Abstract
The presented article is about the axisymmetric deformation of an annular one-dimensional hexagonal piezoelectric quasicrystal actuator/sensor with different configurations, analyzed by the three-dimensional theory of piezoelectricity coupled with phonon and phason fields. The state space method is utilized to recast the basic equations of one-dimensional hexagonal piezoelectric quasicrystals into the transfer matrix form, and the state space equations of a laminated annular piezoelectric quasicrystal actuator/sensor are obtained. By virtue of the finite Hankel transform, the ordinary differential equations with constant coefficients for an annular quasicrystal actuator/sensor with a generalized elastic simple support boundary condition are derived. Subsequently, the propagator matrix method and inverse Hankel transform are used together to achieve the exact axisymmetric solution for the annular one-dimensional hexagonal piezoelectric quasicrystal actuator/sensor. Numerical illustrations are presented to investigate the influences of the thickness-to-span ratio on a single-layer annular piezoelectric quasicrystal actuator/sensor subjected to different top surface loads, and the effect of material parameters is also presented. Afterward, the present model is applied to compare the performance of different piezoelectric quasicrystal actuator/sensor configurations: the quasicrystal multilayer, quasicrystal unimorph, and quasicrystal bimorph.
1. Introduction
Piezoelectric actuator/sensor is a common type of smart material-based actuator/sensor. The converse piezoelectric effect is utilized for piezoelectric actuators, which can convert electric energy into mechanical energy output. In contrast, the piezoelectric sensor can transfer mechanical energy into electric energy output via the piezoelectric effect [1,2]. Compared with traditional actuators/sensors, piezoelectric actuators/sensors have been widely applied in many industrial areas because of their fast response, small size, high resolution, and low noise [3]. Accurately predicting the electro-mechanical coupling behaviors of piezoelectric actuators/sensors is crucial for their design and optimization. Over the past few years, the investigation of mechanical models for piezoelectric actuators/sensors has drawn the attention of scholars. Aabid et al. [4] presented a review of piezoelectric actuator applications in damaged structures and introduced the application of piezoelectric actuators in engineering in the form of structures such as plates, tubes, and pipes. The transform matrix method was used by Yu et al. [5] to establish the transfer conditions between the state vectors distributed on the interface for the forked piezoelectric actuators. Kulikov and Plotnikova [6] developed a hybrid-mixed four-node laminated solid-shell element with piezoelectric sensors and actuators regarding the extended Hu–Washizu variational principle. By the three-dimensional elastic theory of piezoelectric materials, Ding et al. [7] established the free vibration analysis model of piezoelectric circular plates. Wang et al. [8] obtained the analytical solution of functionally graded piezoelectric circular plates and used it to assemble the total response of arbitrary loads.
Various types of piezoelectric actuators/sensors have been proposed for multiple engineering applications. Based on the different requirements, a piezoelectric actuator/sensor can be classified as a unimorph actuator/sensor, a bimorph actuator/sensor, and a multilayer actuator/sensor. Unimorph is characterized by an elastic layer and a piezoelectric layer, and bimorph consists of two layers of piezoelectric materials with the same or opposite poling directions. Many investigations have been presented to predict the electro-mechanical coupling behaviors of actuators/sensors with different configurations. Based on the first-order shear deformation theory and nonlocal strain gradient theory, Mehralian and Beni [9] analyzed the free vibration of a bimorph functionally graded piezoelectric cylindrical shell. Chen and Yan [10] developed the nonlinear theoretical electro-mechanical models of both unimorph and bimorph piezoelectric energy harvesters. Askari et al. [11] focused on establishing the energy harvesting model made of piezoelectric bimorph by taking advantage of the first-order and third-order shear deformation theories. Ray and Jha [12] derived the exact solutions for the plate-type piezoelectric bimorph energy harvesters composed of laminated substrate plates and discussed the influences of variations in the off-axis angle on piezoelectric bimorph.
The progress in the field of materials technology has further promoted the development of piezoelectric materials. As a new type of novel piezoelectric materials, piezoelectric quasicrystals (QCs) refer to QCs endowed with piezoelectric properties [13,14,15,16]. According to the Landau density wave theory, QCs have two elementary excitations of low energy: phonon and phason fields [17]; therefore, the coupled fundamental fields in piezoelectric QCs are the phonon field as well as the phason field coupled with the electric field. Owing to the excellent properties of both QCs and piezoelectric materials, piezoelectric QCs are expected to be applied in electronic systems and energy harvesting systems, such as sensors, actuators, and energy harvesters [18,19]. Various mathematical models have been proposed to describe the multi-field coupling behaviors of piezoelectric QCs. In the frame of the nonlocal theory, Huang et al. [20] investigated the influence of the nonlocal scale parameter on the double-layer piezoelectric QC actuators. By taking advantage of the Legendre polynomial series method, Zhang et al. [21] studied the wave characteristics in functionally graded one-dimensional (1D) piezoelectric QC cylinders with different quasiperiodic directions. By virtue of the technique of conformal mapping, Guo et al. [19] analyzed the anti-plane problem of 1D piezoelectric QC composite with an elliptical inclusion. Zhou and Li [22] obtained an exact solution of two collinear cracks normal to the boundaries of a 1D layered hexagonal piezoelectric QC. Wang et al. [23] studied the static bending and free vibration problems of a two-dimensional decagonal piezoelectric QC beam and discussed the influence of boundary conditions on the QC beam. With the aid of the complex potential theory, Yang and Liu [24] investigated the surface influence on nano-cracks in 1D piezoelectric QCs.
To the best of the authors’ knowledge, there exist few direct reports to study and evaluate the electro-mechanical coupling behaviors of different annular piezoelectric QC actuator/sensor configurations. Therefore, the key problem for predicting the performance of an annular piezoelectric QC actuator/sensor problem lies in establishing accurate analytical models. In this paper, an axisymmetric analysis model for the annular 1D hexagonal piezoelectric QC actuator/sensor is established based on the three-dimensional elastic theory of piezoelectric QC. According to the established model, the influences of load form, geometrical, and material parameters on a single-layer annular piezoelectric QC actuator/sensor are discussed. Furthermore, the performance of different annular piezoelectric QC actuator/sensor configurations, such as QC multilayer, QC unimorph, and QC bimorph, is presented.
