The Universal Scaling of Dielectric Response as a Tool in the Description of a Complex Dynamic of 4′-Butyl-4-(2-methylbutoxy)azoxybenzene (4ABO5*)
Abstract
1. Introduction
2. Materials and Methods
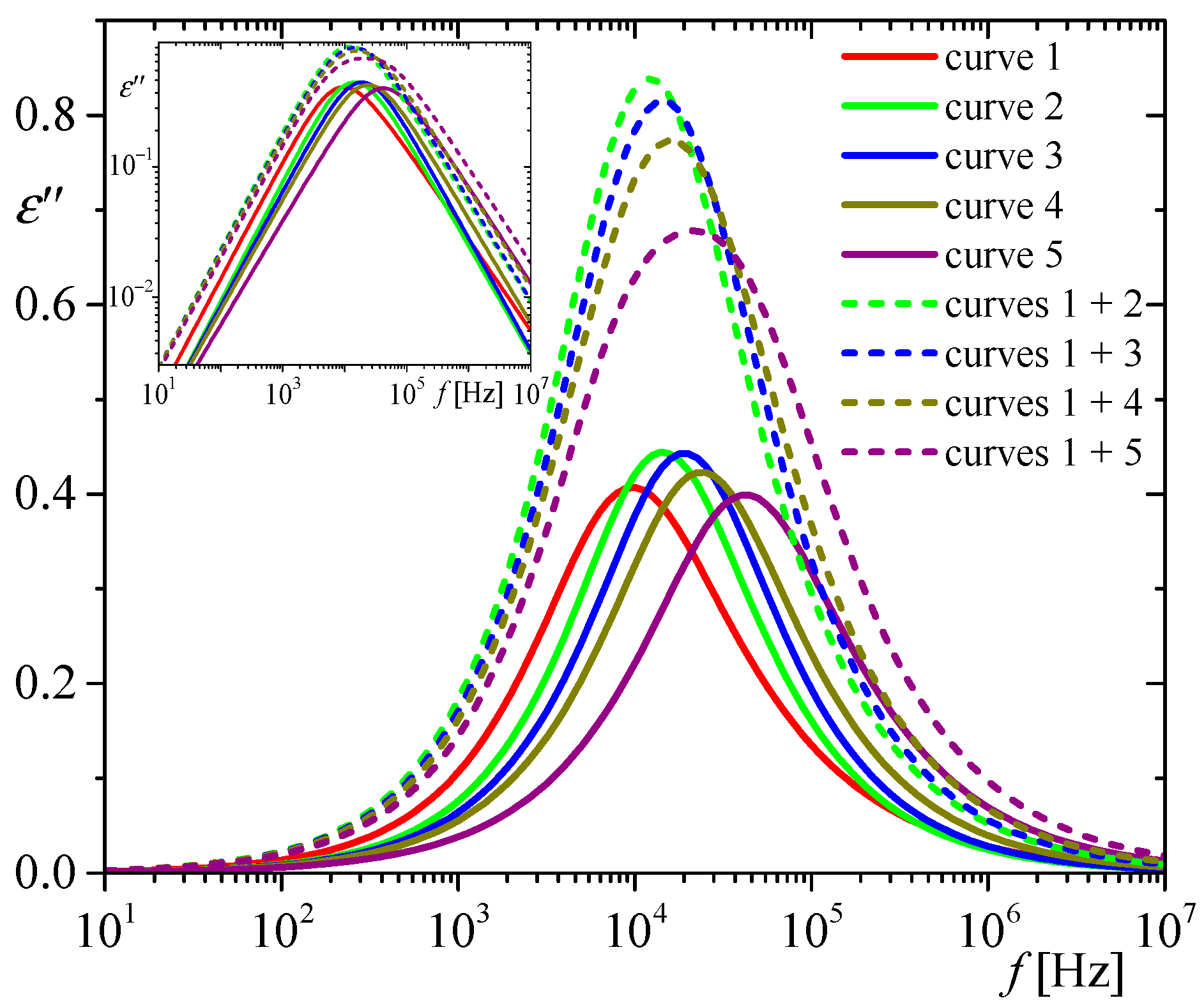
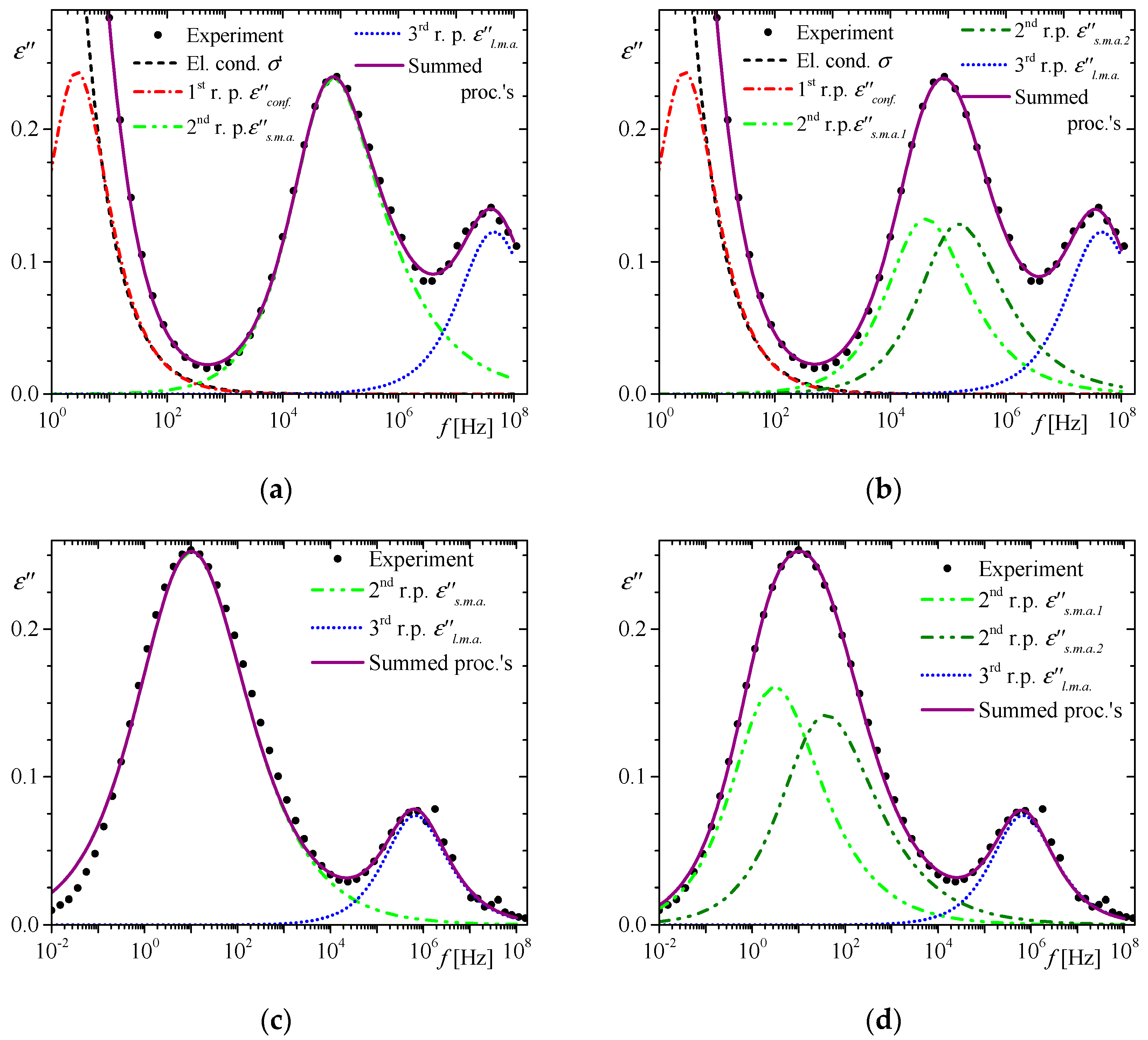
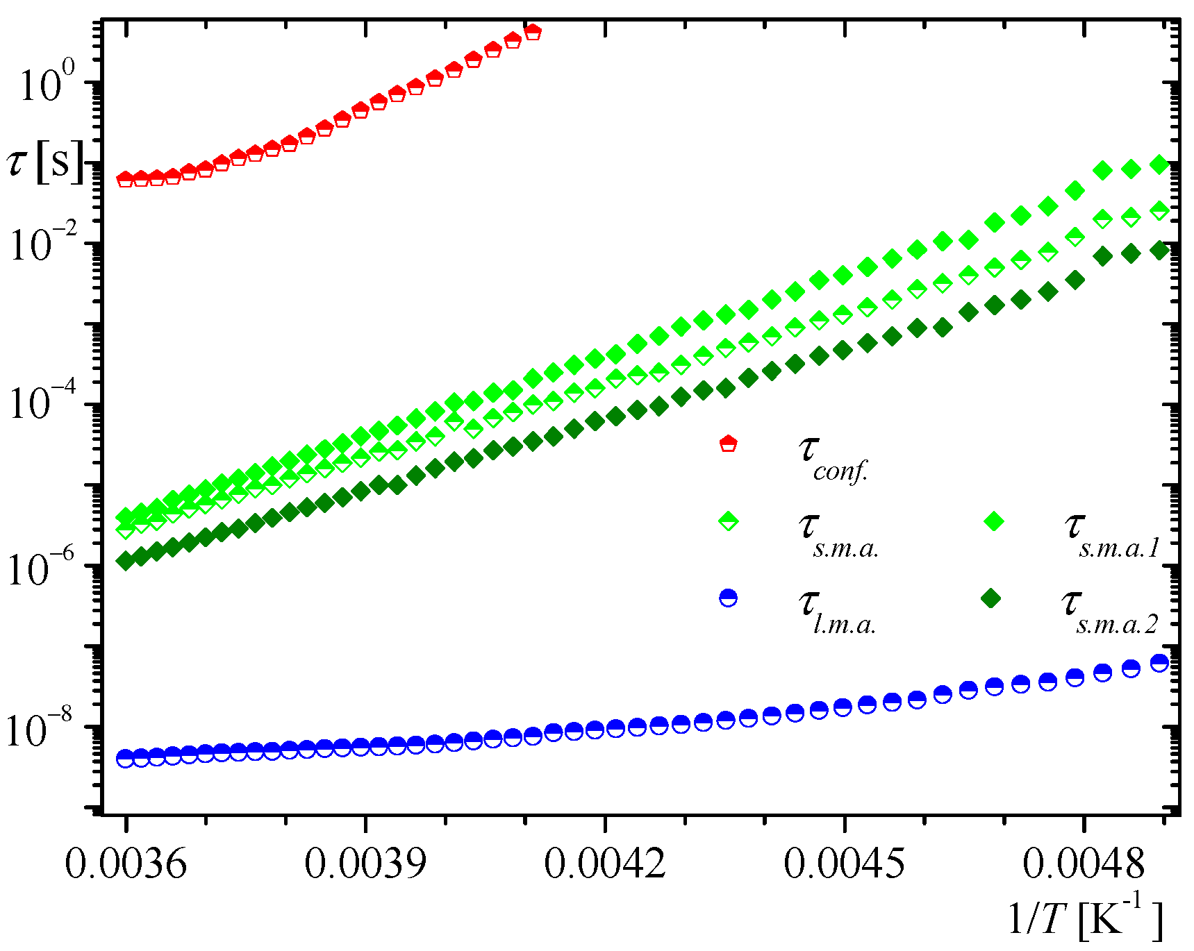
3. Theoretical Background
4. Discussion
5. Conclusions
Supplementary Materials
Author Contributions
Funding
Data Availability Statement
Acknowledgments
Conflicts of Interest
References
- Haase, W.; Wróbel, S. (Eds.) Relaxation Phenomena, 1st ed.; Springer: Berlin/Heidelberg, Germany, 2003. [Google Scholar]
- Böttcher, C.J.F.; Bordewijk, P. Theory of Dielectric Polarization, 2nd ed.; Elsevier Science Publisher B.V.: Amsterdam, The Netherlands, 1979; Volume 2. [Google Scholar]
- Kremer, F.; Schönhals, A. (Eds.) Broadband Dielectric Spectroscopy, 1st ed.; Springer: Berlin/Heidelberg, Germany, 2002. [Google Scholar]
- Cole, K.S.; Cole, R.H. Dispersion and absorption in dielectrics I. Alternating current characteristics. J. Chem. Phys. 1941, 9, 341–351. [Google Scholar] [CrossRef]
- Davidson, D.W.; Cole, R.H. Dielectric relaxation in glycerin. J. Chem. Phys. 1950, 18, 1417. [Google Scholar] [CrossRef]
- Davidson, D.W.; Cole, R.H. Dielectric relaxation in glycerol, propylene glycol, and n-propanol. J. Chem. Phys. 1951, 19, 1484–1490. [Google Scholar] [CrossRef]
- Havriliak, S.; Negami, S. A complex plane analysis of a-dispersions in some polymer systems. J. Polym. Sci. Part C 1966, 14, 99–117. [Google Scholar] [CrossRef]
- Dissado, L.A.; Hill, R.M. A cluster approach to the structure of imperfect materials and their relaxation spectroscopy. Proc. R. Soc. A 1983, 390, 131–180. [Google Scholar] [CrossRef]
- Dissado, L.A.; Hill, R.M. The fractal nature of the cluster model dielectric response functions. J. Appl. Phys. 1989, 66, 2511–2524. [Google Scholar] [CrossRef]
