microenvironment. J. Phys. Chem. A 2019, 123, 6342–6349. [Google Scholar] [CrossRef]
- Daolio, A.; Pizzi, A.; Calabrese, M.; Terraneo, G.; Bordignon, S.; Frontera, A.; Resnati, G. Anion—Anion coinage bonds: The case of tetrachloridoaurate. Angew. Chem. Int. Ed. 2021, 60, 14385–14389. [Google Scholar] [CrossRef]
- Tran, L.; Rush, K.; Marzette, J.; Edmonds-Andrews, G.; Bennett, T.; Abdulahad, A.; Riley, K.E.; Dutta, S. Striking temperature-dependent molecular reorganization at the C-2 position of [EMIM][BF4]. Chem. Phys. Lett. 2021, 783, 138956. [Google Scholar] [CrossRef]
- Konidaris, K.; Daolio, A.; Pizzi, A.; Scilabra, P.; Terraneo, G.; Quici, A.; Murray, J.S.; Politzer, P.; Resnati, G. Thiazolium salts as chalcogen bond donors. Cryst. Growth Des. 2022, 22, 4987–4995. [Google Scholar] [CrossRef]
- Calabrese, M.; Pizzi, A.; Beccaria, R.; Frontera, A.; Resnati, G. Halogen bonding assembles anion—Anion architectures in non-centrosymmetric iodate and bromate crystals. ChemPhysChem 2023, 24, e202300298. [Google Scholar] [CrossRef] [PubMed]
- Rush, K.; Islam, M.M.; Nawagamuwage, S.U.; Marzette, J.; Browne, O.; Foy, K.; Reyes, K.; Hoang, M.; Nguyen, C.; Walker, A.; et al. Hydrogen-bonded complexes in binary mixture of imidazolium-based ionic liquids with organic solvents. J. Phys. Chem. B 2023, 127, 8916–8925. [Google Scholar] [CrossRef] [PubMed]
- Wieske, L.H.E.; Erdélyi, M. Halogen Bonds of Halogen(I) Ions—Where Are We and Where to Go? J. Am. Chem. Soc. 2024, 146, 3–18. [Google Scholar] [CrossRef] [PubMed]
- Puttreddy, R.; Kuma, P.; Rissanen, K. Pyridine iodine (I) cations: Kinetic trapping as a sulfonate complexes. Chem. Eur. J. 2024, 30, e202304178. [Google Scholar] [CrossRef] [PubMed]
- Frisch, M.J.; Trucks, G.W.; Schlegel, H.B.; Scuseria, G.E.; Robb, M.A.; Cheeseman, J.R.; Scalmani, G.; Barone, V.; Petersson, G.A.; Nakatsuji, H.; et al. Gaussian 16, Revision C.01; Gaussian, Inc.: Wallingford, CT, USA, 2016. [Google Scholar]
- Riley, K.E.; Tran, K.; Lane, P.; Murray, J.S.; Politzer, P. Comparative analysis of electrostatic potential maxima and minima on molecular surfaces, as determined by three methods and a variety of basis sets. J. Comput. Sci. 2016, 17, 273–284. [Google Scholar] [CrossRef]
- Politzer, P.; Martinez, J.; Murray, J.S.; Concha, M.C.; Toro-Labbé, A. An electrostatic interaction correction for improved crystal density prediction. Mol. Phys. 2009, 107, 2095–2101. [Google Scholar] [CrossRef]
- Qiu, L.; Xiao, H.; Gong, X.; Ju, X.; Zhu, W. Crystal density predictions for nitramines based on quantum chemistry. J. Hazard. Mater. 2007, 141, 280–288. [Google Scholar] [CrossRef]
- Rice, B.M.; Hare, J.J.; Byrd, E.F.C. Accurate predictions of crystal densities using quantum mechanical molecular volumes. J. Phys. Chem. A 2007, 111, 10874–10879. [Google Scholar] [CrossRef]
- Chang, J.-X.; Zou, J.-W.; Lou, C.-Y.; Ye, J.-X.; Feng, R.; Li, Z.-Y.; Hu, G.-X. Gas-to-ionic liquid partition: QSPR modeling and mechanistic interpretation. Mol. Inf. 2023, 42, 2200223. [Google Scholar] [CrossRef]
- Zhang, Z.-Y.; Wang, X.; He, Q.; Sun, Z. Chemical accuracy prediction of molecular solvation and partition in ionic liquids with educated estimators. J. Mol. Liq. 2023, 391, 123202. [Google Scholar] [CrossRef]
- Hallett, J.P.; Welton, T. Room-temperature ionic liquids: Solvents for synthesis and catalysis. 2. Chem. Rev. 2011, 111, 3508–3576. [Google Scholar] [CrossRef] [PubMed]
- Hayes, R.; Warr, G.G.; Atkin, R. Structure and nanostructure in ionic liquids. Chem. Rev. 2015, 115, 6357–6426. [Google Scholar] [PubMed]
- Lei, Z.; Chen, B.; Koo, Y.-M.; MacFarlane, D.R. Introduction: Ionic liquids. Chem. Rev. 2017, 117, 6633–6635. [Google Scholar] [CrossRef] [PubMed]
- Rumble, J.R., Jr.; Bruno, T.J.; Doa, M.J. (Eds.) Handbook of Chemistry and Physics, 101st ed.; CRC Press: Boca Raton, FL, USA, 2021. [Google Scholar]
- Available online: https://en.wikipedia.org/wiki (accessed on 23 October 2024).