2. Problem Description and Basic Equations
A cylindrical coordinate system (r, θ, z) is considered for the N-ply annular 1D hexagonal piezoelectric QC actuator/sensor with the outer radius a, inner radius b, total thickness h, and j-th layer thickness hj, as illustrated in Figure 1. The center of the top surface of the annular QC actuator/sensor is defined as the origin of the coordinate (r, z) with the positive direction of the z-axis from the top surface to the bottom surface. The symmetric axis of the annular actuator is coincided with the z-axis, and the quasiperiodic and polarization directions of the 1D hexagonal piezoelectric QCs are assumed to be along with the z-axis.
Figure 1.
Schematic of an axisymmetric annular 1D piezoelectric QC actuator/sensor.
In the absence of body forces and free charges, the constitutive law for the 1D hexagonal piezoelectric QC in a cylindrical coordinate system (r, θ, z) can be rendered in non-dimensional form [25,26]
in which (i, j = r, θ, z) are dimensionless phonon stresses, dimensionless phason stresses, dimensionless electric displacements, and s stands for the thickness-to-span ratio of the annular actuator/sensor. It is noticed that the horizontal line above the physical quantities represents their dimensionless values. To better express the results, the following dimensionless parameters are introduced:
where elastic constants C are taken as the elastic constant of the first layer of the annular actuator/sensor; dielectric constants are taken as the dielectric constant of the first layer of the annular actuator/sensor; , , and are the phonon, phason and phonon-phason coupling elastic constants, respectively; and stand for phonon and phason piezoelectric constants, respectively; and represent phonon displacements; is the phason displacement; refers to dielectric constants; is electric potential; and stands for electric displacements.
According to the definition of dimensionless parameters in Equation (2), the constitutive relations for 1D hexagonal piezoelectric QCs corresponding to axisymmetric problems can be expressed as [25,27]
3. State Space Equations and Finite Hankel Transform
3.1. State Space Equations
Let , , , , , , , and be the state variables. By utilizing Equations (1) and (3), the following state space equations for arbitrary layer j of the annular QC actuator/sensor can be obtained and expressed in the matrix form as
in which
and the superscript “T” denotes the matrix transpose.
The sub-matrices and in Equation (4) can be derived as
and
where the coefficients (p = 1, 2, …, 6) and (q = 1, 2, …, 10) are presented in Appendix A. Furthermore, the other derived variables can be also obtained as
In terms of the coefficients given in Appendix A, Equations (8)–(11) can be rewritten in concise form as
in which the coefficient β11 is also presented in Appendix A.
3.2. Finite Hankel Transform
The Hankel transform is an important integral transformation method with extensive applications in physics, engineering technology, and mathematics. Due to the transformation being performed on (0, ∞), it is necessary to assume that the object is infinitely large, namely, to solve it in the entire three-dimensional space. However, axisymmetric objects with finite diameters are more common in engineering. In order to solve those engineering axisymmetric problems, the Hankel transform is extended to finite intervals. For the axisymmetric problem of the annular QC actuator/sensor, the finite Hankel transform is defined as
where m is the ratio of the inner and outer radius, namely, m = b/a. , and are the first- and second-kind Bessel functions of μ-th order, and μ = 0, 1. A and B are two constants to be determined according to the boundary conditions at the circumferential edges, which will be discussed in Section 4.
According to the definition of the finite Hankel transform in Equation (13), the state space vector in Equation (5) can be rewritten as
Substituting Equation (14) into Equation (4) yields
where the matrices , , and take the form as
4. Boundary Condition and General Solutions
In order to determine the parameter ki and the unknown constants A and B, the boundary conditions at the circumferential boundary of the annular QC actuator/sensor should be given. Note that Equation (12) has been used to obtain the matrices and in Equations (17) and (18). It is apparent that and can be satisfied for the elastic simple support boundary condition at the outer and inner circular edges
which is extended from the generalized elastic simple support boundary condition of the laminated transversely isotropic annular plates [28]. In this condition, the axial phonon displacement, axial phason displacement, and electric potential at the inner and outer boundaries vanish. As a result, Equation (15) becomes
and the solution of Equation (20) can be obtained as
where the propagator matrix for the j-th layer is
The perfectly bonded interfaces are assumed to exist between two adjacent layers of the annular actuator/sensor. Taking z = zj as an example to illustrate, the relationship between the state variables on the top surface of layer j and those on the bottom surface of layer j + 1 can be expressed as
Repeated application of the propagator matrices for the annular QC actuator/sensor results in
in which
The relationship of the state variables between the top and bottom surfaces of the annular QC actuator/sensor can be written as
Load I: Considering that only the mechanical load in the phonon field is acted on the top and bottom surfaces of the annular QC actuator/sensor, which takes the form as
By substituting the above dimensionless mechanical boundary conditions into Equation (26), the following equations can be derived:
Load II: It is assumed that only an electric potential load is applied on the top and bottom surfaces of the annular QC actuator/sensor, which takes the form as
In a similar manner to obtaining Equation (29), substitution of Equations (30) and (31) into Equation (26) gives
With the known state variables at in Equation (29) or Equation (32), the state vectors at any given z-level can be obtained by utilizing the propagator matrix repeatedly. In order to transfer the dimensionless displacement, stress, and electric components to those in the physical domain, the inverse Hankel transform presented by Cinelli is introduced [29], and we have
and substituting Equation (33) into Equation (12) leads to
According to the expression of the elastic simple support boundary condition in Equation (19), it can be found that the parameters k should satisfy
thus, the constants A and B can be taken as
By solving Equation (35), we can obtain a series of positive roots ki, which can be utilized to obtain the summation of Equations (33) and (34). It is obvious that the function satisfies the Bessel equation, which has good orthogonality properties. Once ki and kl satisfy the last formula in Equation (19), we have
where
If the load acting on the annular QC actuator/sensor is denoted by , which takes the form as
namely, μ = 0 in Equation (37), and Equation (38) can be rewritten as
As a result, only one non-zero term is left in the summation of physical quantities in the phonon, phason, and electric fields in Equations (33) and (34).