- Oberhettinger, F. Hypergeometric functions. In Handbook of Mathematical Functions with Formulas, Graphs, and Mathematical Tables, 1st ed.; Abramowitz, M., Stegun, I.A., Eds.; National Bureau of Standards: Washington, DC, USA, 1964; Volume 55, pp. 555–566. [Google Scholar]
- Schönhals, A.; Schloser, E. Dielectric relaxation in polymeric solids Part 1. A new model for the interpretation of the shape of the dielectric relaxation function. Colloid Polym. Sci. 1989, 267, 125–132. [Google Scholar] [CrossRef]
- Schloser, E.; Schönhals, A. Dielectric relaxation in polymer solids Part 2: Application of the new model to polyurethane systems. Colloid Polym. Sci. 1989, 267, 133–138. [Google Scholar] [CrossRef]
- Gałązka, M.; Juszyńska-Gałązka, E.; Osiecka, N.; Massalska-Arodź, M.; Bąk, A. On new scaling of dielectric response. J. Appl. Phys. 2015, 118, 064101. [Google Scholar] [CrossRef]
- Jonscher, A.K. The ‘universal’ dielectric response. Nature 1977, 267, 673–679. [Google Scholar] [CrossRef]
- Dixon, P.K.; Wu, L.; Nagel, S.R.; Williams, B.D.; Carini, J.P. Scaling in the relaxation of supercooled liquids. Phys. Rev. Lett. 1990, 65, 1108–1111. [Google Scholar] [CrossRef] [PubMed]
- Menon, N.; Nagel, S.R. Comment on “Scaling of the α relaxation in low-molecular-weight glass-forming liquids and polymers”. Phys. Rev. Lett. 1993, 71, 4095. [Google Scholar] [CrossRef] [PubMed]
- Menon, N.; Nagel, S.R. Evidence for a divergent susceptibility at the glass transition. Phys. Rev. Lett. 1995, 74, 1230–1233. [Google Scholar] [CrossRef] [PubMed]
- Dixon, P.K. Specific-heat spectroscopy and dielectric susceptibility measurements of salol at the glass transition. Phys. Rev. B 1990, 42, 8179–8186. [Google Scholar] [CrossRef] [PubMed]
- Dendzik, Z.; Paluch, M.; Gburski, Z.; Zioło, J. On the universal scaling of the dielectric relaxation in dense media. J. Phys. Condens. Matter 1997, 9, L339–L346. [Google Scholar] [CrossRef]