- NCSS 2024 Statistical Software; NCSS, LLC: Kaysville, UT, USA, 2024; Available online: https://www.ncss.com/software/ncss (accessed on 23 October 2024).





| Molecule | Vol | Π | ν | ||||
|---|---|---|---|---|---|---|---|
| water | 26.0 | 23.9 | 152.7 | 134.7 | 287.4 | 0.249 | 71.6 |
| ammonia | 33.6 | 17.9 | 38.8 | 185.4 | 224.2 | 0.143 | 32.1 |
| N2 | 35.5 | 4.4 | 4.9 | 7.2 | 12.1 | 0.241 | 2.9 |
| methane | 41.5 | 3.0 | 5.8 | 0.9 | 6.7 | 0.113 | 0.7 |
| acetylene | 48.1 | 12.4 | 77.3 | 27.7 | 105.0 | 0.194 | 20.4 |
| methanol | 50.9 | 13.5 | 89.7 | 139.3 | 229.0 | 0.238 | 54.5 |
| dimethyl ether | 75.7 | 8.7 | 6.2 | 118.3 | 124.5 | 0.047 | 5.8 |
| Cation or Anion | Surface Area (Å2) | Volume (Å3) | (kcal/mol) | Π (kcal/mol) | (kcal/mol)2 | VS,max (kcal/mol) | VS,min (kcal/mol) |
|---|---|---|---|---|---|---|---|
| Na+ | 22.3 | 9.88 | 250.0 | 0 | 0 | 250.0 | 250.0 |
| K+ | 38.4 | 22.35 | 191.1 | 0 | 0 | 191.1 | 191.1 |
| NH4+ | 47.5 | 30.13 | 171.8 | 3.6 | 17.7 | 180.6 | 164.9 |
| EA+ | 95.2 | 77.13 | 124.5 | 23.1 | 655 | 164.0 | 87.8 |
| TMA+ | 131.1 | 125.9 | 107.6 | 10.7 | 176 | 146.7 | 90.3 |
| EMIM+ | 163.8 | 153.4 | 96.6 | 8.6 | 121 | 122.8 | 72.2 |
| BMIM+ | 208.1 | 201.5 | 86.1 | 15.3 | 330 | 120.7 | 49.1 |
| F− | 33.6 | 18.31 | −202.6 | 0 | 0 | −202.6 | −202.6 |
| Cl− | 60.9 | 44.72 | −149.1 | 0 | 0 | −149.1 | −149.1 |
| Br− | 66.9 | 51.44 | −142.4 | 0 | 0 | −142.4 | −142.4 |
| NO3− | 77.6 | 58.25 | −134.1 | 4.8 | 37.0 | −117.9 | −150.6 |
| BF4− | 82.4 | 62.47 | −131.5 | 4.2 | 23.9 | −121.6 | −142.6 |
| PF6− | 104.6 | 87.69 | −118.0 | 4.3 | 24.5 | −108.5 | −125.5 |
| MeSO4− | 119.6 | 106.05 | −109.4 | 24.3 | 754 | −52.1 | −139.0 |
| Ionic Salt or Liquid | Mp (°C) a [Exp] | Mp (°C) [Pred] |
|---|---|---|
| NaF | 993 | 984 |
| KF | 858 | 891 |
| NaCl | 800 | 790 |
| KCl | 770 | 743 |
| NaBr | 747 | 766 |
| KBr | 730 | 724 |
| NH4+Cl− | 338 | 266 |
| NH4+Br− | 235 | 249 |
| NH4+NO3− | 169.6 | 228 |
| [BMIM]+Br− | 78.2 | 56 |
| [EMIM]+Br− | 76.8 | 67 |
| [EMIM]+PF6− | 60.1 | 33 |
| [BMIM]+Cl− | 67.85 | 65 |
| [BMIM]+NO3− | 36.01 | 46 |
| [EMIM]+BF4− | 14 | 52 |
| [EA]+NO3− | 12 | 11 |
| [BMIM]+PF6− | 11.4 | 26 |
Disclaimer/Publisher’s Note: The statements, opinions and data contained in all publications are solely those of the individual author(s) and contributor(s) and not of MDPI and/or the editor(s). MDPI and/or the editor(s) disclaim responsibility for any injury to people or property resulting from any ideas, methods, instructions or products referred to in the content. |
© 2024 by the authors. Licensee MDPI, Basel, Switzerland. This article is an open access article distributed under the terms and conditions of the Creative Commons Attribution (CC BY) license (https://creativecommons.org/licenses/by/4.0/).
Share and Cite
Murray, J.S.; Riley, K.E.; Brinck, T. A Revival of Molecular Surface Electrostatic Potential Statistical Quantities: Ionic Solids and Liquids. Crystals 2024, 14, 995. https://doi.org/10.3390/cryst14110995
Murray JS, Riley KE, Brinck T. A Revival of Molecular Surface Electrostatic Potential Statistical Quantities: Ionic Solids and Liquids. Crystals. 2024; 14(11):995. https://doi.org/10.3390/cryst14110995
Chicago/Turabian StyleMurray, Jane S., Kevin E. Riley, and Tore Brinck. 2024. "A Revival of Molecular Surface Electrostatic Potential Statistical Quantities: Ionic Solids and Liquids" Crystals 14, no. 11: 995. https://doi.org/10.3390/cryst14110995
APA StyleMurray, J. S., Riley, K. E., & Brinck, T. (2024). A Revival of Molecular Surface Electrostatic Potential Statistical Quantities: Ionic Solids and Liquids. Crystals, 14(11), 995. https://doi.org/10.3390/cryst14110995