5. Numerical Examples
In this section, several types of annular QC actuators/sensors are investigated utilizing the general solution obtained in the previous section. The first one is given to prove the correctness of the general solution derived. In the second example, the influences of load form, geometrical, and material parameters on a single-layer annular piezoelectric QC actuator/sensor are presented. Finally, we investigate the different electro-mechanical coupling behaviors of annular actuators/sensors based on QC multilayer, QC unimorph, and QC bimorph.
5.1. Verification
For purposes of comparison, we degenerate the obtained model to an axisymmetric transversely isotropic annular plate model undergoing a top surface normal mechanical load as shown in Equation (39), where ki = 6.2461 is the first root of Equation (35). The first and third layers of the annular plate are made of transversely isotropic material I, and the middle layer is composed of transversely isotropic material II. The thickness of the middle layer is the summation of the thickness of the first and third layers. The elastic constants of material I are given by c11 = 139.0 GPa, c12 = 77.8 GPa, c13 = 74.3 GPa, c33 = 115.0 GPa, and c44 = 25.6 GPa, and those of material II are c11 = 1582.5 GPa, c12 = 315.1 GPa, c13 = 474.4 GPa, c33 = 616.0 GPa, and c44 = 400.0 GPa [28]. The ratio of the inner radius and outer radius is m = 0.5.
In order to check the accuracy of the current solution, two degenerated results are compared with those presented by Ding [28]. First, the comparison results of axial displacements (0.75, 0.5) for different thickness-to-span ratios s are presented in Table 1. It is obvious that the obtained results are in excellent agreement with those reported in Ref. [28]. Second, Figure 2 shows the comparison results of the through-thickness distribution of radial displacement (0.6, ), which also gives consistent results.
Table 1.
Comparison of axial displacement at a location (.
Figure 2.
Comparison of radial displacement of an axisymmetric sandwich annular plate with s = 0.25.
5.2. Effect of the Geometrical and Material Parameters on an Annular QC Actuator/Sensor
5.2.1. Effect of Thickness-to-Span Ratio on a QC Actuator/Sensor Subjected to a Mechanical Load
In this section, numerical examples are performed to reveal the influence of the thickness-to-span ratio on a single-layer QC actuator/sensor subjected to a top surface mechanical load, which takes the form in Equation (39), and ki is the first root for the elastic simple support boundary condition presented in Equation (19). The ratio of the inner and outer radius for the QC actuator/sensor is selected as m = 0.5, and the ratios of thickness-to-span of the actuator/sensor are taken as s = 0.3, 0.4, 0.5, respectively. In order to show the mechanical responses of an annular QC actuator/sensor with different thickness-to-span ratios, a fix location is chosen. The material properties for 1D hexagonal piezoelectric QCs are tabulated in Table 2 [27].
Table 2.
Material constants.
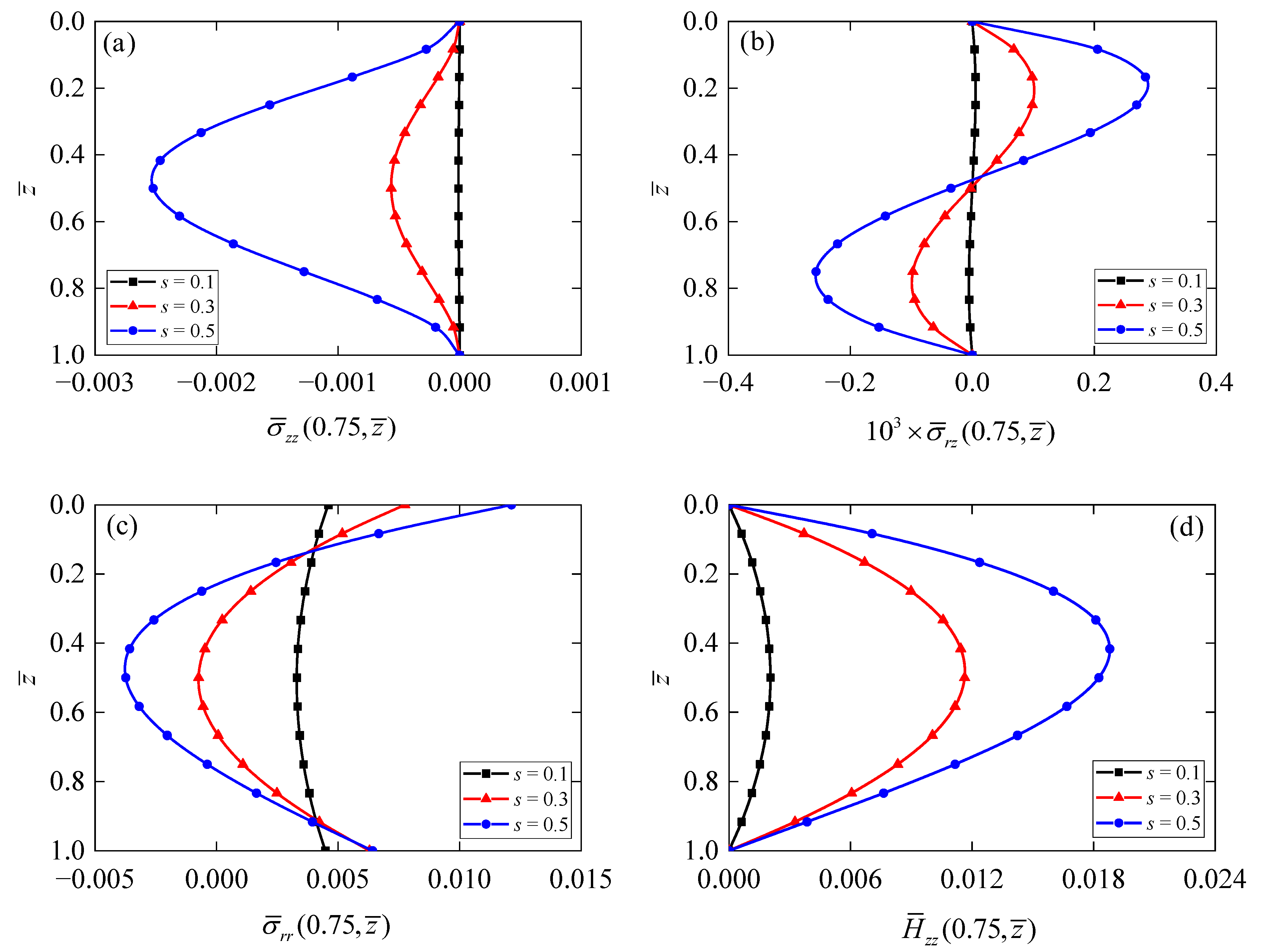
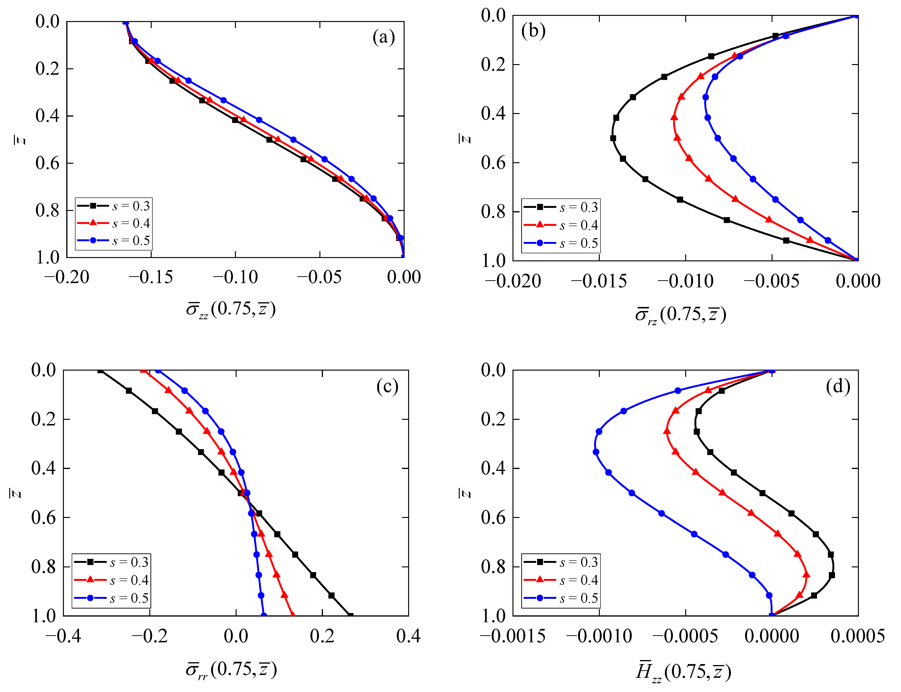
Figure 3 displays the influence of the thickness-to-span ratio on the stress components in the phonon and phason fields of an annular QC actuator/sensor. One can see that phonon stresses (Figure 3a) for all ratios are observed to be zero at the bottom surface, whereas those are non-zero at the top surface, and the values can be obtained from Equation (40). The phonon stress in Figure 3b with s = 0.5 is found to be smaller than that with the other two ratios, and the values for all ratios at the top and bottom surfaces are zero. The behaviors of and are consistent with the boundary conditions of the annular QC actuator/sensor. Furthermore, with