- Gałązka, M.; Juszyńska-Gałązka, E.; Osiecka, N.; Bąk, A. Universal scaling of dielectric response of various liquid crystals and glass-forming liquids. Phase Trans. 2016, 89, 341–348. [Google Scholar] [CrossRef]
- Gałązka, M. Scaling of dielectric response of supercooled disordered phases. Phase Trans. 2018, 91, 231–238. [Google Scholar] [CrossRef]
- Bąk, A.; Chłędowska, K. Role of surface interactions in the dynamics of chiral isopentylcyanobiphenyl mixed with Al2O3 powder as studied by dielectric spectroscopy: Numerical analysis. Phys. Rev. E 2011, 83, 061708. [Google Scholar] [CrossRef]
- Tang, R.; Jiang, R.; Qian, W.; Jian, J.; Zhang, X.; Wang, H.; Yang, H. Dielectric relaxation, resonance and scaling behaviors in Sr3Co2Fe24O41 hexaferrite. Sci. Rep. 2015, 5, 13645. [Google Scholar] [CrossRef]
- Buchner, R. What can be learnt from dielectric relaxation spectroscopy about ion solvation and association? Pure Appl. Chem. 2008, 80, 1239–1252. [Google Scholar] [CrossRef]
- Roy, D.; Fragiadakis, D.; Roland, C.M.; Dąbrowski, R.; Dziaduszek, J.; Urban, S. Phase behavior and dynamics of a cholesteric liquid crystal. J. Chem. Phys. 2014, 140, 074502. [Google Scholar] [CrossRef] [PubMed]
- Juszyńska-Gałązka, E.; Gałązka, M.; Massalska-Arodź, M.; Bąk, A.; Chłędowska, K.; Tomczyk, W. Phase behavior and dynamics of the liquid crystal 4’-butyl-4-(2-methylbutoxy)azoxybenzene (4ABO5*). J. Phys. Chem. B 2014, 118, 14982–14989. [Google Scholar] [CrossRef] [PubMed]
- Gałązka, M.; Osiecka-Drewniak, N. Electric conductivity and electrode polarization as markers of phase transitions. Crystals 2022, 12, 1797. [Google Scholar] [CrossRef]
- Urban, S.; Czub, J.; Gestblom, B. Comparison of dielectric properties of three alkyl and alkoxy azoxybenzenes (nAOBs and nOAOBs, n = 5, 6, 7) in the isotropic and liquid crystalline phases. Z. Naturforsch. A 2004, 59, 674–682. [Google Scholar] [CrossRef]