the increment of the thickness-to-span ratio s, the stiffness of the QC actuator/sensor increases, which means the resistance to deformation ability is enhanced, so we can find decreases with deformation reduction. The value of phonon stress (Figure 3c) is observed to be maximum at s = 0.3, and it decreases with an increase in thickness-to-span ratio from 0.3 to 0.5. This is because the increase in thickness-to-span ratio of the annular QC actuator/sensor leads to the enhancement of its stiffness. The curve of phason stress (Figure 3d) for s = 0.5 is similar to a parabola type, and the maximum of for all ratios is also observed from the curve corresponding with s = 0.5. It is apparent that the change law of phason stress concerning the thickness-to-span ratio is different from those of phonon stresses.
Figure 3.
Influence of thickness-to-span ratio on phonon and phason stresses with the z-coordinate at a select location ( for an annular QC actuator/sensor subjected to a top surface mechanical load: (a) phonon stress ; (b) phonon stress ; (c) phonon stress ; and (d) phason stress .
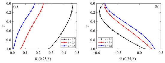
The variations of the phonon and phason displacements for different thickness-to-span ratios are collected in Figure 4. It can be observed from Figure 4a that an increase in thickness-to-span ratio s results in a decrease in phonon displacement . This is because the deformation-resistant capacity of the annular QC actuator/sensor enhances with increasing s. The similar change law of can also be observed for phason displacement from Figure 4b.
Figure 4.
Influence of thickness-to-span ratio on phonon and phason displacements with the z-coordinate at a select location () for an annular QC actuator/sensor subjected to a top surface mechanical load: (a) phonon displacement ; (b) phason displacement .
Figure 5 shows the dependences of electric potential and electric displacement on the thickness-to-span ratio of the annular QC actuator/sensor. It is observed that for all thickness-to-span ratios, the maximum value of electric potential (Figure 5a) occurs when s = 0.3, and its value decreases and then increases with the increment of the z-coordinate. In addition, the values of increase with decreasing the thickness-to-span ratio s. On the contrary, it can be observed from Figure 5b that electric displacement increases with an increase in thickness-to-span ratio s.
Figure 5.
Influence of thickness-to-span ratio on physical quantities in an electric field with the z-coordinate at a select location () for an annular QC actuator/sensor subjected to a top surface mechanical load: (a) electric potential ; (b) electric displacement .
The thickness-to-span ratio of the piezoelectric layer is one of the important factors affecting the performance of the QC actuator/sensor. According to the above discussion, it is clear that the decrease in thickness-to-span ratio s leads to an increment in phonon displacement and phason displacement , thereby improving the response speed and sensitivity of the QC actuator/sensor. However, phonon stresses and increase with decreasing the thickness-to-span ratio s, which can affect the mechanical strength of the QC actuator/sensor.
5.2.2. Effect of Thickness-to-Span Ratio on a QC Actuator/Sensor Subjected to an Electric Potential Load
In this section, the numerical results of the single-layer annular QC actuator/sensor subjected to a top surface electric potential load are chosen to present, and the load form is the same as that in Section 5.2.1. The behaviors of the annular QC actuator/sensor with different thickness-to-span ratios are investigated, and the ratios of thickness-to-span of the annular QC actuator/sensor are taken as s = 0.1, 0.3, and 0.5, respectively.
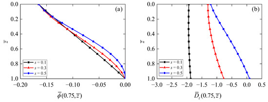
Figure 6 depicts the effect of thickness-to-span ratio s on electric potential and electric displacement of the annular QC actuator/sensor. It is clear from Figure 6a that the values of electric potential for all ratios s at the top surface are the same, and they are equal to those calculated from Equation (40). Also, the values of for all ratios s at the bottom surface are zero due to no load applied on the bottom surface. And we find that the distribution of with s = 0.1 is very close to linear, while the other two ratios s are nonlinear. The curves in Figure 6b clearly display the difference of electric displacements for all ratios s; the absolute value of increases with decreasing thickness-to-span ratio s.
Figure 6.
Influence of thickness-to-span ratio on physical quantities in an electric field with the z-coordinate at a select location () for an annular QC actuator/sensor subjected to a top surface electric potential load: (a) electric potential ; (b) electric displacement .
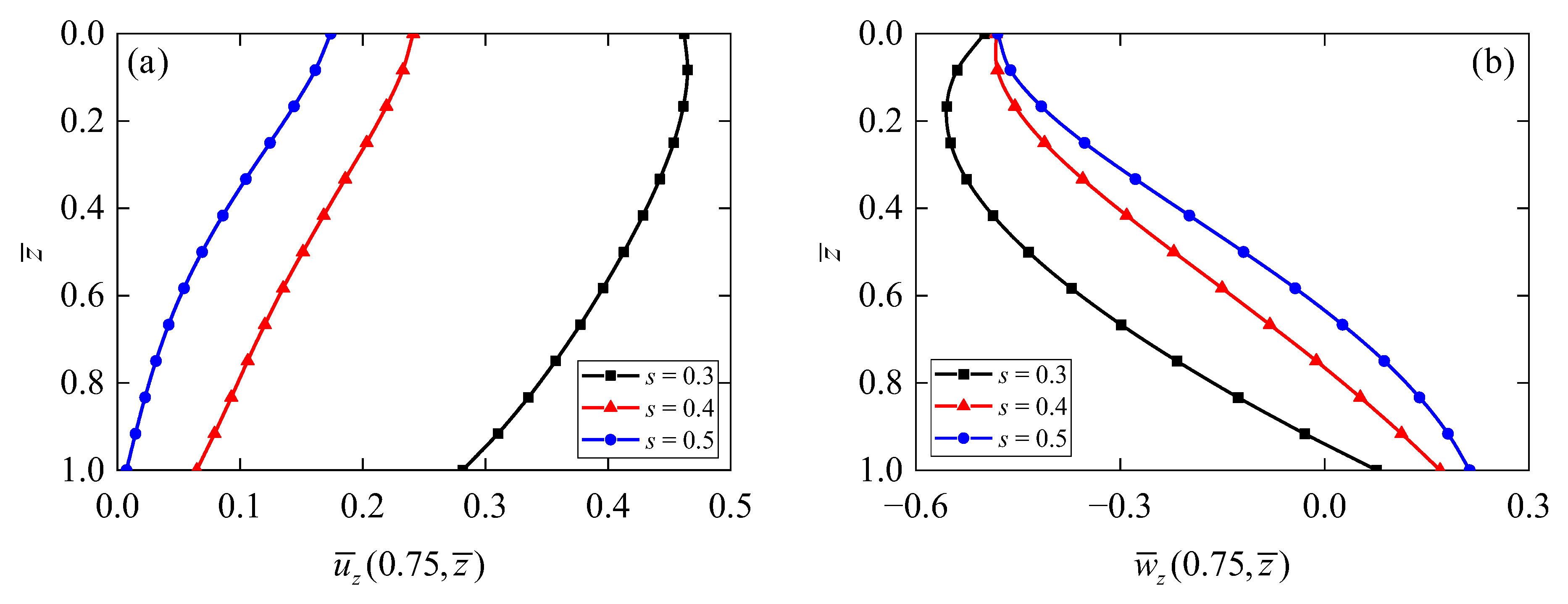
Figure 7 shows the distribution of displacement components in phonon and phason fields for different thickness-to-span ratios s. It can be found from Figure 7a that the decrement of the thickness-to-span ratio leads to an increment in phonon displacement , which causes the decrease in the load-bearing capacity of the annular QC actuator/sensor. Following the similar trend of , a noticeable increment in the phason displacement (Figure 7b) occurs with decreasing the thickness-to-span ratio s. In sum, the larger deformations are induced with smaller s in the case of the inverse piezoelectric effect.
Figure 7.
Influence of thickness-to-span ratio on phonon and phason displacements with the z-coordinate at a select location () for an annular QC actuator/sensor subjected to a top surface electric potential load: (a) phonon displacement ; (b) phason displacement .
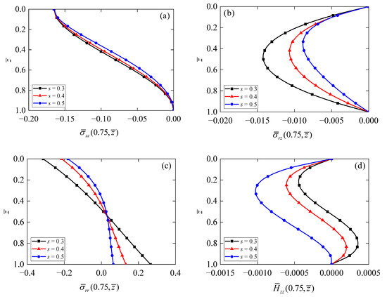
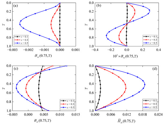
Figure 8 reveals the dependences of phonon and phason stresses on the thickness-to-span ratio s of an annular QC actuator/sensor. The values of phonon stress (Figure 8a), phonon stress (Figure 8b), and phason stress (Figure 8d) at the top and bottom surfaces are zero, indicating that their behaviors are consistent with the boundary conditions of the annular QC actuator/sensor. It is further found that the curves for are symmetric about , while the curves for are antisymmetric about . Phonon stress (Figure 8c), , and increase with increasing thickness-to-span ratio s; also follows the similar rule.
Figure 8.
Influence of thickness-to-span ratio on phonon and phason stresses with the z-coordinate at a select location ( for an annular QC actuator/sensor subjected to a top surface electric potential load: (a) phonon stress ; (b) phonon stress ; (c) phonon stress ; and (d) phason stress .