- Domenici, V.; Czub, J.; Geppi, M.; Gestblom, B.; Urban, S.; Veracini, C.A. Dynamics of 4,4′-di-n-heptylazoxybenzene (HAB) studied using dielectric and 2H NMR relaxation measurements. Liq. Cryst. 2004, 31, 91–99. [Google Scholar] [CrossRef]
- Oka, A.; Sinha, G.; Glorieux, C.; Thoen, J. Broadband dielectric studies of weakly polar and non-polar liquid crystals. Liq. Cryst. 2004, 31, 31–38. [Google Scholar] [CrossRef]
- Das, P.; Biswas, A.N.; Choudhury, A.; Bandyopadhyay, P.; Haldar, S.; Mandal, P.K.; Upreti, S. Novel synthetic route to liquid crystalline 4,4′-bis(n-alkoxy)azoxybenzenes: Spectral characterisation, mesogenic behaviour and crystal structure of two new members. Liq. Cryst. 2008, 35, 541–548. [Google Scholar] [CrossRef]
- Kubo, K.; Matsumoto, T.; Mori, A.; Takahashi, H.; Takechi, H. Bis(4-dodecyloxyphenyl)diazene oxide. Acta Cryst. E 2005, 61, o3056–o3058. [Google Scholar] [CrossRef]
- Drzewicz, A.; Moczkodan, Ł.; Juszyńska-Gałązka, E.; Jasiurkowska-Delaporte, M.; Deptuch, A. Phase behaviour and relaxation dynamics of the asymmetric azoxybenzene. Phase Trans. 2023, 96, 126–138. [Google Scholar] [CrossRef]
- Gałązka, M.; Juszyńska-Gałązka, E.; Bąk, A.; Tomczyk, W. Phase behavior and dynamics of the liquid crystal 4-ethyl-4′-octylazoxybenzene (4EOB). Phase Trans. 2019, 92, 1089–1101. [Google Scholar] [CrossRef]
- Osiecka, N.; Galewski, Z.; Massalska-Arodź, M. TOApy program for the thermooptical analysis of phase transitions. Thermochim. Acta 2017, 655, 106–111. [Google Scholar] [CrossRef]
- Bąk, A.; Chłędowska, K.; Szaj, W. Role of the surface interactions in dynamics of 5*CB molecules in mixture with Al2O3 grains as studied by dielectric spectroscopy: Experimental results. Mol. Cryst. Liq. Cryst. 2010, 533, 82–91. [Google Scholar] [CrossRef]
- Urban, S.; Lalik, S.; Różycka, A.; Iwan, A.; Marzec, M. Dielectric studies in the isotropic phase of six symmetrical azomethines with various number of benzene rings. Influence of the ionic conductivity. J. Mol. Liq. 2021, 328, 115477. [Google Scholar] [CrossRef]