5.2.3. Effect of Dielectric Coefficients on a Single-Layer Annular QC Actuator/Sensor
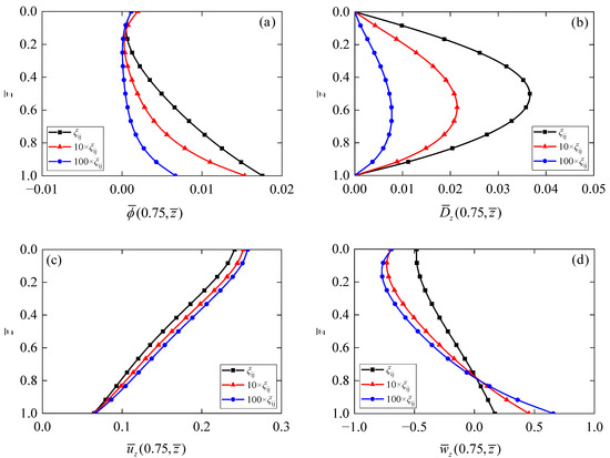
Consider a single-layer QC actuator subjected to a top surface mechanical load. The ratio of the inner and outer radius is taken as m = 0.5, and the ratio of the thickness-to-span of the actuator/sensor is taken as s = 0.4. In order to study the influence of dielectric coefficients on electric, phonon, and phason fields, the dielectric coefficients ξij are varied proportionally by multiplying factors 1.0, 10, and 100.
Figure 9 reveals the influences of dielectric coefficients on electric, phonon, and phason fields. It can be found from Figure 9a–b that the electric potential and electric displacement are very sensitive to the dielectric coefficients. decreases with increasing the dielectric coefficients, and a similar trend is observed for . The dependence of phonon displacement (Figure 9c) and phason displacement (Figure 9d) on dielectric coefficients is also significant, and the increment of dielectric coefficients leads to an increase in and . It can be observed from Figure 9e–f that the sensitivity of phonon and phason stresses to dielectric coefficients is found to be not always identical. Namely, a slight variation in phonon stress is induced by the variation in dielectric coefficients, while an obvious variation in phason stress is observed.

Figure 9.
Influence of dielectric coefficients on electric, phonon, and phason fields with the z-coordinate at a select location () for an annular QC actuator/sensor subjected to a top surface mechanical load: (a) electric potential ; (b) electric displacement ; (c) phonon displacement ; (d) phason displacement ; (e) phonon stress ; and (f) phason stress .
5.3. Performance of Different Types of Annular QC Actuators/Sensors
Piezoelectric QC actuators/sensors come in different configurations owing to differences in manufacturing; three types are depicted in Figure 10, which will be discussed in this section. Type (a) is an annular multilayer made of piezoelectric QCs that are poled to be along the positive z-axis. Type (b) unimorph consists of the first layer of piezoelectric QCs and the second layer of non-piezoelectric materials. Type (c) bimorph is a series bimorph with opposite poling pointing towards the interface of annular QC actuators/sensors, namely, the elastic constants and dielectric coefficients of the upper and lower QC layers are the same, while their piezoelectric coefficients are of opposite signs [30].
Figure 10.
The different configurations of piezoelectric QC actuators/sensors: (a) the QC multilayer; (b) the QC unimorph; and (c) the QC bimorph.
All three types are two-layer, equally thick structures, and the ratio of the thickness-to-span s = 0.4 and the ratio of the inner and outer radius m = 0.5. The material of the piezoelectric layer consists of 1D hexagonal piezoelectric QCs. The material of the non-piezoelectric layer is made of aluminum, where the elastic constant is E = 70 GPa and the poisson’s ratio is v = 0.3 [31]. Consider the responses of three types of annular QC actuators/sensors subjected to a top surface mechanical load, as shown in Equation (39); ki is the first root for the elastic simple support boundary condition presented in Equation (19).
Figure 11 shows the variations in stress components in phonon and phason fields of different configurations of the annular QC actuator/sensor. In the presence of only the applied phonon stress along the thickness direction on the top surface of the actuator/sensor, the values of phonon stress (Figure 11a), phonon stress (Figure 11b), and phason stress (Figure 11d) at the top and bottom surfaces turned out to be zero. The behaviors of the above physical quantities matching the boundary conditions can somewhat evaluate the obtained results’ correctness. Observing from Figure 11a, owing to the same load on the top surface, the values of are found to be the same in all types of actuators/sensors. However, a little difference for the curve of in QC unimorph compared with the other two types of actuators is also presented in Figure 11a. It is clear from Figure 11b that the distributions of for different actuators/sensors present as parabolic functions. The maximum of in the QC unimorph is larger than that in the QC multilayer or QC bimorph. It is observed from Figure 11c that the radial component of the phonon stress exhibits a jump at the interface of the QC unimorph, which is induced by the different materials in each layer. A slight jump can also be observed from in the QC bimorph, while it is continuous at the interface of the QC multilayer. Moreover, the value of at the bottom surface of the QC multilayer is a little larger than that in the other types of actuators/sensors. It can be found from Figure 11d that the maximum of in the QC bimorph with oppositely poled layers is found to be nearly twice that in the QC multilayer with the same poling direction in both layers. Furthermore, the curve for in the QC multilayer is antisymmetric about the interface of the actuator/sensor, while the same phenomenon is not found in the other two types of actuators. It is clear that in the substrate of the QC unimorph is zero because of no phason field in aluminum.
Figure 11.
Variation in phonon and phason stresses with the z-coordinate at a select location () for different types of annular QC actuators/sensors: (a) phonon stress ; (b) phonon stress ; (c) phonon stress ; (d) phason stress .
Figure 12 presents the displacement components in phonon and phason fields for the different annular QC actuators/sensors. By observing phonon displacement in Figure 12a, its value in the QC unimorph at any given z-level is larger than that in the QC bimorph or the QC multilayer. It is indicated that the load-carrying capability of the QC unimorph is not as good as the other two types. While one way to enhance the load-carrying capability is to increase the thickness of the substrate. It can also be found that the variation in between the top and bottom surfaces in the QC bimorph is slightly smaller than that in the QC multilayer, which is due to the inward series configurations of the QC bimorph. The phason displacements for different types of actuators/sensors are shown in Figure 12b. It is clear that in the substrate of the QC unimorph, which is on account of no phason field in the non-piezoelectric layer. Although the coefficients of the phason field in the QC multilayer and QC bimorph are the same, the opposite piezoelectric coefficients make the range of variation in in the QC bimorph smaller than that in the QC multilayer.
Figure 12.
Variation in phonon and phason displacements with the z-coordinate at a select location () for different types of annular QC actuators/sensors: (a) phonon displacement ; (b) phason displacement .
Figure 13 shows the distributions of electric potential and electric displacement along the thickness of the annular QC actuators/sensors with different configurations. Electric potential (Figure 13a) in the substrate of the QC unimorph came out to be zero as the substrate of the QC unimorph is made up of non-piezoelectric materials aluminum. It can be found that the sudden change in is induced in the interface of the QC bimorph, which is attributed to the opposite directions in polarization. In addition, the electric potential at the bottom surface is lower than that at the top surface. On the contrary, the electric potential at the bottom surface of the QC multilayer is larger than that at the top surface. Moreover, the electric potential difference of the QC multilayer is slightly larger than that in the QC bimorph. The electric displacements for different actuators/sensors are evaluated in Figure 13b. The maximum values of for all types are found at the interface of the structures. It is apparent that the maximum value of in the QC bimorph is smaller than that in the other two types. Figure 13b also indicates that the electric field intensity in the QC bimorph is stronger than that in the QC multilayer; this is mainly because the piezoelectric coefficients for different polarization materials are of opposite signs.
Figure 13.
Variation in physical quantities in an electric field with the z-coordinate at a select location () for different types of annular QC actuators/sensors: (a) electric potential ; (b) electric displacement .
6. Conclusions
This paper aims to present a novel analytical model for the axisymmetric deformation problem of the annular piezoelectric QC actuator/sensor. The exact axisymmetric electro-elastic solution for the annular 1D hexagonal piezoelectric QC actuator/sensor is obtained using the state space method and finite Hankel transform. Unlike the latter’s application in the axisymmetric problem of the circular plate model, the present finite Hankel transform is expressed by both the first- and second-kind Bessel functions, which increases the difficulty of solving the problem. In the numerical examples, the electro-mechanical behaviors of an elastic simple support annular QC actuator/sensor subjected to different loads are investigated, and the influence of material constants is also discussed. Moreover, the diverse performance of annular actuators/sensors, such as QC multilayer, QC unimorph, and QC bimorph, is illustrated.
Numerical results show some insights obtained based on the present analytical model. The specific conclusions are as follows: (1) The thickness-to-span ratio and dielectric coefficients have the significant effects on phonon, phason, and electric fields of the single-layer QC actuator/sensor. For the top surface mechanical load, decreasing the thickness-to-span ratio leads to an increase in electric potential , phonon displacement , phonon stress , and phonon stress , while the phason stress does not strictly follow the similar change law. For the top surface electric potential load, decreasing the thickness-to-span ratio leads to a decrease in stress components in phonon and phason fields, while the opposite change law is observed from the phonon displacement and phason displacement. (2) According to the behavior of , it can be found that the load-carrying capability of the QC unimorph is not as good as that of the other two types. In addition, the opposite piezoelectric coefficients lead to the range variation in the phason displacement in the QC bimorph being lower than that in the QC multilayer. (3) The interface discontinuous gap of in the QC bimorph is smaller than that in the QC multilayer, which can reduce the risk of delamination of the QC actuator/sensor. As for the phason stress , its maximum in the QC bimorph layers is found to be nearly twice that in the QC multilayer. (4) The maximum value of in the QC bimorph is smaller than that in the other two configurations. However, the potential difference between the top and bottom surfaces of the QC bimorph is larger than that of the QC unimorph. This work systematically investigates the axisymmetric behaviors of an annular 1D hexagonal piezoelectric QC actuator/sensor with different configurations; the results could be useful for the design and optimization of annular QC actuators/sensors.
Author Contributions
Conceptualization, Y.L. and Y.G.; methodology, Y.L.; writing—original draft preparation, Y.L.; writing—review and editing, Y.G. All authors have read and agreed to the published version of the manuscript.
Funding
This work is supported by the National Natural Science Foundation of China (Nos. 12102481; 12272402).
Data Availability Statement
No new data were created or analyzed in this study.
Conflicts of Interest
The authors declare no conflicts of interest.
Appendix A
References
- Mohith, S.; Upadhya, A.R.; Navin, K.P.; Kulkarni, S.M.; Rao, M. Recent trends in piezoelectric actuators for precision motion and their applications: A review. Smart Mater. Struct. 2021, 30, 013002. [Google Scholar] [CrossRef]
- Zhu, J.; He, L. Piezoelectric actuator/sensor wave propagation based nondestructive active monitoring method of concrete structures. J. Wuhan Univ. Technol. Mater. Sci. Ed. 2011, 26, 541–547. [Google Scholar] [CrossRef]
- Gao, X.; Yang, J.; Wu, J.; Xin, X.; Li, Z.; Yuan, X.; Shen, X.; Dong, S. Piezoelectric Actuators and Motors: Materials, Designs, and Applications. Adv. Mater. Technol. 2020, 5, 1900716. [Google Scholar] [CrossRef]
- Aabid, A.; Hrairi, M.; Mohamed Ali, S.J.; Ibrahim, Y.E. Review of piezoelectric actuator applications in damaged structures: Challenges and opportunities. ACS Omega 2023, 8, 2844–2860. [Google Scholar] [CrossRef]