- Deptuch, A.; Jasiurkowska-Delaporte, M.; Urbańska, M.; Baran, S. Kinetics of cold crystallization in two liquid crystalline fluorinated homologues exhibiting the vitrified smectic CA* phase. J. Mol. Liq. A 2022, 368, 120612. [Google Scholar] [CrossRef]
- Deptuch, A.; Jaworska-Gołąb, T.; Dziurka, M.; Hooper, J.; Srebro-Hooper, M.; Urbańska, M.; Tykarska, M.; Marzec, M. Determination of tilt angle and its behavior in chiral smectic phases by exploring molecular conformations using complementary methods. Phys. Rev. E 2023, 107, 034703. [Google Scholar] [CrossRef] [PubMed]
- Lalik, S.; Deptuch, A.; Fryń, P.; Jaworska–Gołąb, T.; Dardas, D.; Pociecha, D.; Urbańska, M.; Tykarska, M.; Marzec, M. Systematic study of the chiral smectic phases of a fluorinated compound. Liq. Cryst. 2019, 46, 2256–2268. [Google Scholar] [CrossRef]
- Osiecka, N.; Massalska-Arodź, M.; Galewski, Z.; Chłędowska, K.; Bąk, A. Effect of flip-flop motion on dielectric spectra of highly ordered liquid crystals. Phys. Rev. E 2015, 92, 052503. [Google Scholar] [CrossRef]
- Kolek, Ł.; Jasiurkowska-Delaporte, M.; Massalska-Arodź, M.; Szaj, W.; Rozwadowski, T. Mesomorphic and dynamic properties of 3F5BFBiHex antiferroelectric liquid crystal as reflected by polarized optical microscopy, differential scanning calorimetry and broadband dielectric spectroscopy. J. Mol. Liq. 2020, 320, 114338. [Google Scholar] [CrossRef]
- Rozwadowski, T.; Jasiurkowska-Delaporte, M.; Massalska-Arodź, M.; Yamamura, Y.; Saito, K. Designing the disorder: The kinetics of nonisothermal crystallization of the orientationally disordered crystalline phase in a nematic mesogen. Phys. Chem. Chem. Phys. 2020, 22, 24236–24248. [Google Scholar] [CrossRef]
- Wunderlich, B. A classification of molecules, phases, and transitions as recognized by thermal analysis. Thermochim. Acta 1999, 340–341, 37–52. [Google Scholar] [CrossRef]
- Horiuchi, K.; Yamamura, Y.; Pełka, R.; Sumita, M.; Yasuzuka, S.; Massalska-Arodź, M.; Saito, K. Entropic contribution of flexible terminals to mesophase formation revealed by thermodynamic analysis of 4-alkyl-4’-isothiocyanatobiphenyl (nTCB). J. Phys. Chem. B 2010, 114, 4870–4875. [Google Scholar] [CrossRef]
- Yamamura, Y.; Adachi, T.; Miyazawa, T.; Horiuchi, K.; Sumita, M.; Massalska-Arodź, M.; Urban, S.; Saito, K. Calorimetric and spectroscopic evidence of chain-melting in smectic E and smectic A phases of 4-alkyl-4′-isothiocyanatobiphenyl (nTCB). J. Phys. Chem. B 2012, 116, 9255–9260. [Google Scholar] [CrossRef] [PubMed]
- Drzewicz, A. Insight into Phase Situation and Kinetics of Cold- and Melt Crystallization Processes of Chiral Smectogenic Liquid Crystals; IFJ PAN: Kraków, Poland, 2023. [Google Scholar] [CrossRef]
- Rozwadowski, T.; Massalska-Arodź, M.; Kolek, Ł.; Grzybowska, K.; Bąk, A.; Chłędowska, K. Kinetics of cold crystallization of 4-cyano-3-fluorophenyl-4-butylbenzoate (4CFPB) glass forming liquid crystal. I. Nonisothermal process as studied by microscopic, calorimetric, and dielectric methods. Cryst. Growth Des. 2015, 15, 2891–2900. [Google Scholar] [CrossRef]
- Stepanova, T.P.; Bursian, A.É.; Denisov, V.M. Dipole moment and mobility of molecules in nematic liquid crystals of the 4-n-butyl ester of [4’-n-hexyloxyphenyl] benzoic acid in the absence of external orienting fields. Phys. Solid State 2002, 44, 1993–2000. [Google Scholar] [CrossRef]
- Kolek, Ł.; Massalska-Arodź, M.; Adrjanowicz, K.; Rozwadowski, T.; Dychtoń, K.; Drajewicz, M.; Kula, P. Molecular dynamics and cold crystallization process in a liquid-crystalline substance with para-, ferro- and antiferro-electric phases as studied by dielectric spectroscopy and scanning calorimetry. J. Mol. Liq. 2020, 297, 111913. [Google Scholar] [CrossRef]