- Yu, P.; Wang, L.; Zhang, S.; Jin, J. Transfer matrix modeling and experimental verification of forked piezoelectric actuators. Int. J. Mech. Sci. 2022, 232, 107604. [Google Scholar] [CrossRef]
- Kulikov, G.; Plotnikova, S. Three-dimensional thermoelectroelastic analysis of structures with distributed piezoelectric sensors and actuators with temperature-dependent material properties. Mech. Adv. Mater. Struct. 2023, 30, 3979–3996. [Google Scholar] [CrossRef]
- Ding, H.J.; Xu, R.Q.; Chi, Y.W.; Chen, W.Q. Free axisymmetric vibration of transversely isotropic piezoelectric circular plates. Int. J. Solids Struct. 1999, 36, 4629–4652. [Google Scholar] [CrossRef]
- Wang, Y.; Xu, R.; Ding, H. Analytical solutions of functionally graded piezoelectric circular plates subjected to axisymmetric loads. Acta Mech. 2010, 215, 287–305. [Google Scholar] [CrossRef]
- Mehralian, F.; Beni, Y.T. Vibration analysis of size-dependent bimorph functionally graded piezoelectric cylindrical shell based on nonlocal strain gradient theory. J. Braz. Soc. Mech. Sci. Eng. 2018, 40, 1–15. [Google Scholar] [CrossRef]
- Chen, Y.; Yan, Z. Nonlinear analysis of unimorph and bimorph piezoelectric energy harvesters with flexoelectricity. Compos. Struct. 2021, 259, 113454. [Google Scholar] [CrossRef]
- Askari, M.; Brusa, E.; Delprete, C. Vibration energy harvesting via piezoelectric bimorph plates: An analytical model. Mech. Adv. Mater. Struct. 2023, 30, 4764–4785. [Google Scholar] [CrossRef]
- Ray, M.C.; Jha, B.K. Exact solutions for bimorph cross-ply and antisymmetric angle-ply plate piezoelectric energy harvesters. Compos. Struct. 2022, 286, 115261. [Google Scholar] [CrossRef]
- Hu, C.Z.; Wang, R.H.; Ding, D.H.; Yang, W.G. Piezoelectric effects in quasicrystals. Phys. Rev. B 1997, 56, 2463–2468. [Google Scholar] [CrossRef]
- Yang, W.; Wang, R.; Ding, D.-H.; Hu, C. Elastic strains induced by electric fields in quasicrystals. J. Phys. Condens. Matter 1995, 7, L499. [Google Scholar] [CrossRef]
- Rao, K.R.M.; Rao, P.H.; Chaitanya, B.S.K. Piezoelectricity in quasicrystals: A group-theoretical study. J. Phys. 2007, 68, 481–487. [Google Scholar] [CrossRef]
- Hu, K.; Meguid, S.; Zhong, Z.; Gao, C.-F. Partially debonded circular inclusion in one-dimensional quasicrystal material with piezoelectric effect. Int. J. Mech. Mater. Des. 2020, 16, 749–766. [Google Scholar] [CrossRef]
- Levine, D.; Lubensky, T.; Ostlund, S.; Ramaswamy, S.; Steinhardt, P.J.; Toner, J. Elasticity and dislocations in pentagonal and icosahedral quasicrystals. Phys. Rev. Lett. 1985, 54, 1520. [Google Scholar] [CrossRef] [PubMed]
- Jbaily, A.; Yeung, R.W. Piezoelectric devices for ocean energy: A brief survey. J. Ocean. Eng. Mar. Energy 2015, 1, 101–118. [Google Scholar] [CrossRef]
- Guo, J.H.; Zhang, Z.Y.; Xing, Y.M. Antiplane analysis for an elliptical inclusion in 1D hexagonal piezoelectric quasicrystal composites. Philos. Mag. 2016, 96, 349–369. [Google Scholar] [CrossRef]
- Huang, Y.; Chen, J.; Zhao, M.; Feng, M. Electromechanical coupling characteristics of double-layer piezoelectric quasicrystal actuators. Int. J. Mech. Sci. 2021, 196, 106293. [Google Scholar] [CrossRef]
- Zhang, B.; Wang, X.H.; Elmaimouni, L.; Yu, J.G.; Zhang, X.M. Axial guided wave characteristics in functionally graded one-dimensional hexagonal piezoelectric quasi-crystal cylinders. Math. Mech. Solids 2022, 27, 125–143. [Google Scholar] [CrossRef]
- Zhou, Y.B.; Li, X.F. Exact solution of two collinear cracks normal to the boundaries of a 1D layered hexagonal piezoelectric quasicrystal. Philos. Mag. 2018, 98, 1780–1798. [Google Scholar] [CrossRef]
- Wang, Y.; Liu, C.; Zhu, Z.; Zhang, L.; Gao, Y. Analysis of multilayered two-dimensional decagonal piezoelectric quasicrystal beams with mixed boundary conditions. Eur. J. Mech. A/Solids 2024, 106, 105333. [Google Scholar] [CrossRef]
- Yang, D.; Liu, G. Anti-plane problem of nano-cracks emanating from a regular hexagonal nano-hole in one-dimensional hexagonal piezoelectric quasicrystals*. Chin. Phys. B 2020, 29, 104601. [Google Scholar] [CrossRef]
- Li, Y.; Li, Y.; Qin, Q.; Yang, L.; Gao, Y. Axisymmetric bending analysis of functionally graded one-dimensional hexagonal piezoelectric quasi-crystal circular plate. Proc. R. Soc. A 2020, 476, 20200301. [Google Scholar] [CrossRef]
- Wu, Y.F.; Chen, W.Q.; Li, X.Y. Indentation on one-dimensional hexagonal quasicrystals: General theory and complete exact solutions. Philos. Mag. 2013, 93, 858–882. [Google Scholar] [CrossRef]
- Li, X.Y.; Li, P.D.; Wu, T.H.; Shi, M.X.; Zhu, Z.W. Three-dimensional fundamental solutions for one-dimensional hexagonal quasicrystal with piezoelectric effect. Phys. Lett. A 2014, 378, 826–834. [Google Scholar] [CrossRef]
- Ding, H.; Xu, R. Exact solution for axisymmetric deformation of laminated transversely isotropic annular plates. Acta Mech. 2002, 153, 169–182. [Google Scholar] [CrossRef]
- Sneddon, I.N. Fourier Transforms; McGraw-Hill: New York, NY, USA, 1951. [Google Scholar]
- He, L.H.; Lim, C.W.; Soh, A.K. Three-dimensional analysis of an antiparallel piezoelectric bimorph. Acta Mech. 2000, 145, 189–204. [Google Scholar] [CrossRef]
- Vel, S.S.; Batra, R. Three-dimensional exact solution for the vibration of functionally graded rectangular plates. J. Sound Vib. 2004, 272, 703–730. [Google Scholar] [CrossRef]
Disclaimer/Publisher’s Note: The statements, opinions and data contained in all publications are solely those of the individual author(s) and contributor(s) and not of MDPI and/or the editor(s). MDPI and/or the editor(s) disclaim responsibility for any injury to people or property resulting from any ideas, methods, instructions or products referred to in the content. |
© 2024 by the authors. Licensee MDPI, Basel, Switzerland. This article is an open access article distributed under the terms and conditions of the Creative Commons Attribution (CC BY) license (https://creativecommons.org/licenses/by/4.0/).