- Pawlus, S.; Mierzwa, M.; Paluch, M.; Rzoska, S.J.; Roland, C.M. Dielectric and mechanical relaxation in isooctylcyanobiphenyl (8*OCB). J. Phys. Condens. Matter 2010, 22, 235101. [Google Scholar] [CrossRef]





Disclaimer/Publisher’s Note: The statements, opinions and data contained in all publications are solely those of the individual author(s) and contributor(s) and not of MDPI and/or the editor(s). MDPI and/or the editor(s) disclaim responsibility for any injury to people or property resulting from any ideas, methods, instructions or products referred to in the content. |
© 2024 by the authors. Licensee MDPI, Basel, Switzerland. This article is an open access article distributed under the terms and conditions of the Creative Commons Attribution (CC BY) license (https://creativecommons.org/licenses/by/4.0/).
Share and Cite
Piwowarczyk, M.; Juszyńska-Gałązka, E.; Gałązka, M. The Universal Scaling of Dielectric Response as a Tool in the Description of a Complex Dynamic of 4′-Butyl-4-(2-methylbutoxy)azoxybenzene (4ABO5*). Crystals 2024, 14, 95. https://doi.org/10.3390/cryst14010095
Piwowarczyk M, Juszyńska-Gałązka E, Gałązka M. The Universal Scaling of Dielectric Response as a Tool in the Description of a Complex Dynamic of 4′-Butyl-4-(2-methylbutoxy)azoxybenzene (4ABO5*). Crystals. 2024; 14(1):95. https://doi.org/10.3390/cryst14010095
Chicago/Turabian StylePiwowarczyk, Marcin, Ewa Juszyńska-Gałązka, and Mirosław Gałązka. 2024. "The Universal Scaling of Dielectric Response as a Tool in the Description of a Complex Dynamic of 4′-Butyl-4-(2-methylbutoxy)azoxybenzene (4ABO5*)" Crystals 14, no. 1: 95. https://doi.org/10.3390/cryst14010095
APA StylePiwowarczyk, M., Juszyńska-Gałązka, E., & Gałązka, M. (2024). The Universal Scaling of Dielectric Response as a Tool in the Description of a Complex Dynamic of 4′-Butyl-4-(2-methylbutoxy)azoxybenzene (4ABO5*). Crystals, 14(1), 95. https://doi.org/10.3390/cryst14010095

